Use of lithium capillary structures in Ohmic discharges of T-10 Tokamak
- Authors: Vershkov V.A.1, Sarychev D.V.1, Shelukhin D.A.1, Nemets A.R.1, Mirnov S.V.2, Lyublinski I.E.3, Vertkov A.V.3, Zharkov M.Y.3
-
Affiliations:
- National Research Center “Kurchatov Institute”
- Troitsk Institute for Innovation and Fusion Research
- Dollezhal Research and Development Institute of Power Engineering
- Issue: Vol 50, No 3 (2024)
- Pages: 243-270
- Section: TOKAMAKS
- URL: https://bakhtiniada.ru/0367-2921/article/view/267452
- DOI: https://doi.org/10.31857/S0367292124030018
- EDN: https://elibrary.ru/RGKCPK
- ID: 267452
Cite item
Full Text
Abstract
The results of experiments at the T-10 tokamak using lithium capillary-porous structures are presented. It is shown that lithium sputtering under conditions of graphite diaphragms can significantly reduce deuterium recycling and the level of impurities in the plasma. At the same time, recycling increases significantly five discharges after the start of the day of the experiment, and the effect of reducing the level of impurities persists for 150—300 discharges. The results of using a capillary-porous structure with lithium filling as a movable rail diaphragm in the T-10 configuration with tungsten main diaphragms are presented. The introduction of a lithium diaphragm into the SOL region makes it possible to reduce recycling and obtain discharges with an effective plasma charge approaching unity. In this case, the effect increases as the lithium sputtered in the chamber is accumulated. It is shown experimentally that a capillary-porous structure with lithium filling can be used as a main diaphragm with longitudinal plasma heat fluxes up to 3.6 MW/m2. However, a necessary condition is the complete impregnation of the porous structure with lithium and the prevention of extrusion of lithium into the discharge as a result of the interaction of the current flowing to the diaphragm with the toroidal magnetic field. Experiments have shown that to obtain discharges with a small lithium admixture, a strong gas injection of deuterium or impurity is required to reduce the temperature of the plasma periphery and effective cooling of the diaphragm below 450 ŰC. Otherwise, the diaphragm transfers into a strong evaporation mode with high lithium flows, which lead to a significant increase in the lithium concentration in the plasma. Strong evaporation reduces the heat inflow and stabilizes the diaphragm temperature.
Full Text
1. ВВЕДЕНИЕ
Одной из основных проблем на пути построения термоядерного реактора-токамака или нейтронного источника является решение вопроса взаимодействия плазмы с ограничивающими ее материалами вакуумной камеры и диверторных пластин.
Сложность задачи определяется тем, что эти материалы должны сохранять работоспособность в течение нескольких лет под потоками горячей плазмы с энергией до сотен электроновольт, создающими тепловые потоки на диверторные пластины до 10 МВт/м2. Кроме постоянных потоков возможно значительное число также быстрых выбросов энергии до 100 МДж/м2, приводящих к испарению поверхностных слоев материала. Такие условия не может выдержать ни один материал, включая самый тугоплавкий — вольфрам.
Необходимо отметить, что помимо распыления, потоки частиц приводят к модификации характеристик материала на поверхности, увеличивая ее шероховатость, пористость, растрескивание и насыщение материала водородом и гелием. Это может приводить к дополнительной эрозии материалов. При этом распыляемый материал дивертора и стенки приводит к загрязнению плазмы примесями с большим зарядом ядра, которые вызывают большие радиационные потери энергии и охлаждение плазмы.
Работы по решению проблемы взаимодействия плазмы со стенкой начались, практически, с первых экспериментов на токамаках и продолжаются уже более 60 лет. Однако только с появлением в 1980-х гг. токамаков с сверхпроводящими магнитными системами возникла практическая возможность реализации длительных или постоянных разрядов. В это же время стали предлагаться методы безындукционного поддержания тока.
К настоящему времени выяснилось, что даже при обеспечении стационарного охлаждения стенки не удается осуществить постоянный режим. Причем длительность разряда уменьшается с ростом энергонапряженности разряда. В работе [1] это объясняется постепенным накоплением в камере токамака продуктов эрозии контактирующих с плазмой элементов. При этом разряд прекращается после достижения критического количества накопленных продуктов эрозии. Поскольку скорость эрозии растет с ростом энергонапряженности, то критические условия в этом случае достигаются быстрее и разряд укорачивается.
Показано, что максимальная достижимая длительность разряда уменьшается с увеличением плотности потока энергии на стенку. Близкая зависимость уменьшения длительности разряда с ростом полученной в нем величины тройного произведения (niTiτE) приведена в [2], где ni — плотность ионов, Ti — ионная температура и τE — время удержания энергии в плазме. Поскольку максимальные величины тройного произведения достигаются при больших мощностях нагрева, то результаты этих работ находятся в качественном согласии.
Другим возможным механизмом ограничения длительности разряда является перегрев поверхностей, контактирующих с плазмой, рассмотренном в работе [3]. В ней развита количественная модель для оценки времени, ограничивающей разряд на основе рассмотрения потоков тепла на элементы поверхности первой стенки. Показано, что эта модель согласуется с результатами существующих токамаков.
Исторически определились два подхода к решению проблемы стенки в токамаке. Первый состоит в увеличении радиационных потерь, в результате чего потоки энергии частиц из плазмы практически целиком преобразуются в излучение, не приводящее к эрозии материалов. Однако чистая дейтериевая плазма обладает низкой излучательной способностью, так как радиационные потери сильно растут с увеличением заряда иона. Поэтому для переизлучения необходимо инжектировать в плазму многозарядные примеси такие как азот, неон, аргон и криптон. Но их добавка приводит к загрязнению плазмы, уменьшая концентрацию дейтерия и охлаждая плазму из-за радиационных потерь из центральных областей, так как примеси с большим зарядом имеют свойство накапливаться в центре плазмы.
Кроме того, сильное охлаждение периферии может приводить к изменению характеристик разряда и деградации удержания энергии в плазме. Недостатком концепции радиационного переизлучения также является то, что она может работать в стационарных условиях, но она не предотвращает эрозию стенки при больших импульсных выбросах энергии при неустойчивости периферии Edge Localized Modes (ELMs) и в срывах.
Второй подход состоит в реализации концепции возобновляемой стенки — создании на ее поверхности постоянно возобновляемого слоя. Он воспринимает на себя потоки энергии и частиц, защищая основной материал от эрозии. Практическая реализация этой концепции осуществлялась несколькими способами.
Первый состоял в напылении на стенку различных покрытий. При этом использовались покрытия углеродом — карбонизация [4], покрытие кремнием — силиконизация [5] и бором — боронизация [6]. Однако такой способ применим для импульсных разрядов, так как покрытия наносились до разряда и в ходе него напыленный слой распылялся.
В настоящее время не показано, что такие покрытия можно возобновлять и удалять отработавший слой в ходе постоянного разряда, который необходим для реактора. Предельным способом реализации концепции возобновляемой стенки является использование жидких металлов в качестве взаимодействующей с плазмой поверхности. В этом случае решаются практически все проблемы.
Так, деградация поверхности отсутствует благодаря конвекции жидкого лития. Проблемы эрозии материала и выведения сорбированных продуктов распыления и рабочего газа решаются благодаря возможности прокачки жидкого металла.
Впервые использование лития в концепции реактора было предложено в [7]. Прямым способом использования жидких металлов было использование в качестве лимитера струи из капель жидкого галлия [8] или поддона с жидким литием в случае однонулевого нижнего дивертора [9]. Однако реализация струи капель жидкого металла технически сложна, а использование поверхности жидкого металла приводит к его разбрызгиванию из-за взаимодействия наведенных токов с магнитным полем. Для устранения разбрызгивания металла было предложено покрыть поверхность жидкого металла пористой структурой [10]. В этом случае жидкий металл удерживается от разбрызгивания и образует тонкий защитный слой благодаря капиллярным силам.
Концепция использования капиллярно-пористых структур была предложена в работе [10] и использовалась в экспериментах с жидким литием [11—13]. В последнее время были также проведены эксперименты с использованием и жидкого олова [14].
Эксперименты на Т-10 с литиевыми капиллярно-пористыми структурами проводились в течение более десяти лет. Было исследовано влияние лития на свойства плазмы и приобретен опыт работы с такими структурами. Детальный анализ изменения характеристик плазмы, ее состава, структуры потоков лития, примесей и дейтерия в экспериментах с литиевой диафрагмой на Т-10 представлен в работе [15]. В данной работе основное внимание уделяется техническим аспектам использования литиевых капиллярно-пористых структур, изучению специфических свойств этих структур при взаимодействии с плазмой и механизмов влияния лития на потоки примесей и рециклинг.
В разд. 2 приведены результаты экспериментов с напылением лития до разрядов в камере Т-10 с графитовыми рельсовой и кольцевой диафрагмами. В разд. 3 описаны эксперименты с использованием капиллярно-пористой подвижной литиевой диафрагмы при введении в область Scrape Of Layer (SOL), так и в основную плазму в условиях вольфрамовых кольцевой и рельсовой диафрагм. В разд. 4 обсуждаются результаты экспериментов с литием, делаются выводы и рекомендации.
2. ЭКСПЕРИМЕНТЫ С ИСПОЛЬЗОВАНИЕМ ГЕТТЕРИРОВАНИЯ СТЕНКИ ТОКАМАКА Т-10 ЛИТИЕМ
2.1. Условия эксперимента
Установка Т-10 является лимитерным токамаком с круглым сечением тороидального плазменного шнура. Большой и малый радиусы плазмы составляли 1.5 и 0.3 м. Типичные величины тороидального магнитного поля и тока плазмы 2.4 Тл и 220 кА. Плазменный шнур ограничивался круговой полоидальной диафрагмой с радиусом 0.33 м и рельсовой диафрагмой с малым радиусом 0.3 м, с полоидальным размером 0.35 м. Вакуумная камера была выполнена из нержавеющих сильфонов с радиусом 0.4 м.
Первые эксперименты с литием на Т-10 начались в 2006 г. и продолжались до 2011 г. [16]. В течение этого времени Т-10 работала с кольцевой и рельсовой диафрагмами, сделанными из графита. В этой серии литий использовался только для напыления на поверхность камеры и диафрагм перед экспериментами. Литиевый элемент, был изготовлен предприятием “Красная звезда” на основе капиллярной пористой (10—100 мкм) структуры (КПС), которая уже успешно использовалась в экспериментах на Т-11М [17] и FTU [18].
Литий располагался в специальном контейнере и растекался благодаря капиллярному давлению по КПС, расположенной на наружной фронтальной поверхности элемента. Элемент был снабжен нагревателем и термопарами для измерения температуры. Он вводился в центр камеры токамака Т-10 через 30-градусный патрубок до начала разрядов в том же сечении, где располагались рельсовая и кольцевая диафрагмы. Схема эксперимента показана на рис. 1.
Рис. 1. Схема эксперимента с напылением лития на Т-10.
Литиевый элемент устанавливался на телескопическую систему ввода на атмосфере. После изготовления поверхность капиллярной структуры была закрыта нержавеющей фольгой, которая снималась непосредственно перед установкой. После монтажа элемент вводился внутрь устройства ввода, и оно подсоединялось к установке. Потом закрывался клапан и начиналась локальная откачка устройства ввода. В итоге литиевый элемент находился на атмосфере 10—20 мин.
