The frequency spectrum and energy content in a pulse flux of terahertz radiation generated by a relativistic electron beam in a plasma column with different density distributions
- Authors: Arzhannikov A.V.1, Sinitsky S.L.1, Samtsov D.A.1, Timofeev I.V.1, Sandalov E.S.1, Popov S.S.1, Atlukhanov M.G.1, Makarov M.A.1, Kalinin P.V.1, Kuklin K.N.1, Rovenskikh A.F.1, Stepanov V.D.1
-
Affiliations:
- Budker Institute of Nuclear Physics, Siberian Branch, Russian Academy of Sciences (BINP SB RAS)
- Issue: Vol 50, No 3 (2024)
- Pages: 293-305
- Section: OSCILLATIONS AND WAVES IN PLASMA
- URL: https://bakhtiniada.ru/0367-2921/article/view/267455
- DOI: https://doi.org/10.31857/S0367292124030042
- EDN: https://elibrary.ru/RGFQLU
- ID: 267455
Cite item
Full Text
Abstract
This paper reports on the generation of a directed flux of electromagnetic radiation with an energy content of 10 J in the frequency range of 0.2—0.3 THz at a microsecond pulse duration in a beam-plasma system. The flux is generated when a relativistic electron beam (REB) pumps electron plasma waves in a magnetized plasma column. In the described experiments, this fundamentally new approach to generate terahertz radiation was carried out at the GOL-PET facility in the conditions of varying the beam current density and the plasma density in the appropriate ranges of 1—2 kA/cm2 and 1014—1015 cm−3. From the comparison of the flux energy spectrum measured experimentally in the frequency range 0.15—0.45 THz with the calculated one obtained using the previously proposed model of radiation generation in a beam–plasma system, it was shown that this process occurs through resonant pumping by REB of precisely the branch of upper-hybrid plasma waves. Mastering this new method to generate terahertz radiation opens the prospect of its use to obtain multi-megawatt radiation fluxes in the frequency range up to 1 terahertz and higher. For such a development approach the most promising beam for pumping plasma oscillations seems to be a kiloampere REB generated in a linear induction accelerator.
Full Text
1. ВВЕДЕНИЕ
Терагерцовое излучение обладает способностью проникать глубоко в вещества и различные материалы, непрозрачные в оптическом и инфракрасном диапазонах, при этом возбуждать колебательные моды супрамолекулярных структур и кристаллических решёток твёрдого тела, а также вращательные уровни сложных молекулярных образований. Наличие указанных свойств приводит к все более активному использованию излучения терагерцового диапазона в различных областях человеческой деятельности, как например, для диагностики различных состояний тканей и органов человека, не оказывая вредного воздействия на объекты живой природы [1].
Терагерцовый диапазон важен также для создания систем радиолокации с возможностью визуализации небольших скрытых объектов [2] и спектроскопии и возбуждения фононных колебаний в молекулярных кристаллах и супрамолекулярных структурах [3]. Таким образом, разработка и создание мощных источников электромагнитного излучения терагерцового диапазона частот (0.1—10 ТГц) представляет собой одну из приоритетных задач современной физики.
По нашему мнению, один из перспективных подходов к генерации мощных потоков излучения в диапазоне частот 0.1—0.9 ТГц реализуется через использование механизмов интенсивного пучково-плазменного взаимодействия [4] и превращения генерируемых пучком плазменных волн в электромагнитные волны, выходящие из плазмы, что предполагалось для объяснения вспышек излучения, поступающих из солнечной короны [5].
В случае использования пучков электронов с энергией ~1 МэВ при токе масштаба 1—10 кА (см. [4]), мощность которых достигает гигаваттного уровня, можно ожидать генерации потоков терагерцового излучения с мощностью масштаба десятков и даже сотен мегаватт. Освоение этого нового метода генерации излучения позволяет значительно расширить область приложений мощных потоков излучения в частотном интервале 0.1—1 ТГц.
Важно подчеркнуть, что использование этого пучково-плазменного механизма в терагерцовой спектральной области открывает уникальную возможность быстрого изменения частоты в потоке генерируемого излучения путём варьирования плотности плазмы. Экспериментальные исследования этой направленности были начаты на установке ГОЛ-3 в ИЯФ СО РАН, в условиях инжекции в замагниченный плазменный столб пучка “мэвных” электронов с током 10—15 кА и длительности 5 мкс [6].
В ходе экспериментов по релаксации сильноточного релятивистского электронного пучка (РЭП) в плазме с плотностью ~1014 см−3 были установлены закономерности эмиссия излучения в спектральном интервале 0.1—0.5 ТГц в направлении перпендикулярном к магнитному полю в плазме [7—8].
По результатам этих и дальнейших исследований были определены механизмы генерации излучения. Один из них заключается в возбуждении пучком верхнегибридных плазменных колебаний с последующей их трансформацией на градиентах плотности плазмы в поток электромагнитного излучения на частоте этой ветви плазменных волн [8—11]. Другой механизм реализуется в ходе нелинейного процесса, при котором два верхнегибридных колебания сливаются в одну электромагнитную волну с частотой, равной удвоенной величине этих колебаний [5, 12, 13].
В ходе экспериментов было установлено, что поперечная эмиссия электромагнитного излучения на указанных частотах локализована на расстояниях масштаба одного метра от места входа пучка в плазму, что соответствует длине релаксации РЭП в плазме [14]. В последующих экспериментах, проводимых на установке ГОЛ-ПЭТ, продемонстрировано, что с ростом плотности плазмы происходит переключение направления эмиссии потока излучения из перпендикулярного к оси цилиндрического плазменного столба в направление вдоль его оси [15].
В дальнейших исследованиях на установке ГОЛ-ПЭТ были установлены закономерности влияния градиентов плотности плазмы на спектральный состав и мощность генерируемого потока излучения и был открыт новый механизм его генерации при взаимодействии пучка с плазмой. Этот механизм состоит в том, что при регулярных периодических градиентах плотности плазмы возможна прямая накачка пучком в плазме ветви электромагнитных колебаний [10—11].