После достижения вакуума в устройстве ввода проводилась подготовка элемента путем длительного прогрева литиевого элемента с температурой до 200 оС для обезгаживания после атмосферы чтобы не вносить примеси в камеру при напылении. Для распыления лития в камере литиевый элемент вводился в середину камеры и выдерживался при температуре 450 оC в течение 20 мин. Типичное количество осажденного в камере лития составляло около одного грамма. Оно контролировалось путем изменения продолжительности температурного плато в процессе охлаждения элемента. Такая методика была предложена в [19].
На рис. 2 приведено сравнение временного хода температуры в процессе охлаждения элемента до начала серии экспериментов и после 5 процессов напыления. Видно, что длительность плато температуры, соответствующая времени фазового перехода лития из жидкого в твердое состояние сократилось на 71 с. Поскольку было известно, что первоначально было заправлено 16 г лития, то потеря массы лития за одну литиизацию оценивалась по относительному сокращению длительности плато температуры как δm = 16/5(226—155) / 226 = 1 г.
Рис. 2. Определение количества лития по длительности плато температуры: а — до эксперимента; б — после пяти литиизаций.
2.2. Влияние литиевого напыления на рециклинг дейтерия
Основными последствиями литиевого геттерирования являлись увеличение сорбции дейтерия камерой и диафрагмами и уровня примесей в плазме. Увеличение сорбции дейтерия проявлялось в быстром распаде средней плотности после выключения газонапуска.
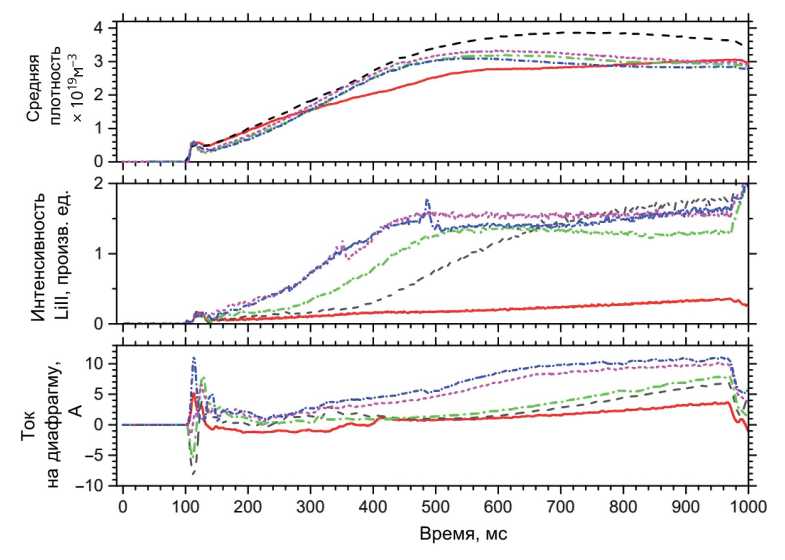
На рисунке 3 показаны эволюции во времени средней плотности плазмы после отключения клапана в серии разрядов после литиизации. Во всех разрядах задавалась программа для поддержания средней плотности на уровне 2.5⋅1019 част/см3. Однако в первом разряде из-за сильной сорбции дейтерия не удалось выйти на эту величину, несмотря на полное открытие клапана газонапуска. Но уже во втором импульсе производительности клапана хватало для выхода на заданный уровень средней плотности, но при этом клапан также был полностью открыт. На рис. 3 виден быстрый распад плотности после отключения клапана. Однако эффект литиевого геттерирования падал от разряда к разряду.
Рис. 3. Эволюция во времени средней плотности плазмы после отключения клапана в серии разрядов после литиизации: 1– первый разряд после литиизации (61390); 2– второй разряд после литиизации (61391); 3 — десятый разряд после литиизации (61399); 4 — двадцать третий разряд после литиизации (61412).
На рис. 4 показано изменение времени распада средней плотности от номера разряда после литиизации. Время распада находилось по производной уменьшения средней плотности в начальной фазе распада как τ = — N / dN / dt. Пунктирной линией показана величина времени распада до литиизации. Из рисунка видно, что уже через 5 импульсов время распада плотности увеличивается вдвое, но эффект литиизации остается заметен и через 25 импульсов. Рециклинг определялся по времени распада полного числа частиц в шнуре τ* = 1 / NΣ(dNΣ / dt) после отключения клапана из уравнения баланса частиц dNΣ / dt = = Глим + Гст + Гкл — NΣ / τ, где NΣ — полное число частиц в шнуре плазмы, τ — время жизни частиц дейтерия в плазме τ = NΣ / (Глим + Гст) в условиях стационарной плазмы с рециклингом близким к 100%, и Глим, Гст, Гкл — соответственно притоки дейтерия с диафрагмы, стенки и газонапуска. Величина рециклинга определяется как R = (Глим + Гст) / (NΣ / τ) — отношение притока от диафрагмы и стенки к полному потоку из плазмы. Тогда из уравнения баланса получается R = 1 — (τ / τ*).
Рис. 4. Изменение времени распада плотности в серии разрядов после литиизации.
На рис. 5 приведен ход во времени полного количества частиц в плазме для второго импульса после литиизации. Полное число частиц находилось суммированием хордовых данных 16-канального интерферометра. Видно, что полное число частиц начинает уменьшаться со скоростью 3⋅1020 част/с, но через 25 мс скорость распада увеличивается до 5.7⋅1020 част/с, что может свидетельствовать о ухудшении удержания плазмы. Ухудшение удержания в условиях низкого (0.3) рециклинга с подпиткой инжекцией пеллет было обнаружено на токамаке ASDEX [20]. Также об ухудшении удержания плазмы свидетельствует значительное увеличение уровня флуктуаций плотности, обнаруженное в этом разряде в стадии распада плотности [21].
Рис. 5. Эволюция во времени полного числа частиц в шнуре после отключения газонапуска во втором импульсе после напыления лития.
Скорость уменьшения числа частиц 3⋅1020 част/с при NΣ = 7.2⋅1019 соответствует τ* = 0.24 с. Эта скорость распада полного числа частиц может являться оценкой притока частиц от клапана Γкл в стационарной стадии. Близкая величина 2⋅1020 част/с была получена из оценки скорости роста числа частиц при полном включении клапана в разряде с рециклингом, близким к единице [22]. В этой работе было также найдено, что отношение интегрального свечения линии Нα с диафрагм к клапану составляло 4.8. Тогда принимая приток из клапана равным 3⋅1020 част/с приток с диафрагмы может быть оценен как 1.44⋅1021 част/с.
Согласно работе [23], приток с диафрагм составляет 65% от полного притока дейтерия. Соответственно полный приток в плазму может быть оценен как 2.2⋅1021 част/с. Эта оценка полного притока дейтерия в плазму близка к измеренному в [15] [23] 2,2⋅1021 част/с, что дает величину τ = 0.033 с. Таким образом можно оценить, что величина рециклинга во втором импульсе после литиизации составила R = 1 — (τ / τ*) = 0.86.
2.3. Изменение примесного состава плазмы
Помимо снижения рециклинга, напыление лития приводило также к уменьшению концентрации примесей углерода, кислорода и тяжелых примесей, что определяло уменьшение радиационных потерь из плазмы. На рис. 6 показаны радиальные распределения локальной плотности потерь с излучением, измеренных болометром и полупроводниковыми датчиками AXUV.
Рис. 6. Радиальные распределения потерь, регистрируемые пироэлектрическим болометром и датчиками AXUV в разрядах до и после литиевого напыления. Сплошная черная линия –пироэлектрический болометр до литиизации; красный пунктир — после литиизации; — черный пунктир с точками — AXUV до литиизации; красная точечная линия — AXUV после литиизации.
В обоих случаях радиальные мощности потерь получались путем абелизации данных многохордовых измерений. Хорошо видно, что обе диагностики показывают, что потери с излучением значительно снижаются. Причем если снижение радиационных потерь на периферии, за которые отвечают легкие примеси, составляет менее двух раз, то потери в центральных областях на тяжелых примесях снижаются более чем вдвое. Это может быть связано как с уменьшением притока тяжелых примесей в разряд, так и с уменьшением неоклассического собирания тяжелых примесей в более чистых разрядах после литиизации [15].
На рис. 7 приведено изменение параметров плазмы в течение экспериментальной кампании с литием 2008 г. Параметры плазмы измерялись в первых импульсах рабочего дня. На левом верхнем графике приведены названия процедур, проделанных перед началом эксперимента каждого дня. Красными столбиками отмечены процедуры литиизации, причем их высота соответствует длительности напыления 10 и 20 мин. Перед остальными рабочими днями литий не напылялся, но проводились различные процедуры чистки камеры, отмеченные на рисунке.
Рис. 7. Изменение некоторых характеристик разряда в ходе экспериментальной кампании с литиевым напылением. На двух нижних правых рисунках CIIIA, ОIIА и CIIIC обозначение А означает измерения в сечении диафрагмы, а обозначение С — в сечении, противоположном диафрагме.
Работа проводилась в постоянном режиме с током плазмы Jp = 200 kA, тороидальным магнитным полем Bt = 2.4 Tл и средней плотностью <Ne> = 2.5⋅1019м−3. Поскольку рециклинг и примесный состав разряда менялись в течение дня, то на рисунке приведены данные, соответствующие первому импульсу, в котором плотность выходила на заданный уровень. Это практически достигалось во втором импульсе.
В первые два дня эксперимента проводился обмер режима до начала литиевого напыления. Видно, что каждая литиизация сопровождается сильным уменьшением рециклинга и притока примесей углерода и кислорода, измеряемых вблизи диафрагмы. Уменьшение притока примесей приводит к падению среднего заряда плазмы Zeff, уменьшению радиационных потерь, измеряемых пироэлектрическим болометром и полупроводниковыми датчиками AXUV, а также интенсивности мягкого рентгеновского излучения из плазмы. Однако, когда литиизация не проводилась, уровень примесей начинал возрастать.
Так, на 4-й день ухудшение было небольшим. Но за два дня без литиизации (7 и 8) характеристики разряда практически вернулись к соответствующим до литиизации. Следует отметить, что свечение линии LiII, характеризующее потоки лития, в эти дни уменьшалось только в два раза. Это может свидетельствовать о снижении эффективности лития по снижению рециклинга и уровня углерода и кислорода из-за его отравления примесями.
Данные рис. 7 показывают высокую корреляцию изменения таких интегральных характеристик разряда как напряжение обхода и радиационные потери с потоками примесей с диафрагмы, в то время как поток углерода вдали от диафрагмы меняется мало и постепенно. Это говорит о том, что основное поступление примесей происходит с диафрагмы и распыление лития в этой области эффективно снижает уровень примесей в разряде. Необходимо также отметить, что проведение тлеющего разряда в гелии не приводит к восстановлению сорбционных свойств лития.
2.4. Стабильность лития в капиллярно-пористой структуре
В серии первых экспериментов не ставилась задача ввода литиевого элемента в плазму, так как он был смонтирован на длинной консоли, которая не могла противостоять силам Ампера при протекании тока из плазмы на элемент в магнитном поле. Поэтому после напыления литиевый элемент охлаждался и выводился из патрубка в контейнер.
Однако в одной серии литиевый элемент был выведен из камеры, но остался в горячем состоянии внутри патрубка токамака. В этом случае при открытии камеры на атмосферу были замечены множественные брызги лития по всему патрубку. Это происходило из-за того, что при вибрации камеры в ходе разряда возникающие силы оказывались больше, чем удерживающие капиллярные силы. Подобное явление разбрызгивания лития наблюдалось и в экспериментах на итальянском токамаке FTU [24] при плохом закреплении литиевого элемента. Поэтому для предотвращения разбрызгивания литиевый элемент должен быть надежно закреплен.
2.5. Сравнение результатов экспериментов с литиевым напылением с аналогичными на других установках
Аналогичные эксперименты с напылением лития на стенки камеры перед разрядами проводились на нескольких тороидальных плазменных установках. Так, на американском диверторном сферическом токамаке NSTX [25] литиизация проводилась с помощью литиевых испарителей, расположенных сверху тора. Перед разрядами литий напылялся на область дивертора, расположенную внизу.
Авторы отмечают, что напыление приводит к уменьшению плотности, преимущественно на периферии шнура, связанное с уменьшением рециклинга. Однако стабилизация периферийной неустойчивости Edge Localized Mode в результате литиевого напыления приводит к улучшению удержания и накоплению примеси углерода в центральных областях шнура.
Следует особо отметить, что при этом концентрация самого лития в центре остается меньше 0.1%. На китайском диверторном токамаке EAST также проводилось напыление лития перед разрядами [26]. Отмечается сильное снижение уровня легких примесей углерода и кислорода. Эффективный заряд плазмы Zeff уменьшился до величины, меньшей 2. Рециклинг дейтерия после напыления снизился до 0.89, что дало возможность лучшего контроля плотности. Через 100 разрядов рециклинг возрос до 0.96.
Напыление лития также проводилось на итальянской установке RFX [27]. Напыление осуществляли, также как и на Т-10, с помощью одной капиллярно-пористой структуры, расположенной снизу камеры. В результате наблюдается снижение основной примеси углерода и рециклинга R до величины 0.95—0.99. Также отмечается лучшее управление плотностью.
Таким образом, можно заключить, что напыление лития перед разрядами на нескольких установках приводит к результатам, близким к полученным на Т-10. А именно. значительному снижению уровня примесей и рециклинга.
3. ЭКСПЕРИМЕНТЫ С ЛИТИЕВОЙ ДИАФРАГМОЙ НА ОСНОВЕ КАПИЛЛЯРНО-ПОРИСТОЙ СТРУКТУРЫ
Длительная работа Т-10 с графитовыми диафрагмами привела к образованию углеводородных пленок на камере и увеличению углеродной примеси в плазме. Для уменьшения легких примесей и изучения возможности работы с вольфрамовыми элементами камеры, в 2015 г. рельсовая и круговая графитовые диафрагмы были заменены на вольфрамовые. В 2016 г. в дополнение к ним была поставлена подвижная литиевая диафрагма на основе капиллярной структуры. Таким образом реализовалась возможность, в дополнение к предыдущим экспериментам с графитовыми диафрагмами, изучить влияние лития в условиях вольфрамовых диафрагм, включая возможность использования литиевого элемента в качестве основной ограничивающей диафрагмы.
3.1. Условия эксперимента
Схема расположения вольфрамовых и литиевой диафрагм в камере Т-10 схематически показана на рис. 8. Черным цветом обозначены рельсовая (внизу) и круговая вольфрамовые диафрагмы. Они были изготовлены в НИИЭФА им. Ефремова. Использовался вольфрам марки “Полема”. Радиус круговой и рельсовой диафрагм составлял 33 и 30 см соответственно.
Рис. 8. Схема расположения вольфрамовых и литиевой диафрагмы на Т-10.
В верхнем патрубке была смонтирована перемещаемая от импульса к импульсу литиевая диафрагма. Она была изготовлена НПО “Красная звезда” на основе капиллярно пористой структуры (КПС) [28]. Диафрагма могла передвигаться от импульса к импульсу от радиуса 43 до 25 см. Конструкция литиевой диафрагмы показана на рис. 9. Она состояла из молибденового цилиндра вокруг которого была обвернута молибденовая сетка. Эта сетка сообщалась с боковым резервуаром с литием. С помощью нагревателя, расположенного внутри молибденового цилиндра, литий нагревался до плавления и, благодаря капиллярным силам, литий пропитывал молибденовую сетку.
Рис. 9. Конструкция литиевой диафрагмы. 1 — слой лития, пропитывающего молибденовую сетку; 2 — молибденовая сетка; 3 — контейнер с литием; 4 — слой вольфрамового войлока; 5 — молибденовая трубка с нагревателем; 6 — крепежный кронштейн.
Для предотвращения возможности вытекания лития под действием гравитации диафрагма была наклонена так, чтобы контейнер с литием располагался ниже цилиндрической капиллярной структуры. В центральной области молибденовая сетка была защищена от теплового потока слоем пористого вольфрамового войлока. Температура диафрагмы контролировалась тремя термопарами как показано на рис. 10.
Рис. 10. Расположение термопар на литиевой диафрагме.
Термопара Т2 располагалась с задней стороны в литиевом слое напротив места касания диафрагмы магнитной поверхностью, где происходило максимальное взаимодействие с плазмой. В геометрии Т-10 это место было смещено на 50 мм внутрь по большому радиусу от центра рельсовой диафрагмы. Термопара Т1 была дополнительно смещена на 10 см внутрь. Термопара Т3 контролировала температуру контейнера с литием. Перед установкой в камеру Т-10 в литиевый контейнер заправлялось около 50 г лития и его расход контролировался по длительности плато на температуре при переходе лития из жидкого в твердое состояние. Литиевая диафрагма была смонтирована на подвижном кронштейне, изолированном от камеры. В проведенных экспериментах кронштейн соединялся с камерой через сопротивление 1 Ом для измерения тока на диафрагму.
Для наблюдения линий примесей со всех трех диафрагм верхний, нижний и экваториальный патрубки Т-10 были снабжены оптическими окнами, через которые проводились измерения свечения линий в видимой области. Радиальное распределение Zeff измерялось по континууму в видимой области. Также измерялись пространственные распределения спектральных линий дейтерия, лития и примесей. Распределение свечения в диафрагменном патрубке наблюдалось тангенциально с помощью цветной видеокамеры MotionPro Y4-S1.
Концентрация примесей и ионная температура измерялись с помощью CXRS диагностики в удаленных от диафрагменного патрубка по тороидальному обходу. Профиль электронной температуры измерялся по ЭЦ-излучению, а абсолютная величина определялась по мягкому рентгеновскому излучению полупроводниковым пропорциональным детектором. Радиальные профили радиационных потерь измерялись многоканальными пироэлектрическими и полупроводниковыми AXUV-детекторами. Профили плотности измерялись 16-канальным интерферометром.
3.2. Подготовка литиевой диафрагмы к работе после установки в Т-10
После изготовления литиевая капиллярная структура диафрагмы закрывалась нержавеющей фольгой от взаимодействия с атмосферой. Эта фольга снималась непосредственно перед установкой КПС в токамак. После чего проводилась откачка камеры Т-10 на вакуум. В результате литий подвергался воздействию с атмосферой в течение нескольких часов. Поэтому для очистки поверхности лития проводился длительный прогрев в вакууме при температуре 200—300 °C.
Длительность прогрева определялась выходом давления в камере на уровень до начала прогрева. После прогрева в вакууме включался тейлоровский разряд в дейтерии, используемый для очистки камеры с частотой 50 Гц, током 5 кА и магнитным полем 0.05 Тл. Диафрагма вводилась в разряд и нагревалась разрядом до 550 °C.
Типично, что в начале для достижения этой температуры приходилось вводить диафрагму в разряд до радиуса 27 см, однако через 5—10 мин температура начинала расти, и приходилось уменьшать глубину ввода диафрагмы. Вероятно, это было связано с очисткой поверхности, в результате чего уменьшалась степень черноты и, соответственно, потери тепла с излучением. Одновременно, цветная видеокамера фиксировала рост красного свечения в области диафрагмы, определявшегося линией 6105 Å атома Li I. После этого диафрагма выводилась из разряда и была готова к использованию в эксперименте.
3.3. Эксперименты с расположением литиевой диафрагмы в области SOL
Эксперименты с чисто вольфрамовыми диафрагмами показали высокий уровень как легких, так и тяжелых примесей в разряде [29]. В этой связи были проведены исследования возможности очищения плазмы в условиях вольфрамовых диафрагм, аналогичные экспериментам с графитовыми диафрагмами, изложенным в разд. 2.3. Также как в предыдущих экспериментах, диафрагму можно было использовать для напыления лития до разряда. Однако в новых экспериментах повышенная надежность крепления позволяла проводить импульсы с диафрагмой, введенной в разряд. Для этого литий нагревался выше температуры плавления (типично 250—350 °C) и диафрагма вводилась в пристеночную область Scrape Off Layer (SOL) на радиусы от 33 до 31 см.
Таким образом, литиевая диафрагма могла воздействовать на условия разряда двумя способами.
Первый — достаточно длительная экспозиция нагретой диафрагмы перед разрядом, которая приводила к созданию тонкой литиевой пленки на элементах камеры из-за испарения лития в области расположения диафрагмы. К напылению на стенки камеры и вольфрамовых диафрагм также приводил поток лития распыленного с капиллярной структуры в ходе разряда. Этот способ литиевого геттерирования соответствовал условиям предыдущих экспериментов на Т-10 [16].
Второй способ мог состоять в непосредственном перехвате примесей введенной в SOL диафрагмой. К сожалению, в реальных условиях эксперимента эти оба способа работали совместно. При этом количество напыленного лития на вольфрамовых диафрагмах росло от разряда к разряду и ото дня ко дню и поступление лития в разряд начинало происходить не только с литиевой, но и с вольфрамовых диафрагм.
Таким образом, влияние литиевой диафрагмы на характеристики разряда определялся тремя параметрами: температурой нагрева и установленным радиусом, а также интегральным количеством уже напыленного лития на стенках камеры и вольфрамовых диафрагм. Эволюция в ходе экспериментов распределения свечения в области диафрагм, снятые тангенциально видеокамерой, хорошо видна на рис. 11.
Рис. 11. Свечения литиевой диафрагмы: слева — в начале кампании; средний — в середине; справа — в конце.
Приведены три кадра. Левый — в начале серии (67887), средний — в середине (67910) и правый — в конце экспериментов (67952). Красный цвет соответствует свечению линий Dα 6561 Å и LiI 6105 Å. Зеленый — свечению линии 5485 Å LiII. Все кадры сняты с одинаковой экспозицией. На на верхней области кадров располагалась литиевая диафрагма на радиусе 32 см. В нижней области располагалась вольфрамовая рельсовая диафрагма на радиусе 30 см.
В левой части первых двух кадров видно свечение круговой вольфрамовой диафрагмы на радиусе 33 см., вызванное тем, что в этих разрядах шнур был смещен на 2 см внутрь по большому радиусу, в отличие от третьего кадра, где смещение было равно нулю. Из первого кадра можно заключить, что свечение в красной области определяется свечением линии лития 6105 Å, а не дейтерия. Так как основной поток дейтерия идет на нижнюю рельсовою диафрагму, которая практически не видна на первом кадре. Видно, что вначале основное свечение в красной области идет вверху с литиевой диафрагмы и с внутренней части круговой диафрагмы.