В этих экспериментах были найдены условия эффективного вывода из плазмы через торец плазменного столба в вакуум потока излучения, распространяющегося вдоль оси пучково-плазменной системы. Более того, в экспериментах определены условия вывода этого потока из вакуумной камеры через диэлектрическое полимерное окно в атмосферу экспериментального зала [16—17], где была проведена первая серия измерений энергосодержания в потоке излучения с микросекундной длительностью импульса [18].
Эксперименты показали, что высокая плотность мощности в потоке излучения приводит к сокращению времени его выхода в атмосферу на уровне менее одной микросекунды, хотя время генерации в пучково-плазменной системе достигало 3.5 мкс. Это явление укорочения длительности выходящего в атмосферу импульса излучения получило объяснение тем, что происходил ВЧ-пробой поверхности выходного окна с вакуумной стороны [19].
Решению задачи по предотвращению этого ВЧ-пробоя и достижению максимального энергосодержания в потоке, вышедшем в атмосферу, и посвящена данная наша работа. Для достижения возможности детального сопоставления спектра генерируемого излучения с результатом теоретического рассмотрения были проведены эксперименты при целенаправленном поддержании однородного по сечению плазменного столба при неизменной по величине плотности на продолжительном отрезке времени в течение импульса генерации потока излучения. В статье проведено сравнение спектрального состава потока излучения, измеренного в этих условиях эксперимента, с результатом расчёта распределения спектральной плотности мощности излучения в области частот верхнегибридных плазменных колебаний.
2. ЭКСПЕРИМЕНТАЛЬНАЯ УСТАНОВКА
Описываемая серия экспериментов по генерации излучения терагерцового диапазона в пучково-плазменной системе проведена в ИЯФ СО РАН на установке ГОЛ-ПЭТ. Структура этой установки и использумые на ней диагностики достаточно подробно освещены в работах [16—20], и поэтому в данном тексте этого мы только кратко опишем лишь ключевые стороны этого вопроса. Схема описываемых экспериментов представлена на рис. 1.
Рис. 1. Схема плазменной части установки ГОЛ-ПЭТ с демонстрацией пути распространения потока терагерцового излучения и местоположения диагностик для его регистрации. 1 — инжектируемый РЭП; 2 — плазма; 3 — поток излучения; 4 — поворотное зеркало; 5 — полихроматор; 6 — калориметр; 7 — интерферометр; 8 — томсоновское рассеяние.
Для создания пучка электронов, инжектируемого в плазму, используется ускоритель прямого действия У-2, в котором осуществляется генерация РЭП ленточной конфигурации сечения в условиях изоляции катод-анодного промежутка магнитным полем с индукцией, которую можно варьировать в зависимости от целей экспериментов в пределах 0.12—0.3 Тл [21].
Генерируемый ускорительном диоде ленточный пучок распространяется далее с сечением 350×56 мм по щелевому каналу с зазором между плоскостями 80 мм (см. [21]), а затем переходит в пространственную область вакуумной камеры, где его сечение трансформируется в круглое в соответствии c геометрией силовых линий ведущего магнитного поля и, наконец, сжимается до диаметра 40 мм при нарастании индукции поля до 4.3 Тл. Измерения показали, что при такой схеме трансформации и сжатии сечения пучка ускоритель У-2 обеспечивает инжекцию в плазменный столб пучка электронов с энергией в диапазоне 0.4—0.8 МэВ в условиях угловой расходимости скорости частиц 0.1 рад [22] при длительности импульса 5 мкс.
В описывамых экспериментах плотность тока пучка, проходящего через плазму, задавалась соотношением между индукцией магнтного поля в ускорительном диоде и в плазменном столбе имела два значения 1 и 2 кА/см2. Инжекция пучка проводилась в плазменный столб с диаметром 80 мм и протяженностью 1.2 м, удерживемый в соленоиде с гофрированным магнитным полем с отношением максимального и минимального значений магнитной индукции в гофрах Вmax / Вmin = 4.5/3.2 Тл.
Описание процесса создания плазменного столба с различным распределением плотности плазмы по его сечению представлено в работе [20]. В этой работе продемонстрировано, что в зависимости от условий по импульсной подаче газа в вакуумную камеру (момент открывания клапанов и продолжительность их открытого состояния), а также от геометрии расположения электродов и момента времени подачи импульса высокого (20 кВ) напряжения на разрядный промежуток заполненный газом, можно сформировать плазменный столб с различным распределением концентрации, как по его поперечному сечению, так и по его длине [20]. Кроме того, возможен рост плотности плазмы и изменения в её распределении во время инжекции РЭП, если при протекании тока высоковольного разряда степень ионизации газового облака в трубе оказывается не достаточно высокой. Отметим, что, как показали эксперименты, описанные в работе [11], в плазменном столбе с значительными радиальными градиентами плотности плазмы импульсная мощность потока излучения, генерируемого в пучково-плазменной системе, возрастает более чем на порядок величины по сравнению со случаем однородного распределения.
В представляемом нами тексте описаны аналогичные эксперименты но в них распределение плотности по сечению плазменного столба приблизительно однородно.
В различных сечениях вакуумной камеры вдоль оси установки располагается набор поясов Роговского, которые используются для измерения тока пучка в области диодного узла и системы магнитного сжатия, а также значения тока пучка и тока протекающего по плазме в конкретных сечениях плазменного столба. При этом необходимо учитывать, что в случае высокой (превышающей 2·1014 см−3) плотности плазмы на всей протяженности плазменного столба, пояса Роговского, охватывающие плазменный столб, не регистрируют какого-либо магнитного поля от тока пучка, поскольку в этих условиях достигается полная компенсация тока пучка встречным плазменным током.
Энергия электронов в пучке, инжектируемом в плазменный столб, определяется по напряжению, прикладываемому к ускорительному диоду. Для измерения плотности плазмы применяются оптические диагностики: интерферометр Майкельсона на длине волны 10.5 мкм [23] и система томсоновского рассеяния на длине волны 1.053 мкм [24, 25]. Изменения температуры плазмы в течение времени инжекции пучка в различных сечениях плазменного столба оценивались по сигналам с диамагнитных петель, которые пропорцианальны поперечному давлению плазмы.