На среднем кадре начинает светиться вольфрамовая рельсовая диафрагма внизу. И на правом снимке свечение LiI с нее становится преобладающим. Кроме того, свечение литиевой диафрагмы в третьем кадре уменьшается из-за истощения запаса лития. Такая эволюция распределения свечения лития свидетельствовала о длительном процессе накопления лития на вольфрамовых диафрагмах. На первом снимке также хорошо видны вытянутые вдоль силовых линий магнитного поля зеленые полосы свечения линии LiII.
Эксперименты начались в разрядах с вольфрамовыми диафрагмами и высокой концентрацией легких и тяжелых примесей [29]. В этих условиях ввод литиевой диафрагмы в SOL приводил к значительному очищению плазмы и увеличению потоков лития. Следует отметить, что уровень свечения линий лития зависел также от температуры литиевой диафрагмы. Так при увеличении температуры литиевой диафрагмы до разряда с 280 оС до 370 оС свечение линии LiI в экваториальной плоскости диафрагменного патрубка возрастало в 2.5 раза при неизменном радиусе ввода, что свидетельствовало о увеличении потока лития. Этот факт связан с увеличением коэффициента распыления лития с температурой [30].
Зависимость потоков лития от температуры изучалась по интенсивности свечения диафрагмы в красной области спектра, регистрируемой цветной видеокамерой в тейлоровском разряде. На рис. 12 приведена зависимость интенсивности свечения в красной области от температуры диафрагмы. Это свечение могло быть вызвано свечением линий Dα 6561 Å и LiI 6105 Å. Однако при описании рис. 11 было показано, что свечение линии лития доминирует.
Рис. 12. Экспериментальная зависимость свечения диафрагмы в тейлоровском разряде от ее температуры. Сплошная линия — экспонента с инкрементом 23°.
Кроме того, в эксперименте холодная литиевая диафрагма сразу вводилась на постоянный радиус 27 см, и ее температура росла во времени из-за нагрева плазмой. Таким образом, поток дейтерия на диафрагму и свечение Dα 6 561 Å были постоянными во времени и если эта линия и могла давать вклад при низкой температуре, то с ростом свечения лития на порядки этим вкладом можно пренебречь. Поскольку поток плазмы на диафрагму был постоянным, то единственным изменяющемся параметром была температура диафрагмы. Видно, что свечение растет по экспоненте с инкрементом 23°, что близко к теоретическим и экспериментальным значениям 22.6° для этого диапазона температур [31].
Ввод диафрагмы в разряд приводил к уменьшению уровня примесей в течении экспериментального дня. В течение экспериментальной кампании по мере накопления лития в камере уровень примесей при выдвинутой диафрагме соответствовал все более чистой плазме. При этом ввод диафрагмы приводил лишь к незначительному улучшению разряда. Самый большой эффект очищения плазмы был достигнут сразу после окончания работы с литием при выдвинутой диафрагме.
Далее уровень примесей постепенно увеличивался, но значительный эффект литиизации сохранялся в течение двух недель до вскрытия камеры на атмосферу. На рис. 13 приведены изменения основных характеристик разряда с ростом потока лития. Поток лития оценивался по свечению линии LiI в экваториальной плоскости диафрагменного патрубка. Данные были получены в омическом режиме с током Ip = 220 кА, магнитным полем Вт = 2.4 Тл и средней плотностью 2—2.5Е19 м−3. Из рисунка видно, что наблюдается хорошая корреляция всех приведенных параметров со свечением линии LiI.
Рис. 13. Изменение характеристик разряда в экспериментальной кампании в зависимости от интенсивности свечения линии LiI.
На рис. 14 данные интенсивности свечения линии ОII, показанные на нижнем графике рис. 13, перестроены в виде обратных величин этого свечения. Хорошо видна прямая пропорциональность уменьшения свечения линии кислорода с ростом потоков лития. Свечение линий примесей кислорода и углерода падает в 10—15 раз, что приводит к уменьшению эффективного заряда плазмы, приведенного на рис. 15. При этом болометрические потери, показанные на рис. 13 на периферии плазмы, связанные с легкими примесями и потерями на перезарядку, падают только в 4 раза.
Рис. 14. Зависимость обратной величины интенсивности свечения линии ОII от интенсивности свечения линии LiI.
Рис. 15. Зависимость эффективного заряда плазмы от интенсивности свечения линии LiI.
Следует отметить, что по измерениям диагностики CXRS концентрация лития в центре плазмы всегда оставалась не более 1%. Исключительно важно, что потоки лития наиболее сильно влияют на содержание вольфрама во внутренних областях шнура, определяющих центральные радиационные потери, измеряемые полупроводниковым датчиком AXUV. На рис. 16 приведены зависимости сигналов центральной хорды AXUV и свечения линии WI в экваториальной плоскости сечении расположения диафрагм от интенсивности линии LiI.
Рис. 16. Зависимости сигналов центральной хорды AXUV и свечения линии WI в сечении расположения диафрагм от интенсивности линии LiI.
Несмотря на то, что радиационные потери в центре, связанные с концентрацией W в плазме [32], снизились в 30 раз, свечение линии WI, характеризующее приток вольфрама, уменьшилось только в 3 раза. Такое небольшое уменьшение может быть связано с меньшим распылением W в чистой плазме, по сравнению с случаем сильно загрязненной углеродом и кислородом. Дополнительное уменьшение концентрации W в центре в 10 раз объясняется уменьшением неоклассической аккумуляции W в чистой плазме [32], т. е. поток лития в процессе разряда не образует защитную пленку на W диафрагме.
Тем не менее напыление лития перед разрядом несколько снижает приток вольфрама в первых импульсах, как это показано на рис. 17. Но через 5 импульсов приток выходит на прежний уровень. Вопрос о возможности блокировки притока вольфрама литиевой пленкой являлся одним из важнейших в ходе экспериментов с литием. Экспериментально не удалось получить снижения линии вольфрама и потерь из центра до нуля несмотря на рост напыления лития на диафрагмах. Вероятно, это связано с тем, что распыление вольфрама происходит на самой вершине диафрагмы, с которой пленка лития счищается плазмой. А свечение лития связано с напылением лития на более удаленных от плазмы частях диафрагмы. Значительного уменьшения притока вольфрама не удается получить даже случае первых разрядов после геттерирования литием в области вольфрамовых диафрагм. Возможно, слой лития счищается уже в первой фазе разряда.
Рис. 17. Изменение свечения линии WI в первых импульсах после литиевого напыления.
Суммируя результаты экспериментов с использованием литиевой диафрагмы в SOL плазмы, можно утверждать, что ее использование в этих условиях приводит к значительному снижению как легких, так и тяжелых примесей в плазме. Причем это снижение увеличивается с ростом потоков лития в плазме. Эффективный заряд плазмы при этом приближается к единице.
Исключительно важно, что, несмотря на сильный рост потоков лития в результате ввода диафрагмы и долговременного накопления лития в камере, концентрация лития в центральных областях, измеренная по диагностике CXRS, не превышала 1%. Этот эффект специально изучался в работе [15]. Там показано, что низкая эффективность проникновения лития в центральные области плазмы определяется высокой сорбцией лития круговой и рельсовой диафрагмами. При этом в области замкнутых поверхностей перенос лития не отличается качественно от других примесей.
Близкие эксперименты с вводом лития в SOL плазмы проводились на ряде токамаков. Практически идентичные Т-10 эксперименты были проведены на итальянской установке FTU [33]. Литиевая диафрагма также была изготовлена НПО “Красная звезда” на основе КПС. Она вводилась в SOL плазмы на расстоянии в 2 см. от последней замкнутой поверхности (ПЗП).
Основным результатом было полное подавление притоков легких и тяжелых примесей, что позволило получить разряды с плотностью на 30% больше. Так же как и на Т-10, концентрация лития в плазме была низкой, и эффект уменьшения примесей сохранялся при выводе диафрагмы. На установке EAST [34] проводились эксперименты с вводом в SOL плазмы пластины с текущим жидким литием. Пластина вводилась до расстояния 3 см от сепаратрисы. При этом также наблюдалось снижение рециклинга и уменьшение легких примесей в плазме. Эффективный заряд снижался с 2.1 до 1.6. Концентрация лития в центре не измерялась. Однако ввод пластины увеличивал приток тяжелых примесей с подложки лития и приводил к эжекции капель лития. На установке HT-7 использовались пластины, покрытые литием и КПС [35]. Литиевые элементы вводились до расстояния 1 см от ПЗП. В этих экспериментах наблюдались множественные эжекции капель лития, но количество их было меньше при использовании КПС.
В экспериментах на DIII-D [36] и Т-10 [37] это требовало больших инжекций порошка, что приводило к значительной концентрации лития в центральных областях. На установке NSTX [38] инжекция аэрозоля проводилась с помощью специального устройства, основанного на пьезоэффекте. Отмечалось, что удавалось инжектировать поток лития, в пять раз превышающий притоки дейтерия. Однако данные о концентрации лития в плазме не приводятся.
На установке EAST [39] инжекция литиевой пыли проводилась на уровне 13.4 мг/с в серии длительных разрядов, которым предшествовало напыление 25 г лития на стенки камеры. Эта инжекция позволяла поддерживать сорбционные способности лития в серии разрядов, обеспечивая снижение рециклинга и притока легких и тяжелых примесей. Однако в работе не сообщается о концентрации лития в плазме.
Таким образом, можно сделать вывод, что литиевые капиллярно-пористые структуры изготовленные НПО “Красная звезда”, также показали высокую эффективность по снижению рециклинга и примесей в экспериментах на токамаке FTU [33]. Важно, что был подтвержден вывод о основной роли накопленного в камере лития.
Следует отметить также отсутствие его разбрызгивания при секционировании диафрагмы, даже при больших тепловых потоках. Эксперименты на установках EAST [34] и HT-7 [35] с капиллярно-пористыми структурами другой конструкции и пластинами с текущим литием приводили к снижению рециклинга и примесей, однако сопровождались значительной эжекцией капель лития. Инжекция литиевой пыли на установках DIII-D [36], Т-10 [37], NSTX [38] и EAST [39] также уменьшали рециклинг и примеси, однако приводили на DIII-D и Т-10 к значительному росту концентрации лития в плазме.
3.4. Эксперименты с вводом литиевой диафрагмы в область замкнутых магнитных поверхностей
Уменьшение рециклинга и уровня примесей, связанные с накоплением лития в камере, наблюдались в начале первой экспериментальной кампании весной 2016 г., когда проводился ввод диафрагмы только в область SOL плазмы. Ситуация изменилась в следующих экспериментальных кампаниях из-за ухудшения вакуумных условий от 2⋅10–5 Па до 7⋅10–5 Па. В этих кампаниях не наблюдался длительный интегральный эффект литиизации. Уже на следующий день после очистки тейлоровским разрядом примесный состав плазмы возвращался на начальный уровень и не наблюдался интегральный эффект накопления лития в ходе кампании.
Очищение плазмы при вводе литиевой диафрагмы в SOL плазмы и долговременное улучшение, показанное ранее, позволяло предполагать, что могут существовать два механизма уменьшения примесей. Первый мог состоять в перехватывании потоков примесей в SOL самой диафрагмой по мере ее введения. Второй механизм мог определяться долговременным накоплением лития в камере и быть связан с сорбцией примесей слоем лития, покрывающим камеру и диафрагмы.