Описываемые в данном тексте эксперименты были сосредоточены на достижении максимального энергосодержания за импульс в потоке излучения, распространяющегося вдоль оси установки и далее выходящем в атмосферу. Для достижения этого результата поток излучения, выходящий из торца плазменного столба в сопровождении сильноточного РЭП, отделялся от него по следующей схеме.
На торце плазменного столба, где реализовано резкое понижение плотности плазмы, начинается сильное понижение индукции ведущего поля вдоль оси установки, что приводит сильному расширению сечения пучка, который далее поглощается на кольцевом графитовом коллекторе. В свою очередь, поток излучения в условиях сохранения его прежнего сечения распространяется по стальной трубе до поворотного зеркала, которое представляет собой тонкую фольгу из нержавеющей стали, плоскость зеркла наклонена к оси установки под углом 45 градусов. На поворотном зеркале поток излучения направляется по стальной трубе, ось которой направлена под углом 90 градусов по отношению к оси установки и, соответственно, к оси симметрии плазменного столба. Далее поток излучения выходит в атмосферу через выходное окно из полиметилпентена, который хорошо пропускает терагерцовое излучение [26].
Для регистрации спектральных характеристик генерируемого потока терагерцового излучения используются детекторы на основе диодов с барьером Шоттки (ДБШ), которые дополнены частотно-селективными полосовыми фильтрами. В совокупности такие 8 детекторов составляют восьмиканальный полихроматор, предназначенный для анализа спектрального состава потока излучения в интервале частот от 0.1 до 0.6 ТГц [27].
Для измерения энергосодержания в потоке электромагнитного излучения используется специализированный калориметр, предоставленный нам авторами работы [28]. Процесс измерения энергии излучения с помощью калориметра основан на поглощении энергии электромагнитного излучения в тонкостенной цилиндрической металлокерамической оболочке и регистрации изменения её температуры при помощи большого числа (около 1 000) последовательно включённых термопар.
Чувствительность калориметра, измеренная на частоте около 100 ГГц, имеет величину 90 мкВ/Дж, которая несколько отличается от 70 мкВ/Дж, измеренной на частоте 10 ГГц, которая указана в работе [28]. Описание процедуры измерений и результаты первой серии измерений энергосодержания в импульсном потоке терагерцового излучения приведены в статье [18].
Исходя из представленного выше комментария по используемому калориметру, можно считать, что в ходе экспериментов обеспечиваются измерения абсолютной величиы энергосодержания в потоке излучения в отдельном импульсе излучения с хорошей достоверностью. Далее, принимая во внимание временную динамику и амплитуду сигналов излучения, регистрируемых в каналах восьмиканального полихроматора в течение генерируемого импульса, мы вычисляем абсолютную величину средней за длительгность импульса мощности в той части спектра, где локализована высокая спектральная плотность излучения.
Для визуальной индикации распределения плотности мощности по сечению потока, что важно для оценки доли потока захватываемого в калориметр, применяются панели газоразрядных ламп, в полости которых возникает высокочастный разряд при превышении удельной мощности в потоке пороговой величины, которая оценивается на уровне (1—2)∙104 Вт/см2. Высокочастотный разряд, возникающий в полости равномерно распределённых по площади полимерной панели лампочек, сопровождается ярким свечением, а оптическое изображение свечения этих лампочек, регистрируемое с помощью быстрой фотокамеры камеры, модели SDU-205, свидетельствует о превышении удельной мощностью потока указанного порогового уровня (см. работу [18]).
3. СПЕКТР ЧАСТОТ И ЭНЕРГОСОДЕРЖАНИЕ В ИМПУЛЬСЕ ИЗЛУЧЕНИЯ ПРИ НЕОДНОРОДНОЙ ПЛОТНОСТИ ПЛАЗМЫ В СЕЧЕНИИ ПУЧКА
Как уже отмечено, результат предшествующих экспериментов по измерению энергосодержания в импульсном потоке излучения описан в работе [18]. При проведении тех экспериментов калориметр располагался в атмосфере экспериментального зала, а поток излучения выходил из вакуумной камеры через фторопластовое окно диаметром 14 см, которое располагалось на расстоянии в 30 см от металлического зеркала, обеспечивающего поворот на 90° направления распространения потока по отношению к оси плазменного столба. Калориметр был отнесён от фторопластового окна на расстояние 60 см, на котором сечение потока, свободно распространяющегося в атмосфере, уже достигало диаметра 30 см.
Для того, чтобы направить поток излучения на входное отверстие калориметра, которое имеет диаметр 11.5 см, между выходным окном и калориметром размещалась стальная труба диаметром 18 см, которая захватывала поток излучения, выходящего из выходного окна. В этих экспериментальных условиях пробой по вакуумной поверхности выходного окна ограничивал длительность импульса выходящего в атмосферу потока на уровне ниже 1 мкс.
При оптимальных условиях эксперимента энергосодержание в потоке, захватываемом в калориметре, при такой длительности импульса достигало величины 2—2.5 Дж. Поскольку диаметр входного отверстие калориметра 11.5 см был заметно меньше диаметра трубы 18 см, то по результатам калориметрических измерений можно говорить о том, что энергосодержание в импульсном потоке по крайней мере не меньше указанного достигнутого уровня.
Чтобы предотвратить возникновение и развитие ВЧ-пробоя с вакуумной стороны выходного окна, что приводит к укорочению длительности выходящего в атмосферу импульса излучения, была проведена реконструкция узла установки для вывода излучения из вакуума в атмосферу [29]. Выходное окно было отнесено от поворотного стального зеркала на расстояние 150 см за счёт использования стальной трубы с внутренним диаметром 12 см. При этом материал окна — фторопласт был заменён на другой, более подходящий для данных экспериментов, а именно на полиметилпентен.
В отличие от фторопласта, этот новый материал обладает лучшим коэффициентом пропускания в терагерцовой спектральной области. Увеличение расстояния до окна позволило понизить концентрацию газового облака у его поверхности, которое формируется при распространении потока газа от импульсного клапана, открываемого перед подачей импульса напряжения для осуществления высоковольтного разряда. Кроме того, в непосредственной близости от зеркала при отражении от него потока излучения возникают локальные области повышенной плотности энергии колебаний, что способствует возникновению пробоя. При распространении потока излучения от зеркала по длинной трубе, эти локализации повышенной плотности мощности размываются, и вероятность развития высокочастотного пробоя значительно снижается.