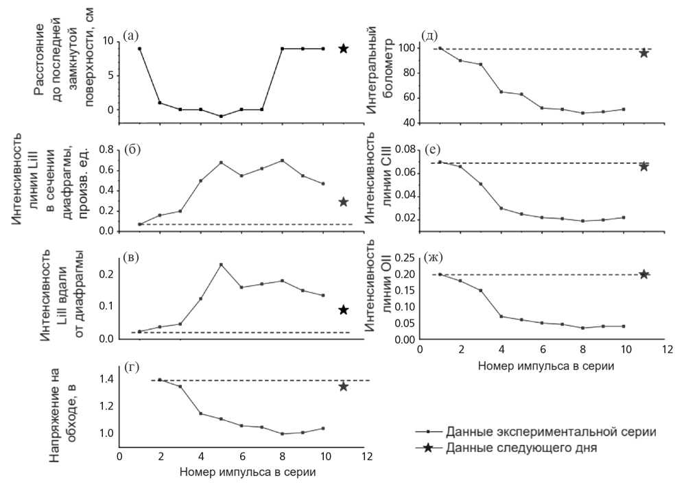
Для исследования этих процессов был проведен эксперимент с введением диафрагмы в плазму от импульса к импульсу с последующим ее выведением. В этом эксперименте плазма ограничивалась только одной круговой вольфрамовой диафрагмой с радиусом 33 см. При этом расположение литиевой диафрагмы на радиусе 32 см соответствовало ее вводу на 1 см во внутреннюю область замкнутых магнитных поверхностей. Результаты этого эксперимента представлены на рис. 18.
Рис. 18. Результаты эксперимента с введением литиевой диафрагмы в плазму от импульса к импульсу с последующим ее выведением.
Параметры разряда были постоянны в серии. Ток разряда Ip = 220 kA, тороидальное поле Bz = 2.4 Tл, средняя плотность <ne> = 2—2.5⋅1019 м-3. Литиевая диафрагма, нагретая до 300 °C, из полностью выдвинутого положения вводилась в плазму от разряда к разряду. По оси абсцисс на всех графиках отложен номер импульса в серии. Расстояние литиевой диафрагмы от последней замкнутой магнитной поверхности, определявшейся круговой вольфрамовой диафрагмой, показано на рис. 18а.
Из этого рисунка видно, что после введения внутрь замкнутых поверхностей на 1 см. был произведен ее постепенный вывод. На рис. 18б показана интенсивность свечения линии лития LiII 5485 Å в экваториальной плоскости диафрагменного патрубка. При этом регистрируется свечение с внутренней части круговой вольфрамовой диафрагмы, показанное на среднем и левом снимках рис. 11.
На рис. 18в также приведено свечение линии лития LiII в тороидальном сечении, удаленном от диафрагменного на 90°. Видно, оба сигнала изменяются от разряда к разряду подобно — это свидетельствует о том, что свечение этого иона хорошо усредняется вдоль тора и, как показано в [15], интенсивность линии LiII 5485 Å вдали от диафрагмы характеризует полный приток лития в плазму.
Ввод диафрагмы не приводит к резкому росту потоков лития, и вывод ее не уменьшает этого потока. Наоборот, интенсивность линий лития постепенно растет после ввода диафрагмы, достигает максимальной величины к 5-му импульсу и остается на высоком уровне даже на выведенной диафрагме в 8-м импульсе. Таким образом, можно заключить, что потоки лития, в основном, отражают интегральный эффект накопления лития на диафрагмах и стенке в ходе эксперимента.
Следует также отметить, что помимо напыления лития в каждом разряде, следует учитывать и распыление лития с нагретой до 300 °C литиевой диафрагмы за 15 мин между импульсами, что также увеличивало интегральный депозит лития от разряда к разряду.
Отметим небольшое влияние положения диафрагмы на поток лития. Так от 4-го к 5-му импульсу поток возрос при вводе диафрагмы с 0 до –1 см, и в 6-м импульсе он уменьшился при ее выводе до 0 см. Однако основное влияние оказывает интегральная величина напыления в ходе серии, так как поток остается максимальным при полном выводе в 8-м импульсе.
На рис. 18г, д, ж, з показаны изменения напряжения на обходе, интегральных радиационных потерь, свечения линий СIII и OII. Хорошо видно, все эти характеристики, характеризующие уровень примесей, постепенно уменьшаются в течение импульсов с введенной диафрагмой, достигают минимума на последнем разряде с введенной диафрагмой и начинают слабо возрастать после ее выведения. То есть очищение плазмы от примесей определяется полностью интегральным эффектом накопления лития в камере.
На рис. 18 звездочками показаны данные контрольного импульса с теми же параметрами, проведенными на следующий день после ночной очистки тейлоровским разрядом. Видно, хотя свечение линии лития (рис. 18б, в) уменьшилось менее чем вдвое относительно последнего импульса в предыдущей серии, все характеристики полностью вернулись к состоянию до ввода диафрагмы. Это может быть связано с отравлением лития в процессе ночной тренировки, т. е. эффект очищения плазмы определяется не только интегральным депозитом лития в камере и потоками лития, но и эффективностью сорбции литием примесей.
Проведенный эксперимент, как и предыдущие серии с литиевой диафрагмой в SOL, показал, что ее ввод способствует очищению плазмы от примесей.
Следующие эксперименты с глубоким вводом диафрагмы проходили в условиях, когда плазма ограничивалась и круговой и рельсовой вольфрамовыми диафрагмами. Было проведено несколько серий экспериментов с глубоким вводом диафрагмы, при этом был обнаружен ряд специфических особенностей работы литиевой диафрагмы при контакте с основной горячей плазмой.
На рис. 19 показано сравнение изменения характеристик плазмы в трех сериях экспериментов с глубоким вводом диафрагмы. Данные получены в режиме с током Ip = 250 кА, магнитным полем Вт = 2.4 Тл и средней плотностью 2—2.5Е19 м−3.
Рис. 19. Сравнение характеристик плазмы в трех сериях экспериментов с глубоким вводом диафрагмы.
На верхних графиках показаны расстояния от кромки литиевой диафрагмы до последней замкнутой поверхности плазмы, определяемой рельсовой диафрагмой (30 см). В первой серии диафрагма из убранного состояния постепенно вводилась до радиуса 29 см на 1 см внутрь замкнутых магнитных поверхностей (Δr = –1 cм). Во второй она вводилась с 42 до 30 см, и в третьей серии с 34 до 30 см.
Как видно по графикам второго ряда, ввод диафрагмы, естественно, сопровождается резким ростом свечения линии LiII в диафрагменном сечении (в первой серии спектроскопия не работала). Однако изменения характеристик плазмы оказались различны в этих сериях. Видно, что во второй серии происходит постепенное снижение напряжения обхода, болометрических потерь и потоков углерода, т. е. происходит очищение плазмы в соответствии с накоплением лития, аналогичного предыдущим экспериментам с геттерированием и ввода диафрагмы в SOL-плазмы.
Однако в первой и третьей серии наблюдается сильный рост болометрических потерь и напряжения обхода, хотя потоки углерода уменьшаются. При этом радиационные потери максимальны в центральных областях шнура, что характерно для вольфрама. Причем в первой серии рост потерь особенно большой и в последнем импульсе серии есть указания, что в конце импульса формируется проваленный профиль электронной температуры.
На рис. 20 показана эволюция радиальных профилей болометрических потерь. Хорошо видно, что с 440 мс по 500 мс происходит рост потерь при сохранении радиального профиля, но с 500 мс рост периферии останавливается и начинается преимущественный рост потерь в центре до рекордной плотности мощности излучения 0.52 Вт/см3 при омическом вкладе 0.6 Вт/см3, который приводит к падению электронной температуры в центре, как показано на рис. 21.
Рис. 20. Эволюция во времени радиальных профилей болометрических потерь в импульсе 71474.
Рис. 21. Эволюция во времени центральной электронной температуры в импульсах 71473 и 71474.
К сожалению, в этом импульсе не измерялся профиль электронной температуры по ЭЦИ. Однако наличие проваленного профиля температуры подтверждается измерениями мягкого рентгеновского излучения в области 3 кэВ. На рис. 22 показаны изменения во времени радиального профиля мягкого рентгена. Видно, что на 735 мс формируется проваленный профиль рентгеновского излучения.
Рис. 22. Радиальные распределения свечения мягкого рентгеновского излучения для двух моментов времени импульса 71474.
Поскольку профиль плотности всегда остается пикированным, а концентрация примеси вольфрама максимальна в центре, то падение рентгеновского излучения однозначно свидетельствует о проваленном профиле температуры. Сильный рост радиационных потерь из центра при вводе литиевой диафрагмы в первой и третьей серии экспериментов может объясняться распылением вольфрамовой капиллярной структуры. Это может быть связано с плохим покрытием вольфрамового войлока литием в первой и третьей серии.
Дело в том, что первая серия была проведена сразу после установки диафрагмы в камеру токамака. При этом она, вероятно, была недостаточно хорошо подготовлена, и литий не пропитал всю поверхность вольфрама. Третья серия, наоборот, проходила в конце кампании, когда, практически, весь литий был израсходован, что подтверждает значительное уменьшение свечения линии LiII в этой серии. Это также приводило к плохой пропитке литием. В то же время вторая серия проводилась в середине кампании, когда диафрагма, с одной стороны, была хорошо подготовлена и, с другой стороны, лития было достаточно много.
Таким образом, можно сделать важный вывод, что капиллярная литиевая структура может хорошо работать при больших потоках тепла из плазмы, однако при этом должна быть обеспечена полная пропитка вольфрамовой структуры литием. Оценки потоков тепла проводились как на основе расчета, исходя из известных параметров плазмы на радиусе 30 см [15], так и из данных термопар.
На рис. 23 приведен типичный ход во времени нагрева термопары Т2, расположенной на обратной стороне литиевой диафрагмы, напротив места максимального взаимодействия с плазмой. Видно, что температура достигает максимума через 20 с после импульса и потом падает до стационарного значения до следующего импульса. Поскольку это время много больше длительности разряда, то за 20 с происходит усреднение температуры по диафрагме. Поэтому величина прироста температуры по термопаре Т2 должна быть пропорциональна полной энергии, переданной плазмой за разряд.
Рис. 23. Типичный ход во времени разряда нагрева термопары Т2, расположенной на обратной стороне литиевой диафрагмы.
На рис. 24 приведена зависимость максимального прироста нагрева термопары Т2 для серии ввода диафрагмы на 30 см. Видно, что нагрев описывается экспонентой с инкрементом в 2 см.
Рис. 24. Зависимость максимального прироста нагрева термопары Т2 от расстояния до последней замкнутой поверхности для серии ввода диафрагмы на 30 см. Квадраты — прирост температур. Линия — экспонента с инкрементом 2 см.
Однако продольные потоки тепла плазмы оценивались по формуле Q║ = 7Te0.5Csne, где Cs — инно-звуковая скорость. При этом они должны были расти с инкрементом порядка 0.86 см, так как спад плотности в исходной плазме идет с инкрементом 1.2 см, а температура — с 3 см [15].
Расхождение может объясняться тем, что сам ввод литиевой диафрагмы дополнительно уменьшает параметры плазмы в SOL. Также снижение притока тепла при введении диафрагмы может быть связано с ее охлаждением испарением лития, наблюдавшегося в экспериментах на FTU [24]. Кроме того, не исключено, что введение диафрагмы вызывает появление островной структуры магнитных поверхностей, наблюдавшихся в экспериментах на Т-11М [40].
Появление острова снижает тепловую нагрузку на диафрагму. Расчеты по приведенной формуле с параметрами невозмущенной плазмы дают продольный тепловой поток на радиусе 30 см 6 МВт/см2. Оценки из трехмерной модели в программе ANSYS при приросте температуры Т2 в 55 градусов дают максимальный поток 2.5 МВт/см2.
В других сериях максимальный прирост температуры по термопаре Т2 составлял 80 °C и, соответственно, продольный поток тепла на радиусе 30 см может быть оценен как 3.6 МВт/см2. В программе ANSYS использовалась полная трехмерная модель литиевой диафрагмы с молибденовой сеткой и вольфрамовым войлоком и реальное положение термопары Т2. В модель закладывался продольный поток энергии от плазмы, экспоненциально падающий с увеличением малого радиуса. Модель полностью описывала временное поведение термопары Т2 при расположении диафрагмы на радиусе 32 см. В модели не учитывалось уменьшение потока энергии из-за испарения лития, существенное при вводе в область замкнутых поверхностей. Однако она адекватно связывала интегральный приток тепла на диафрагму с показаниями термопары Т2.
Приведенные результаты демонстрируют первую особенность экспериментов с глубоким вводом. А именно, необходимость контроля хорошей пропитки капиллярной структуры литием, чтобы избежать поступления материала капиллярной структуры в разряд, что было реализовано во второй серии экспериментов. Такой контроль может быть сделан по коэффициенту отражения. Однако в этой серии экспериментов была обнаружена также вторая особенность работы с глубоким вводом.
Оказалось, что в условиях хорошей пропитки литием капиллярной структуры при вводе диафрагмы на радиус 30 см разряды не доходили до конца и заканчивались срывами. Анализ показал, что срывы возникают из-за массивных инжекций капель лития из диафрагмы. Наблюдение быстрой камерой показали, что инжекция капель происходит из края диафрагмы, причем при изменении направления тороидального магнитного поля инжекция капель происходит с противоположного края.
В третьей серии экспериментов проводилось измерение тока с диафрагмы на камеру. Было показано, что ток течет из плазмы на диафрагму и его величина составляла до 11А. На рис. 25 и 26 показаны снимки диафрагмы в моменты начала инжекции капель и через одну мс. при двух направлениях магнитного поля. На них также показана схема протекания тока и результирующая сила Ампера.
Рис. 25. Снимок диафрагмы в моменты начала эжекции капель и через 1 мс при направлении тороидального магнитного поля по часовой стрелке при наблюдении сверху.
Рис. 26. Снимок диафрагмы в моменты начала эжекции капель и через 1 мс при направлении тороидального магнитного поля против часовой стрелки при наблюдении сверху.
Хорошо видно, что капли вылетают с того края диафрагмы куда направлена сила Ампера [j*B], т. е. сила Ампера, действующая вдоль диафрагмы, создавала избыточное давления жидкого лития и приводила к выдавливанию лития на соответствующем краю диафрагмы, когда давление превышало капиллярные силы. Вылет капель происходил на стационарной части тока в завершающей стадии разряда с 600 по 900 мс.
Следует отметить, что в этих экспериментах температура диафрагмы между импульсами поддерживалась на уровне 335 °C. Прирост температуры после импульса по показаниям второй термопары составлял 69 °C. Расчеты по программе ANSYS показали, нагрев, обращенной к плазме кромки диафрагмы, в 2.85 раза больше, чем прирост температуры термопары Т2, т. е. температура диафрагмы в конце импульса могла достигать 530 °C.
Поскольку капиллярные силы падают с ростом температуры, то, вероятно, эжекция капель происходила при достижении температуры в ходе разряда, когда капиллярные силы становились меньше давления лития из-за силы Ампера. Оценки из работы [41] показывают, что сила поверхностного натяжения снижается при росте температуры с 330 до 530 °C всего на 8%. Поэтому можно предположить, что изначально процесс находился на грани устойчивости.
Это также подтверждает тот факт, что момент эжекции капель варьировал стохастически по времени от 600 до 900 мс от разряда к разряду. Для предотвращения эффекта выброса капель необходимо либо держать уровень температуры значительно ниже 530 °C, либо секционировать капиллярную структуру в направлении действия силы Ампера. Это можно сделать, разбивая длинную капиллярную структуру на отдельные независимые секции в направлении действия силы Ампера.
Поскольку прирост давления на краях увеличивается с ростом длины структуры, то это может снизить максимальное давление лития на концах и предотвратить выброс капель. Например, на токамаке FTU [33] литиевая диафрагма имела близкую к Т-10 структуру и полоидальные размеры. Однако она была разбита на три независимые секции, и вылет капель никогда не наблюдался, хотя длительность разряда и температура диафрагмы были выше, чем на Т-10.
Эксперименты с глубоким вводом диафрагмы также показали сильную зависимость распыления лития от температуры взаимодействующей с диафрагмой плазмы. Так в одной из серий экспериментов для контроля рециклинга плазмы проводилось отключение газонапуска на 850 мс разряда. На рис. 27 приведены результаты такого отключения при разных радиальных положениях диафрагмы.
Рис. 27. Изменение характеристик плазмы после отключения газонапуска при разных радиальных положениях диафрагмы.
Видно, что при введении диафрагмы вплоть до 31 см происходит быстрый распад плотности после отключения газонапуска, показанный на верхних графиках. Причем, по мере ввода свечение линии LiII не сильно растет при отключении газонапуска. Однако ситуация изменяется при вводе диафрагмы на 30 см в горячую область плазмы.
По правым графикам видно, что плотность при отключении газонапуска перестает резко спадать, и, одновременно, наблюдается сильный рост свечения линии LiII. Это позволяет заключить, что уменьшение притока рабочего газа при отключении газонапуска компенсируется сильным притоком лития. Рост распыления лития может быть связан с ростом температуры периферии плазмы при отключении клапана. Рост коэффициента распыления лития с температурой плазмы в диапазоне до 50 эВ отмечался в [30].
Этот вывод подтверждает эксперимент в разряде с включением и отключением газонапуска, приведенный на рис. 28. Видно, что свечения лития и вольфрама падают при включении газонапуска и растут при его отключении. Интересно, что свечение линий углерода и кислорода изменяются противоположным образом, и это может быть связано с тем, что их притоки зависят больше от плотности, чем температуры плазмы. Таким образом, распыление лития растет с температурой плазмы, также как и вольфрама.
Рис. 28. Изменения характеристик разряда при включении и выключении газонапуска.
С этим эффектом в значительной степени связан сильный рост концентрации лития в центральных областях плазмы при вводе диафрагмы в область замкнутых магнитных поверхностей. Так, в работе [15] детально проанализирован баланс лития в разряде с литиевой диафрагмой на радиусе 30 см. Показано, что в этих разрядах плазма практически полностью состоит из литиевых ионов. Причем экспериментальные данные полностью подтверждаются моделированием с коэффициентами, используемыми для диффузии других примесей, т. е. перенос лития не отличается от переноса других примесей. В этой работе резкий рост концентрации лития в разряде объясняется экспоненциальным ростом притока лития и уменьшением экранировки этих потоков основной рельсовой диафрагмой.
Для анализа причин резкого роста притока лития в экспериментах с глубоким вводом диафрагмы рассмотрим эволюцию формирования плотности, показанную на рис. 29. На нем приведены средние плотности, управляющее напряжение на газовом клапане и свечение линии LiII для нескольких импульсов второй серии, показанной на рис. 19.
Рис. 29. Эволюция во времени плотности, напряжения на клапане газонапуска и свечения линии LiII в серии разрядов с литиевой диафрагмой на радиусе 30 см.
Импульс 71661 проведен до ввода диафрагмы. Остальные импульсы проведены с введенной на радиус 30 см диафрагмой. Газовый клапан регулировался обратной связью для поддержания средней плотности на уровне 2⋅1019 м−3, что и реализуется в импульсе без введенной диафрагмы. При этом газовый клапан лишь немного приоткрыт.
В первом импульсе с введенной диафрагмой ход плотности и газонапуск вначале разряда совпадают, однако на 500 мс начинает расти приток лития и клапан закрывается, так как плотность растет выше программы. В импульсе 71663 плотность растет медленнее, несмотря на большее открытие клапана. И в импульсе 71666 клапан открывается полностью, но его производительность недостаточна, чтобы нарастить плотность. Это происходит из-за сильного падения рециклинга в результате накопления лития камере в ходе предыдущих импульсов.
Однако на 400 мс начинается приток лития, связанный с разогревом лития, и после этого плотность начинает нарастать уже из-за притока лития. Более того, на рис. 30 построена зависимость плотности в разряде 71666 от свечения линии лития. Видна практически линейная связь, начиная с плотности 0.5⋅1019 м−3, это показывает, что плотность полностью определяется притоком лития. Приведенные данные находятся в полном соответствии с утверждением о доминировании лития в плазме, сделанным в работе [15].
Рис. 30. Зависимость эволюции средней плотности от свечения линии LiII для разряда 71666.
Основной причиной является недостаточная производительность газонапуска. В итоге газонапуск не играет роли в балансе частиц из-за резко снизившегося рециклинга и периферия плазмы остается горячей, что приводит к сильному распылению лития в силу роста температуры падающей на диафрагму плазмы, как показано ранее.
Этот эффект дополнительно увеличивает и без того высокий уровень испарения, связанный с нагревом диафрагмы в разряде. То есть для очищения плазмы и уменьшения притоков лития необходимо, во-первых, снижать температуру периферии плазмы сильным газонапуском. Если сильный поток дейтерия не приведет к значительному уменьшению температуры периферии плазмы, то необходим дополнительный напуск примесей, например неона или аргона. Во-вторых, распыление лития экспоненциально растет с ростом его температуры. Поэтому необходимо максимально снижать температуру лития эффективной системой охлаждения.
В серии экспериментов с вводом диафрагмы, приведенном на правых графиках рис. 19, проводились измерения тока на диафрагму с помощью шунта. Результаты этих измерений показаны на нижнем графике рис. 31.
Рис. 31. Изменение во времени средней плотности, свечения линии LiII и тока на диафрагму в серии разрядов с литиевой диафрагмой на радиусе 30 см. Красная сплошная — разряд 72157, диафрагма на 32 см, начальная температура 300 °C; Черная пунктирная — разряд 72158, диафрагма на 30 см, начальная температура 300 °C; Зеленая штрих–пунктирная — разряд 72161, диафрагма на 30 см, начальная температура 300 °C; Фиолетовая короткий пунктир — разряд 72162, диафрагма на 30 см, начальная температура 376 °C; Синяя короткий штрих–пунктир — разряд 72165, диафрагма на 30 см, начальная температура 390 °С.
Видно, что после выхода тока на стационарное значение 250 кА на 400 мс разряда ток течет из плазмы на диафрагму, даже на радиусе 32 см. Это соответствует положительному потенциалу плазмы, взаимодействующей с диафрагмой. Ток растет с вводом диафрагмы с 32 см (импульс 72157) на 30 см (импульс 72158) а также с увеличением температуры диафрагмы перед разрядом с 300 °C (импульс 72158 и 72161) до 376 (импульс 72162) и 390 °C (импульс 72165) и достигает величины 11А.