При проведении измерений энергосодержания в потоке, выведенном в атмосферу, в этих экспериментах входное отверстие калориметра было присоединено к выходному окну, изготовленному из полиметилпентена, с минимальным зазором между ними. При этом, диаметр потока излучения, выходящего через окно в атмосферу ограничен диаметром вакуумного тракта 12 см и незначительно превышал диаметр входного отверстия калориметра, которое имеет величину 11.5 см.
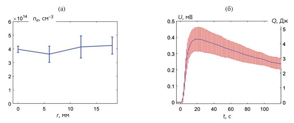
В ходе экспериментов плотность плазмы в сечении пучка во время прохождения его по плазменному столбу поддерживалась на уровне 4·1014 см−3 с радиальным профилем плотности, который представлен рис. 2а. Результат измерений радиального распределения плотности плазмы по томсоновскому рассеянию получен усреднением по серии из пяти выстрелов.
Рис. 2. Распределение плотности по радиусу плазменного столба в момент 2 мкс (а) и энергия в импульсе излучения, которая зарегистрирована калориметром за выходным окном из полиметилпентена (б). Результаты усреднены по пяти выстрелам в одинаковых условиях по пучку и плазме.
Видно, что время распространения тепла от принимающей поверхности рабочего тела калориметра к слою, где расположены термопары, имеет величину масштаба 10 с, а характерное время остывания рабочего тела превышает 100 с. В соответствии с результатом калибровки абсолютной чувствительности мы можем утверждать, что энергосодержание в вышедшем из окна импульсном потоке в этих условиях имеет величину около четырёх джоулей.
Для измерений спектрального состава излучения в этом потоке калориметр был убран, и на пути потока был помещён 8-канальный полихроматор. С помощью отверстия в поглощающем излучение экране из потока, распространяющегося от выходного окна, был вырезан луч диаметром 4 см, и далее после ослабления интенсивности луча по всему спектру излучения на одинаковую величину, он подавался на вход полихроматора. Результат измерений полихроматором спектрального состава потока излучения в этих условиях представлен на рис. 3.
Рис. 3. Спектральная плотность излучения в выведенном в атмосферу потоке излучения (а), которая зарегистрирована восьмиканальным полихроматором при распределении плотности плазмы, представленной на рис. 2а. Спектральная плотность на рис. 3а отложена по оси ординат в относительных единицах. Осциллограммы тока инжектируемого пучка и энергии пучковых электронов (б). Сигналы интенсивности излучения, поступившие от каналов полихроматора (в-е) для различных частотных интервалов. Все сигналы усреднены по серии из 9 выстрелов.
Прежде всего отметим две локальные полосы частот: низкочастотная, которая лежит в интервале 0.14—0.16 ТГц, и высокочастотная — в интервале 0.3—0.4 ТГц. По нашему мнению, низкочастотная полоса соответствует области частот ветви верхнегибридных плазменных колебаний, которая при плотности плазмы (3—4)·1014 см−3 и заданном магнитном поле B = 4 Тл простирается от 0.14 и до частоты ≈0.19 ТГц. Эти электромагнитные волны генерируются при трансформации верхнегибридных плазменных колебаниях на градиентах плотности плазмы [9, 10, 13].
В свою очередь, высокочастотную полосу (0.3—0.4 ТГц), которая лежит на удвоенной величине частоты, содержащейся в низкочастотной полосе, мы объясняем нелинейным процессом, при котором два верхнегибридных плазменных колебания сливаются в одну электромагнитную волну [12, 13]. Две другие полосы генерируемых частот: на 0.11—0.12 ТГц и на 0.22—0.24 ТГц мы связываем с излучением плазменных электронов, движущихся по циклотронным орбитам: основная циклотронная частота fc = eB / 2πmc = 0.11 ТГц (при В = 4 Тл), и её удвоенная величина 0.22 ТГц.
Что касается энергосодержания в импульсном потоке излучения, то в данных экспериментах измерения калориметром показали величину 3.5—4 Дж, что значительно превышает уровень 2—2.5 Дж, зарегистрированный в предыдущей серии экспериментов. Подрастание величины энергии, захваченной в калориметр из поступающего на него потока излучения, мы объясняем увеличением длительности импульса потока, вышедшего из вакуумной камеру в атмосферу.
Как видно из осциллограмм сигналов от частотно-селективных каналов с полихроматора, длительность импульса потока излучения достигла в данной серии экспериментов 4 мкс. В то же время следует учитывать, что уровень мощности достигает максимума в течении первой микросекунды и в дальнейшем постепенно снижается.
Для уточнения энергосодержания в импульсе излучения, генерируемого пучком в плазменном столбе, были проведены измерения этого параметра с помощью калориметра непосредственно в вакууме, которое реализуется путём удаления выходного окна, отделяющего рабочую полость калориметра, где поглощается поток излучения, от стальной трубы по которой поток распространяется в вакууме.
Перед проведением этой серии измерений было удалено окно из полиметилпентена, и входное окно калориметра было присоединено непосредственно к стальной трубе, представляя таким образом её продолжение. В этих условиях откачка рабочей полости калориметре до высокого вакуума осуществлялась при создании вакуумных условий в плазменной части установки.
Присоединение корпуса калориметра к трубе осуществлялось через специальную диэлектрическую прокладку, обеспечивающую отсутствие электрического контакта между калориметром и вакуумной камерой установки. Напомним, что диаметр трубы, по которой распространяется поток излучения — 12 см, а входное отверстие калориметра имеет диаметр 11.5 см. В этих условиях в калориметр не проникает небольшая по площади кольцевая кромка сечения распространяющегося по трубе потока, что может приводить к некоторому занижению величины измеренного калориметром энергосодержания в потоке за импульс.
Полученные в таком варианте расположения калориметра результаты измерений энергии потока излучения представлены синей линией на рис. 4. Необходимо отметить, что в этих экспериментах диаметр пучка в плазме имел величину 4 см, а вычисленная исходя из этого средняя плотность тока по сечению пучка составила jb = 1 кА/см2.
Такая же величина плотности тока поддерживалась в экспериментах, описанных ранее. Из представленных на рис. 4 осциллограмм напряжения, поступающих от блока термопар, присоединённых к рабочему телу калориметра, видно, что время нарастания температуры рабочего тела в данных экспериментах мало отличается от времени нарастания в случае присутствия воздуха в рабочей полости калориметра. Но понижение температуры рабочего тела при поддержании вакуумных условий в этой полости происходит за значительно большее время. Это означает, что на отвод тепла из рабочего тела калориметра в значительной степени влияет наличие воздушной массы в полости его рабочего объёма.
Рис. 4. Энергия в импульсе излучения, измеренная калориметром в случае его присоединения непосредственно к вакуумной трубе, в режиме с плотностью тока пучка 1 кА/см2 (кривая 1) и с плотностью тока пучка 2 кА/см2 (кривая 2).
Следует отметить, что эксперименты по нагреву плазмы релятивистскими электронными пучками с длительностью импульса тока ~100 нс показали [30], что для достижения высокого уровня накачки плазменных колебаний при величине плотности плазмы (4—5)∙1014 см−3, необходимо обеспечить плотность тока пучка, существенно превышающую 1 кА/см2. Ориентируясь на этот результат ранее проведенных экспериментов, мы провели действия, направленные на повышение плотности тока пучка в плазменном столбе.
Для продвижения в этом направлении была понижена индукция магнитного поля в диоде ускорителя У-2 с 0.25 до 0.19 Тл, а индукция поля в плазменном столбе повышена с 4 до 4.5 Тл. Такими действиями удалось поднять плотность тока пучка, проходящего по плазменному столбу, до уровня 2 кА/см2. В этих условиях интенсивность взаимодействия пучка с плазмой действительно повысилась, и при той же плотности плазмы 4·1014 см−3 энергосодержание в потоке с микросекундной длительностью импульса повысилось приблизительно в два раза, о чём свидетельствует результат калориметрических измерений, представленный красной линией на рис. 4. Отметим, что для приведённых наборов выстрелов длительность импульса излучения принципиально не отличалась, а увеличение энергосодержания связано непосредственно с ростом мощности в потоке излучения.
Этот результат позволяет надеяться, что дальнейшее повышение плотности тока пучка в плазме позволит переходить в эксперименте в более высокую плотность плазмы, что обеспечит смещение процесса генерации излучения в частотную область около ~1 ТГц. Ожидается, что использование линейного индукционного ускорителя в качестве источника килоамперного РЭП, который обеспечивает уровень плотностью тока выше, чем 10 кА/см2, откроет возможность генерации в плазме потока излучения с частотами в обозначенной выше области [31].
В представленном на рис. 3 спектральном составе потока излучения полоса частот в области спектра верхнегибридных плазменных колебаний оказывается довольно широкой, что можно объяснять значительными вариациями плотности плазмы по сечению плазменного столба и его длине, где происходит интенсивное пучково-плазменное взаимодействие. Для того, чтобы сопоставить экспериментально измеренный спектр излучения в этой полосе частот с предсказаниями имеющейся теоретической модели [9, 10, 13], которая написана для случая однородной плазмы, мы сосредоточились на создании условий эксперимента при которых реализуется близкая к однородной плотность как по сечению, так и по длине плазменного столба. Результат таких экспериментов описан в следующем разделе.
4. СПЕКТР ИЗЛУЧЕНИЯ В СЛУЧАЕ ОДНОРОДНОГО ПЛАЗМЕННОГО СТОЛБА
Для достижения поставленной цели по сопоставлению результатов измерений с теоретическим предсказанием спектрального состава генерируемого излучения подбором работы импульсных клапанов и режима высоковольтного разряда были реализованы условия формирования плазменного столба, при которых достигается хорошая однородность плотности по его сечению, где проходит электронный пучок, при слабом изменении плотности вдоль его оси.
Результаты измерений плотности плазмы оптическими лазерными диагностиками, полученные усреднением регистрируемых этими диагностиками сигналов по серии из 9 выстрелов установки при неизменных задаваемых параметрах по плазме и пучку, приведены на рис. 5.
Рис. 5. Изменение во времени средней по диаметру плазменного столба плотности плазмы, зарегистрированное с использованием интерферометра Майкельсона на длине волны 10.5 мкм (а); распределение плотности плазмы по радиусу столба в момент 1.2 мкс, измеренное системой томсоновского рассеяния на длине волны лазера 1.053 мкм (б). Отчёт времени ведётся с момента начала инжекции РЭП.
Как видно по графику на рис. 5а, линейная плотность плазмы начинает резко нарастать с момента начала инжекции РЭП. В момент 0.7 мкс рост плотности существенно замедляется, и в течение интервала от 1 до 2 мкс можно считать, что величина плотности остается постоянной на уровне 6±1·1014 см−3, соответствуя полной ионизации исходного молекулярного водорода, плотность которого обеспечивается напуском через импульсные клапаны.
Распределение плотности по радиусу столба, измеренное в момент 1.2 мкс методом томсоновского рассеяния, приведено на рис. 5б. Средняя величина плотности плазмы по сечению столба по данной серии выстрелов составила 7±0.5·1014 см−3. Близкие значения плотности плазмы, измеренные оптическими диагностиками в двух различных сечениях, расстояние между которыми составляет 22 см, позволяют утверждать о том, что плотность плазмы остаётся практически неизменной на таком отрезке плазменного столба в интервале времени от одной до двух микросекунд, отсчитывая от момента начала инжекции пучка.
Выделив в сигналах, поступающих от каналов полихроматора, участки, соответствующие именно этому отрезку времени за время инжекции пучка, и проведя компьютерную обработку сигналов на этих участках, мы построили спектр излучения в генерируемом потоке для случая однородного плазменного столба. Результат такой обработки результатов эксперимента представлен на рис. 6.