Видно, что ток на диафрагму при начальной температуре 300 °C нарастает в ходе разряда, что коррелирует с нагревом диафрагмы. Это предположение подтверждается сильным увеличением тока при росте исходной температуры диафрагмы. Заметно, как сильный рост тока проходит только в начале стационара, но потом ток перестает расти и выходит на насыщение.
Подобным же образом происходит изменение свечения линии LiII, характеризующее потоки лития в разряде. Видно, при вводе диафрагмы свечение линии LiII увеличивается на 500 мс в 4 раза, но потом оно выходит на насыщение.
В следующем импульсе при той же начальной температуре насыщение достигается раньше на 500 мс и, наконец, при росте начальной температуры диафрагмы на 450 мс. Исключительно важно, что во всех случаях свечение линии LiII выходит на одинаковый максимальный уровень.
Насыщение потоков лития с диафрагмы также прямо подтверждают наблюдения свечения литиевой диафрагмы с помощью цветной камеры. Эти результаты приведены на рис. 32 и 33. На рис. 32 показан снимок свечения диафрагмы, наблюдаемой тангенциально высокоскоростной цветной камерой, в том числе две линии, по которым проводилось считывание данных. На рис. 33 данные сняты вдоль красной линии. Данные по черной линии аналогичны.
Рис. 32. Снимок свечения диафрагмы, наблюдаемой тангенциально высокоскоростной цветной камерой с показанными двумя линиями, по которым проводилось считывание данных.
Рис. 33. Интенсивности свечения в красной области, снятые для фото на рис. 32 вдоль красной линии. Красная сплошная — разряд 72157, диафрагма на 32 см, начальная температура 300 °C; черная пунктирная — разряд 72160, диафрагма на 30 см, начальная температура 300 °C; зеленая штрихпунктирная — разряд 72161, диафрагма на 30 см, начальная температура 300 °C; фиолетовая, короткий пунктир — разряд 72162, диафрагма на 30 см, начальная температура 376 °C; синяя короткий штрихпунктир — разряд 72165, диафрагма на 30 см, начальная температура 390 °C.
Считывание яркости проводилось в красной области (линия LiI 6105 Å) на 740 мс разряда, когда свечение линии LiII во всех разрядах выходит на насыщение. Свечение в разряде 72158 не приведено, так как экспозиция была слишком большая и сигналы были в насыщении. Видно, свечение в разрядах с введенной диафрагмой слабо меняется от разряда 72161 к 72162 и 72165, несмотря на увеличение исходной температуры.
Поскольку свечение линии LiI при постоянных потоках плазмы экспоненциально зависит от температуры (см. рис. 12), можно утверждать, что происходит эффект термостабилизации температуры диафрагмы испаряющимся литием. Этот эффект наблюдался также в экспериментах на токамаке FTU [33] при достижении температуры поверхности 450 °C.
В эксперименте на Т-10 величину максимальной температуры можно оценить из измерения прироста температуры термопары Т2. Так, при начальной температуре в импульсе 72158 298 °C, прирост составил 73 °C. Расчеты по программе ANSYS показали, прирост температуры на поверхности диафрагмы при отсутствии эффекта термостабилизации должен быть в 2.85 раз больше. Таким образом, верхняя оценка температуры термостабилизации составляет 506 °C. Эта оценка близка к полученной на FTU [33] 450 °C.
В предположении, что в импульсе 72158 максимальная температура составила 506 °C и потоки лития растут в соответствии с экспериментальными данными, приведенными в [31] и подтвержденными в эксперименте на Т-10 (см. рис. 12), можно восстановить эволюцию температуры в импульсах этой серии.
При восстановлении предполагалось, максимальная интенсивность свечения линии LiI в импульсе 72158 соответствует 506 °C. Временной ход температуры в остальных импульсах пересчитывался из интенсивности линии LiI в соответствии с графиком, приведенным на рис. 12. Оцененная таким образом температура показана на рис. 34.
Рис. 34. Рассчитанные изменения во времени температуры литиевой диафрагмы в серии импульсов с диафрагмой на радиусе 30 см. Красные кружки — разряд 72158, диафрагма на 30 см, начальная температура 300 °С; фиолетовые треугольники — разряд 72161, диафрагма на 30 см, начальная температура 300 °C; синие звездочки — разряд 72162, диафрагма на 30 см, начальная температура 376 °C; черные квадраты — разряд 72165, диафрагма на 30 см, начальная температура 390 °C.
Хорошо видно, что температура выходит на насыщение тем раньше, чем выше исходная температура нагрева перед разрядом. Следует отметить: оценка максимальной температуры в импульсе 72158 сделана в предположении отсутствия снижения потока тепла в этом импульсе из-за эффекта термостабилизации. Однако видно, что уже на 650 мс свечение лития выходит на максимальное значение, т. е. эффект имел место, и оцененная в 506 °C температура должна быть завышена, поэтому оценка границы начала сильного испарения лития на FTU в 450 °C представляется более реальной.
Эффект термостабилизации диафрагмы интенсивным испарением лития также проявляется в уменьшении прироста температуры термопары Т2 при повышении исходной температуры диафрагмы перед импульсом, показанный на рис. 35.
Рис. 35. Нагрев диафрагмы в разряде по термопаре Т2 при изменении исходной температуры.
Видно, что с увеличением исходной температуры с 298 до 390 °C нагрев диафрагмы падает в 1.5 раза. Таким образом, при соблюдении условия полной пропитки капиллярной структуры литием, при глубоком вводе диафрагмы получались разряды с полным доминированием лития в примесном составе. Это дало возможность оценить максимальные полные радиационные потери в случае чисто литиевой плазмы.
На рис. 36 приведены профили хордовых сигналов пироэлектрических болометров и полупроводниковых датчиков AXUV для разряда с доминированием лития. Видно, сигналы AXUV мало меняются по хордам, в то время как сигналы болометра скинированы.
Рис. 36. Профили хордовых сигналов пироэлектрических болометров и полупроводниковых датчиков AXUV для разряда 71673 с доминированием лития. Прямоугольники — данные пироэлектрического болометра, кружки — данные AXUV (увеличенные в 1,54 раза), звездочки–разность между ними.
Это различие объясняется тем, что их поверхность после долгой работы в Т-10 покрыта напыленным слоем и нечувствительна к мягкой области спектра, в которой идет основное излучение легких примесей плазмы и лития на периферии. Поэтому AXUV чувствительны к радиации тяжелых примесей и, частично, к легким примесям. AXUV также нечувствителен к потерям с быстрыми нейтралами перезарядки.
В то же время болометр чувствителен ко всему спектру. Поэтому разность сигналов двух диагностик может дать верхнюю границу радиационных потерь чисто литиевой плазмы. Однако при вычитании следует учесть, что напыленный слой также ослабляет чувствительность AXUV к потерям на тяжелых примесях. Это ослабление можно получить в разряде 71474 с накоплением вольфрама, показанным на рис. 20.
Найденный таким образом коэффициент составляет 0.65. Полученный таким образом разностный профиль потерь показан на рис. 36, при этом верхняя граница потерь на литии с учетом перезарядки составляет 56 кВт, что близко к сумме радиационных потерь лития и перезарядки PlossLi + Plosscharge exchange = 56—59 кВт, полученным в работе [15].
Таким же образом был проанализирован другой разряд из этой серии. В этом случае значение суммы радиационных потерь и перезарядки составили 55.1 кВт. С учетом того, что расчетные потери с нейтралами перезарядки [15] составляют 12—15 кВт, радиационные потери на литии даже в разрядах с его доминированием составляют 40—44 кВт, и это совпадает с расчетами в работе [15] и соответствуют только 20% от омического нагрева, а в случае чистых разрядов с малой концентрации лития будут пренебрежимо малы. При этом приток лития составлял 2.8⋅1020 с−1 [15].
Таким образом, “радиационная цена” одного входящего атома лития составляет 0.94 кэВ/атом. Эта величина может служить оценкой радиационных потерь при известном притоке лития в плазму. Близкая величина 0.8—1 кэВ/атом оценена экспериментально на Т-11М [42]. Там же дана теоретическая оценка 1—2 кэВ/атом.
4. ИЗМЕНЕНИЯ ХАРАКТЕРИСТИК РАЗРЯДА ПРИ РАБОТЕ С ЛИТИЕВОЙ ДИАФРАГМОЙ В SOL
Как показано ранее, длительная работа с литиевой диафрагмой в SOL приводит к очищению плазмы. Характеристики таких разрядов детально рассмотрены в [15]. При этом несколько снижается центральная электронная температура при небольшом росте периферийной. Однако энергетическое время, показанное на рис. 37, остается неизменным при малых плотностях из-за сильного падения омической мощности.
Рис. 37. Сравнение зависимостей от плотности времен удержания энергии при работе Т-10 с углеродной, вольфрамовой и литиевой диафрагмами. Кружки — данные с литиизацией, треугольники — предыдущие данные с графитовыми диафрагмами без лития, звездочка — с вольфрамовыми диафрагмами без лития.
В чистых условиях удается значительно продвинуться в область больших плотностей вплоть до 0.8 от предела Гринвальда. При этом энергетическое время значительно возрастает при работе в режимах Improved Ohmic Confinement (IOC).
На рис. 38 показано сравнение максимальных получаемых плотностей при работе с графитовыми, вольфрамовыми и литиевой диафрагмами для различных токов. Данные для графитовых диафрагм взяты из работы [43]. Они были получены в насыщенных режимах Saturated Ohmic Conefinement (SOC) при больших плотностях. Видно, что применение литиевой диафрагмы обеспечивает получение больших плотностей. При токе 150 кА удается достичь предела Гринвальда, но при больших токах этого не удается сделать. Следует отметить, что приведенные изменения характеристик разряда являются типичными для чистых разрядов и не определяются присутствием лития.
Рис. 38. Зависимости от тока разряда максимально достижимых плотностей в омических разрядах при работе Т-10 с диафрагмами: углеродной — синие треугольники, вольфрамовой — фиолетовые звездочки и литиевой — красные кружки.
5. ВЫВОДЫ И РЕКОМЕНДАЦИИ
Эксперименты с литием на Т-10 проведены как с графитовыми диафрагмами, так и с вольфрамовыми. В обоих случаях распыление лития в районе расположения диафрагм значительно снижает рециклинг дейтерия и уровень примесей в разрядах. Значительное увеличение рециклинга наблюдается через пять импульсов после распыления лития.
В последующих импульсах рециклинг повышается, но эффект литиизации сохраняется через 25 разрядов. Уменьшение уровня примесей в хороших вакуумных условиях (типично 2⋅10–5 Па) определяется накоплением лития в течение экспериментальной кампании и сохраняется через 150—300 импульсов после прекращения работы с литием.
В плохих вакуумных условиях при вакууме хуже 7⋅10–5 Па улучшение проходит в течение эксперимента, и эффект исчезает уже на следующий день после проведения подготовки камеры тейлоровскими разрядами. Таким образом, при работе с литием необходимо обеспечивать хороший уровень вакуума, так как в противном случае происходит отравление лития.
Проведенные эксперименты с очисткой лития в гелиевом тлеющим разряде не приводят к восстановлению сорбирующих свойств металла.
Ввод литиевого элемента с капиллярной пористой структурой при его плохом закреплении приводит к разбрызгиванию лития. Поэтому литиевый элемент необходимо хорошо закреплять.