Рис. 6. Спектральная плотность мощности в потоке излучения, генерируемом в условиях однородного по сечению плазменного столба (результат получен усреднением результатов регистрации по серии из девяти выстрелов в одинаковых условиях эксперимента при распределении плотности плазмы, представленном на рис. 5).
Как видно, в интервале частот от 0.1 до 0.4 ТГц высокая спектральная плотность излучения локализована в области 0.2—0.25 ТГц. В два раза ниже уровень спектральной плотности зарегистрирован в окрестности частоты 0.12 ТГц. В области частот выше 0.25 ТГц спектральная плотность пренебрежимо мала по сравнению с этими двумя обозначенными выше участками.
Наблюдаемые в эксперименте спектральные интервалы с повышенной спектральной плотностью мы интерпретируем, принимая во внимание параметры установки при проведенной серии эксперимента. Проведём сравнение измеренной спектральной плотности мощности с теоретической моделью генерации излучения, отвечающей условиям эксперимента.
Генерацию излучения в окрестности частоты 0.12 ТГц мы связываем с индивидуальным движением электронов по циклотронным орбитам в магнитном поле, индукция которого в плазменном столбе имеет величину от 3.5 до 4.5 Тл, что определяется гофрировкой этого поля. Высокую спектральную плотность мощности в области 0.2—0.25 ТГц в полной мере можно объяснять эмиссией из плазмы на частотах ветви верхнегибридных плазменных колебаний.
Действительно, измеренная величина плотности плазмы (6—7)∙1014 см– 3 с учётом указанной величины индукция ведущего магнитного поля в ней позволяет указать интервал частот, в которой должны возбуждаться верхнегибридные плазменные колебания: это от частоты ленгмюровских колебаний fp = 0.22 ТГц до верхней граничной частоты этой ветви плазменных волн fuh = 0. 25 ГГц [13].
Результат компьютерных расчётов спектрального состава выходящего из плазмы излучения в области частот верхнегибридных плазменных колебаний, выполненных по теоретической модели, описанной в работе [13], представлены на рис. 7а, где частота нормирована на плазменную частоту ωp. Результат расчётов представлен здесь в виде распределения спектральной плотности мощности по углу Θ, который отсчитывается от направления индукции магнитного поля.
Рис. 7. Распределение спектральной плотности мощности в относительных единицах по оси частот в окрестности ленгмюровской частоты ωp: а) — расчётное угловое распределение спектральной плотности потока излучения в окрестности частоты ωp, положение которой на оси частот соответствует единице; б) — синей линией показана спектральная плотность мощности, полученная интегрированием по углам Θ распределения, представленного на рис. а), красной линией — контур частотной области с максимальной спектральной плотностью мощности излучения, построенный по результатам измерений восьмиканальным полихроматором.
Этот результат теоретических расчётов свидетельствуют о том, что генерируемое пучком излучение должно распространятся под углами 20—30 градусов к направлению ведущего магнитного поля. При этом, проинтегрированная по углам Θ спектральная плотность мощности локализована на участке 1—1.2 нормированных на ωp частот, что соответствует диапазону регистрируемых в эксперименте частот 0.20—0.26 ТГц.
На рис. 7б проведено сравнение зарегистрированного в эксперименте интервала частот с высокой спектральной плотностью с кривой распределения спектральной плотности излучения в потоке, полученной в расчётах по указанной выше модели. Сопоставление представленных на этом рисунке результатов даёт основание для утверждения о том, что линия, описывающая результат расчёта спектральной плотности мощности, хорошо совпадает с контуром, охватывающем область высокой спектральной плотности потока излучения, которая выделяется по результатам эксперимента.
5. ЗАКЛЮЧЕНИЕ
Проведены измерения спектрального состава и энергосодержания в потоке терагерцового излучения, генерируемого в замагниченном плазменном столбе с плотностью в интервале от 4∙1014 до 8∙1014 см−3 при релаксации импульсного РЭП микросекундной длительности с плотностью тока от 1 до 2 кА/см2. Показано, что в случае значительных неоднородностей плотности плазмы по сечению столба при её средней величине в окрестности значения 4∙1014 см−3 спектр генерируемого излучения оказывается довольно широк и имеет максимум в области 0.15—0.2 ТГц, которая соответствует локализации спектра электронных плазменных волн. При длительности импульса излучения 4 мкс в таком потоке, распространяющемся в вакууме, содержится около десяти джоулей энергии. В потоке излучения, выведенном в атмосферу через окно из полимерного материала, оказывается энергосодержание за импульс в два раза ниже.
Двукратный подъём плотности тока пучка, инжектируемого в плазменный столб, с 1 до 2 кА/см2, позволил обеспечить эффективную генерацию потока излучения в плазме с плотностью, повышенной также практически в два раза. На некотором интервале времени (~2 мкс) подбором условий эксперимента удалось реализовать однородный по сечению столб плазмы с малыми изменениями плотности вдоль его оси.
Измеренный в эксперименте при таких условиях спектральный состав излучения имеет относительно узкую полосу высокой спектральной мощности, и эта полоса лежит в интервале частот 0.20—0.25 ТГц. Сопоставление этого результата эксперимента с расчётным спектром, полученном для однородной по плотности плазмы, показало, что генерация терагерцового излучения в пучково-плазменной системе реализуется через накачку плазменных колебаний на ветви верхнегибридных волн.
Поскольку частота излучения, генерируемого в пучково-плазменной системе, лежит на ветви верхнегибридных плазменных колебаний, то повышение частоты излучения достигается наращиванием плотности плазмы и/или индукции ведущего магнитного поля. В ИЯФ СО РАН уже создан линейный индукционный ускоритель, генерирующий килоамперный пучок “мэвных” электронов, который сжимается по сечению до плотности тока выше 10 кА/см2. В этих условиях открывается возможность продвижения в пучково-плазменном эксперименте в область плотностей плазмы, которые на порядок больше, чем описаны в данном тексте, что обеспечит генерацию мультимегаваттных потоков излучения частотой около 1 ТГц.
ФИНАНСИРОВАНИЕ
В части измерений спектрального состава излучения работа выполнена за счет средств, поступивших из Российского научного фонда по проекту № 19-12-00250-П.
About the authors
A. V. Arzhannikov
Budker Institute of Nuclear Physics, Siberian Branch, Russian Academy of Sciences (BINP SB RAS)
Author for correspondence.
Email: A.V.Arzhannikov@inp.nsk.su
Russian Federation, Novosibirsk
S. L. Sinitsky
Budker Institute of Nuclear Physics, Siberian Branch, Russian Academy of Sciences (BINP SB RAS)
Email: A.V.Arzhannikov@inp.nsk.su
Russian Federation, Novosibirsk
D. A. Samtsov
Budker Institute of Nuclear Physics, Siberian Branch, Russian Academy of Sciences (BINP SB RAS)
Email: D.A.Samtsov@inp.nsk.su
Russian Federation, Novosibirsk
I. V. Timofeev
Budker Institute of Nuclear Physics, Siberian Branch, Russian Academy of Sciences (BINP SB RAS)
Email: A.V.Arzhannikov@inp.nsk.su
Russian Federation, Novosibirsk
E. S. Sandalov
Budker Institute of Nuclear Physics, Siberian Branch, Russian Academy of Sciences (BINP SB RAS)
Email: A.V.Arzhannikov@inp.nsk.su
Russian Federation, Novosibirsk
S. S. Popov
Budker Institute of Nuclear Physics, Siberian Branch, Russian Academy of Sciences (BINP SB RAS)
Email: A.V.Arzhannikov@inp.nsk.su
Russian Federation, Novosibirsk
M. G. Atlukhanov
Budker Institute of Nuclear Physics, Siberian Branch, Russian Academy of Sciences (BINP SB RAS)
Email: A.V.Arzhannikov@inp.nsk.su
Russian Federation, Novosibirsk
M. A. Makarov
Budker Institute of Nuclear Physics, Siberian Branch, Russian Academy of Sciences (BINP SB RAS)
Email: A.V.Arzhannikov@inp.nsk.su
Russian Federation, Novosibirsk
P. V. Kalinin
Budker Institute of Nuclear Physics, Siberian Branch, Russian Academy of Sciences (BINP SB RAS)
Email: A.V.Arzhannikov@inp.nsk.su
Russian Federation, Novosibirsk
K. N. Kuklin
Budker Institute of Nuclear Physics, Siberian Branch, Russian Academy of Sciences (BINP SB RAS)
Email: A.V.Arzhannikov@inp.nsk.su
Russian Federation, Novosibirsk
A. F. Rovenskikh
Budker Institute of Nuclear Physics, Siberian Branch, Russian Academy of Sciences (BINP SB RAS)
Email: A.V.Arzhannikov@inp.nsk.su
Russian Federation, Novosibirsk
V. D. Stepanov
Budker Institute of Nuclear Physics, Siberian Branch, Russian Academy of Sciences (BINP SB RAS)
Email: A.V.Arzhannikov@inp.nsk.su
Russian Federation, Novosibirsk
References
- Markelz A. G., Mittleman D. M. // ACS Photonics. 2022. V. 9. № 4. P. 1117.
- Cooper K. B., Dengler R. J., Llombart N., Thomas B., Chattopadhyay G., Siegel P. H. // IEEE Transactions on Terahertz Science and Technology. 2011. V. 1. № 1. P. 169.
- Michalchuk A. L., Hemingway J., Morrison C. A. // The Journal of Chemical Physics. 2021. V. 154. № 6. P. 064105.
- Arzhannikov A. V., Burdakov A. V., Koidan V. S., Vyacheslavov L. N. // Physics of REB-Plasma Interaction. Physica Scripta. 1982. V. T2’2. P. 303.
- Ginzburg V. L., Zheleznyakov V. V. // Soviet Astronomy. 1959. V. 3. P. 235.
- Arzhannikov A. V., Burdakov A. V., Kalinin P. V., Kuznetsov S. A., Makarov M. A., Mekler K. I., Polosatkin S. V., Postupaev V. V., Rovenskikh A. F., Sinitsky S. L., Sklyarov V. F., Stepanov V. D., Sulyaev Yu.S., M. Thumm K. A., Vyacheslavov L. N. // Vestnik Novosibirsk State University. Ser.: Physics. 2010. V. 5. № 4. P. 44.
- Arzhannikov A. V., Burdakov A. V., Kuznetsov S. A., Makarov M. A., Mekler K. I., Postupaev V. V., Rovenskikh A. F., Sinitsky S. L., Sklyarov V. F. // Fusion Science and Technology. 2011. V. 59. № 1T. P. 74.
- Arzhannikov A. V., Burdakov A. V., Burmasov V. S., Gavrilenko D. E., Ivanov I. A., Kasatov A. A., Kuznetsov S. A., Mekler K. I., Polosatkin S. V., Postupaev V. V., Rovenskikh A. F., Sinitsky S. L., Sklyarov V. F., Vyacheslavov L. N. // Physics of Plasmas. 2014. V. 21. № 8.
- Timofeev A. V. // Phys. Usp. 2004. V. 47. № 6.
- Timofeev I. V., Annenkov V. V., Arzhannikov A. V.// Physics of Plasmas. 2015. V. 22. № 11. https://doi.org/http://dx.doi.org/10.1063/1.4935890
- Arzhannikov V. A., Ivanov I. A., Kasatov A. A., Kuznetsov S. A., Makarov М. А., Mekler K. I., Polosatkin S. V., Popov S. S., Rovenskikh A. F., Samtsov D. A., Sinitsky S. L., Stepanov V. D., Annenkov V. V., Timofeev I. V. // Plasma Physics and Controlled Fusion. 2020. V. 62. № 4.
- Arzhannikov A. V., Timofeev I. V. // Plasma Physics and Controlled Fusion. 2012. V. 54.
- Аржанников А. В., Тимофеев И. В. // Вестник Новосибирского гос. ун-та. Сер.: Физика. 2016. Т. 11. № 4. С. 78.
- Arzhannikov A. V., Burdakov A. V., Burmasov V. S., Gavrilenko D. E., Ivanov I. A., Kasatov A. A., Kuznetsov S. A., Mekler K. I., Polosatkin S. V., Postupaev V. V., Rovenskikh A. F., Sinitsky S. L., Sklyarov V. F., Vyacheslavov L. N. // Physics of Plasmas. 2014. V. 21. № 8.
- Arzhannikov A. V., Burdakov A. V., Burmasov V. S., IIvanov I.A., Kasatov A. A., Kuznetsov S. A., Makarov M. A., Mekler K. I., Polosatkin S. V., Popov S. S., Postupaev V. V., Rovenskikh A. F., Sinitsky S. L., Sklyarov V. F., Stepanov V. D., Timofeev I. V., Thumm M. K.A. // IEEE Transactions on Terahertz Science and Technology. 2016. V. 6. № 2. P. 245
- Arzhannikov A. V., Burmasov V. S., Ivanov I. A., Kalinin P. V., Kuznetsov S. A.,Makarov M. A., Mekler K. I., Polosatkin S. V., Rovenskikh A. F., Samtsov D. A., Sinitsky S. L., Stepanov V. D., Timofeev I. V. // 44th International Conference on Infrared, Millimeter, and Terahertz Waves (IRMMW–THz). IEEE. 2019.
- Samtsov D. A., Arzhannikov A. V., Sinitsky S. L., Makarov M. A., Kuznetsov S. A., Kuklin K. N., Popov S. S., Sandalov E. S., Rovenskikh A. F., Kasatov A. A., Stepanov V. D., Ivanov I. A., Timofeev I. V., Annenkov V. V., Glinskiy V. V. // IEEE Transactions on Plasma Science. 2021. V. 49. № 11. P. 3371.
- Arzhannikov A. V., Sinitsky S. L., Popov S. S., Timofeev I. V., Samtsov D. A., Sandalov E. S., Kalinin P. V., Kuklin K. N., Makarov M. A., Rovenskikh A. F., Stepanov V. D., Annenkov V. V., Glinsky V. V. // IEEE Transactions on Plasma Science. 2022. V. 50. № 8. P. 2348.
- Аржанников А. В., Синицкий С. Л., Старостенко Д. А., Логачев П. В., Бак П. А., Никифоров Д. А., Попов С. С., Калинин П. В., Самцов Д. А., Сандалов Е. С., Атлуханов М. Г., Григорьев А. Н., Воробьёв С. О., Петров Д. В., Протас Р. В.// Физика плазмы. 2022. T. 48. № 10. C. 929.
- Arzhannikov A. V., Ivanov I. A., Kalinin P. V., Kasatov A. A., Makarov M. A., Mekler K. I., Rovenskikh A. F., Samtsov D. A., Sandalov E. S., Sinitsky S. L. // Journal of Physics: Conf. Ser. IOP Publ. 2020. V. 1647. № 1. P. 012011.
- Arzhannikov A. V., Bobylev V. B., Nikolaev V. S., Sinitsky S. L., Yushkov M. V., Zotkin R. P. // 9-th Inter. Conf. High–Power Particle Beams, Washington DC, 1992. Proceedings, V. II, Electron beams. P. 1117.
- Arzhannikov A. V., Makarov M. A., Samtsov D. A., Sinitsky S. L., Stepanov V. D. // Nuclear Instruments and Methods in Physics Research Section A: Accelerators, Spectrometers, Detectors and Associated Equipment. 2019. V. 942. P. 162349.
- Бурмасов В. С., Бобылев В. Б., Иванов А. А., Иваненко С. В., Касатов А. А., Касатов Д. А., Кругляков Э. П., Куклин К. Н., Попов С. С., Поступаев В. В., Пурыга Е. А., Ровенских А. Ф., Скляров В. Ф. // Приборы и техника эксперимента. 2012. T. 2. С. 120.
- Popov S. S., Vyacheslavov L. N., Ivantsivskiy M. V., Burdakov A. V., Kasatov A. A., Polosatkin S. V., Postupaev V. V. // Fusion Science and Technology. 2011. V. 59. № 1T. P. 292.
- Аржанников А. В., Макаров М. А., Калинин П. А., Касатов А. А., Куклин К. Н., Попов С. С., Самцов Д. А., Сандалов Е. С., Синицкий С. Л. // Сб. тез. докл. 48 межд. звенигородская конф. по физике плазмы и управляемому термоядерному синтезу, 2021.
- Рогалин В. Е., Каплунов И. А., Кропотов Г. И. // Оптика и спектроскопия. 2018. Т. 125. № 6. С. 851.
- Arzhannikov A. V., Ivanov I. A., Kuznetsov S. A., Samtsov D. A., Lazorskiy P. A.,Gelfand A. V. // Proceedings of the 2021 IEEE22nd International Conference of Young Professionals in Electron Devices and Materials. IEEE, 2021. P. 101.
- Зайцев Н. И., Иляков Е. В., Ковнеристый Ю. К., Кораблев Г. С., Кулагин И. С., Лазарева И. Ю., Цалолихин В. И., Шульгин В. В. // Приборы и техника эксперимента. 1992. № 35. С. 153.
- Аржанников А. В., Синицкий С. Л., Самцов Д. А., Сандалов Е. С., Попов С. С., Атлуханов М. Г., Макаров М. А., Калинин П. В., Куклин К. Н., Ровенских А. Ф., Степанов В. Д. // Физика плазмы. 2022. T. 48. № 10. С. 929.
- Arzhannikov A. V., Burdakov A. V., Burmasov V. S., Koidan V. S., Konyukhov V. V.,Mekler K. I., Rogozin A. I., Vyacheslavov L. N. // Proc. 3rd Inter. Conf. High Power Elec. Ion Beam Res. Tech., Novosibirsk. 1979. P. 29.
- Аржанников А. В., Синицкий С. Л., Старостенко Д. А., Логачев П. В., Бак П. А., Никифоров Д. А., Попов С. С., Калинин П. В., Самцов Д. А., Сандалов Е. С., Атлуханов М. Г., Григорьев А. Н., Воробьёв С. О., Петров Д. В., Протас Р. В. // Сибирский физ. журн. 2023. Т. 18. № 1. С. 28.
Supplementary files