После длительного нахождения литиевой диафрагмы на основе капиллярной структуры на атмосфере при ее постановке в установку необходимо проводить ее очищение от образовавшихся окислов. В экспериментах на Т-10 очистка проводилась путем введения капиллярной структуры в тейлоровский разряд с нагревом до 550 °C. При этом желательно контролировать восстановление полной пропитки литием всей поверхности диафрагмы, например по коэффициенту отражения.
Ввод литиевой диафрагмы в область SOL приводит к росту потоков лития и его накоплению в камере. В результате происходит значительное уменьшение уровня примесей и приближение эффективного заряда к единице. Эффект очищения плазмы от легких примесей связан, главным образом, с сорбирующими свойствами интегрально накопленного лития, аналогичный с первыми экспериментами по напылению лития.
Напыление лития до эксперимента снижает поступление вольфрама на несколько импульсов, однако не предотвращает его поступления в разряд на длительный период. При этом снижение уровня вольфрама в плазме связано с меньшей эффективностью распыления вольфрама чистой дейтериевой плазмой и уменьшением неоклассического эффекта и накопления в центре, но не образованием защитного литиевого слоя на поверхности вольфрама.
Несмотря на сильное влияние на примеси, концентрация лития в центральных областях остается меньше одного процента. Это объясняется сильной экранировкой потока лития основными диафрагмами. Таким образом, использование литиевой диафрагмы в области SOL эффективно для получения чистых разрядов с низким рециклингом.
Эксперименты с глубоким вводом в область замкнутых магнитных поверхностей показали надежную работу литиевой капиллярной структуры при продольных тепловых потоках плазмы до 3.6 МВт/м2.
Показано, что при условии хорошей пропитки литием ввод диафрагмы приводит к очищению плазмы от примесей в соответствии с накоплением депозита лития, аналогичным экспериментам с распылением лития и вводом диафрагмы в SOL плазмы.
Однако в ряде экспериментов наблюдался сильный рост болометрических потерь и напряжения обхода при уменьшении уровня легких примесей. При этом радиационные потери, характерные для вольфрама, максимальны в центральных областях шнура. Это приводит к формированию проваленного в центре профиля электронной температуры.
Такие явления происходят из-за распыления вольфрамовой основы капиллярной структуры при плохой пропитке ее литием. Таким образом, можно сделать важный вывод, капиллярная литиевая структура может эффективно работать при больших потоках тепла из плазмы, однако для предотвращения распыления вольфрама должна быть обеспечена полная пропитка капиллярной структуры литием. При этом желательно контролировать восстановление полной пропитки литием всей поверхности диафрагмы, например, по коэффициенту отражения.
В условиях хорошей пропитки литием капиллярной структуры при вводе диафрагмы в горячую область плазмы в отдельных экспериментах разряды заканчивались срывами из-за массивных инжекций капель лития из диафрагмы. Показано, что вылет капель связан с выдавливанием лития из-за сил Ампера при протекании тока на диафрагму из плазмы в магнитном поле. Для предотвращения эффекта выброса капель необходимо держать уровень температуры значительно ниже 450 °C, а также секционировать капиллярную структуру в направлении действия силы Ампера.
Эксперименты с глубоким вводом диафрагмы также показали сильную зависимость распыления лития от температуры взаимодействующей с диафрагмой плазмы, т. е., для уменьшения притока лития необходимо снижать температуру периферии плазмы сильным газонапуском. Если сильный поток дейтерия не приведет к значительному уменьшению температуры периферии плазмы, то необходим дополнительный напуск примесей, например, неона или аргона. Кроме того, поскольку испарение лития экспоненциально растет с ростом его температуры, необходимо максимально снижать температуру лития эффективной системой охлаждения.
Эксперименты показали, что при больших потоках тепла на литиевую диафрагму происходит эффект термостабилизации диафрагмы испаряющимся литием. Безусловно, температура возникновения этого эффекта должна зависеть от величины теплового потока. Оценки показали, на Т-10 он наблюдался при достижении температуры лития порядка 500 °C. Однако более реальна оценка в 450 °C, сделанная в экспериментах на токамаке FTU.
Введение диафрагмы до замкнутых магнитных поверхностей вызывало сильный нагрев и испарение лития. При этом максимальный уровень газонапуска оказывался недостаточным для поддержания плотности в разряде и охлаждения периферии из-за сильного падения рециклинга. В итоге возросшие потоки лития приводили к практически полностью литиевой плазме.
Полученные на Т-10 разряды с полным доминированием лития в примесном составе дали возможность оценить максимальные полные радиационные потери в случае чисто литиевой плазмы. Показано, что радиационные потери на литии даже в разрядах с его полным доминированием составляют 40—44 кВт, это соответствует только 20% от омического нагрева, а в случае чистых разрядов с малой концентрацией лития будут пренебрежимо малы. При этом “радиационная цена” одного входящего атома лития составляла 0.94 кэВ/атом.
Следует особо отметить: моделирование диффузии лития в работе [15] показало, что в шнуре плазмы она ничем не отличается от всех остальных ионов плазмы. При моделировании была получена величина радиационных потерь 44 кВт, что полностью совпадает с экспериментальной оценкой, т. е. расчеты подтвердили низкую излучательную способность лития.
В чистых режимах, полученных при работе с литием, несколько снижается центральная электронная температура при небольшом росте периферийной. Однако энергетическое время остается неизменным при малых плотностях из-за сильного падения омической мощности. Но при этом удается значительно продвинуться в область больших плотностей вплоть до 0.8 от предела Гринвальда. Следует отметить, приведенные изменения характеристик разряда являются типичными для чистых разрядов, и не определяются присутствием лития.
Проведенные на Т-10 эксперименты с литиевыми капиллярно-пористыми структурами показали их высокую эффективность в получении чистой плазмы с низким рециклингом при размещении в SOL плазмы.
В работе [29] была предложена возможная схема использования таких структур в реакторных токамаках, основанная на концепции замкнутого контура циркуляции литиевых потоков [16]. В этой схеме одна структура, глубоко введенная в SOL, эмитирует литий в плазму, тогда как другая, расположенная в периферийной области SOL, используется как коллектор потоков лития. Такая схема должна быть эффективна в получении плазмы с низким содержанием примесей и лития. Однако результаты экспериментов на Т-10 показали, хотя в ней и возможно снизить приток вольфрама с диверторных пластин, но полностью его устранить нельзя. Поэтому для полного устранения притока тяжелых примесей необходимо использовать литиевые капиллярно-пористые структуры непосредственно в качестве диверторных пластин. Для этого должны быть разработаны литиевые капиллярные структуры с эффективным охлаждением на уровни мощности порядка 10 МВт/м2.
Необходимо также экспериментально показать, что потоки лития в диверторной конфигурации не приводят к высокой концентрации лития в плазме, в отличие от лимитерной. В настоящее время разработаны и должны быть испытаны на стендах литиевые капиллярно-пористые структуры с молибденовыми сетками для диверторных пластин на потоки тепла до 5 МВт/м2. Планируется их модернизация с вольфрамовым войлоком на большие потоки тепла. Разработанные структуры предполагается использовать в экспериментах на диверторном токамаке Т-15МД.
Авторы выражают благодарность техническому персоналу установки “Токамак-10” за обеспечение надежной работы установки, монтаж литиевых элементов на установке и обеспечение их вакуумными и электрическими системами. Проведение экспериментов было бы невозможно без организации разрядов группой ведущих экспериментаторов. В обработке экспериментов авторы использовали данные диагностического комплекса Т-10. Особая благодарность И. А. Земцову за предоставление данных видеокамеры о свечении диафрагмы.
About the authors
V. A. Vershkov
National Research Center “Kurchatov Institute”
Author for correspondence.
Email: V.Vershkov@fc.iterru.ru
Russian Federation, Moscow
D. V. Sarychev
National Research Center “Kurchatov Institute”
Email: V.Vershkov@fc.iterru.ru
Russian Federation, Moscow
D. A. Shelukhin
National Research Center “Kurchatov Institute”
Email: V.Vershkov@fc.iterru.ru
Russian Federation, Moscow
A. R. Nemets
National Research Center “Kurchatov Institute”
Email: V.Vershkov@fc.iterru.ru
Russian Federation, Moscow
S. V. Mirnov
Troitsk Institute for Innovation and Fusion Research
Email: V.Vershkov@fc.iterru.ru
Russian Federation, Moscow
I. E. Lyublinski
Dollezhal Research and Development Institute of Power Engineering
Email: V.Vershkov@fc.iterru.ru
Russian Federation, Moscow
A. V. Vertkov
Dollezhal Research and Development Institute of Power Engineering
Email: V.Vershkov@fc.iterru.ru
Russian Federation, Moscow
M. Yu. Zharkov
Dollezhal Research and Development Institute of Power Engineering
Email: V.Vershkov@fc.iterru.ru
Russian Federation, Moscow
References
- Mirnov S. V. // Nucl. Fusion. 2019. V. 59. Р. 015001.
- Kikuchi M., Takizuka T., Medvedev S., Ando T., Chen D., Li J. X., Austin M., Sauter O., Villard L., Merle A., Fontana M., Kishimoto Y., and Imadera K. // Nucl. Fusion. 2019. V. 59. P. 056017. https://doi.org/10.1088/1741-4326/ab076d
- Kuteev B. V., Sergeev V. Yu. // Nucl. Fusion. 2020. V. 60. P. 046017. https://doi.org/10.1088/1741-4326/ab713e
- Winter J. // Journal of Nuclear Materials. 1987. V. 145—147. 2. P. 131.
- Samm U., Bogen P., Esser G., Hey J. D., Hintz E., Huber A., K.nen L., Lie Y. T., Mertens Ph., Philipps V., Pospieszcyk A., Rusbüldt D., Seggern J. V., Schorn R. P., Schweer B., et al // Journal of Nuclear Materials. 1995. V. 220—222. 4. P. 25.
- Waelbroeck F., Winter J., Esser G., Giesen B., Konen L., Philipps V., Samm U., Schluter J., Weinhold P., the TEXTOR Team, and Banno T. // Plasma Physics and Controlled Fusion. 1989. V. 31. 2. P. 185.
- Badger B., Abdou M. A., Boom R. W., Cheng E. T., et al. // Preprint Fusion Technology Institute, Wisconsin, USA. UWFDM-68. 1973. November 20.
- Mirnov S. V., Demianenko V. N., Muraviev E. V. // J. Nucl. Mater. 1992. V. 196—198. P. 45.
- Majeski R. Doerner, Gray T., Kaita R., Maingi R., Mansfield D. // Phys. Rev. Lett. 2006. 97 075002.
- Evtikhin V.A, Vertkov A. V., Lyublinski I. E., Khripunov B. I., Petrov V. B., Mirnov S. V. // J. Nucl. Mater. 2002. V. 307—311. P. 1664.
- Mirnov S. V., Azizov E. A., Evtikhin V. A., Lazarev V. B., Lyublinski I. E., Vertkov A. V., Prokhorov D. Y. // Plasma Phys. Control. Fusion. 2006. V. 48. P. 821.
- Apicella M. L., Apruzzese G., Mazzitelli G., Ridolfini V.P, Alekseyev A.G, Lazarev V.B, Mirnov S. V., Zagórski R. // Plasma Phys. Control. Fusion. 2012. V. 54. P. 035001.
- Tabares F, Oyarzabal E., Martin-Rojo A.B., Tafalla D., de Castro A., Soleto A. // J. Nucl. Mater. 2015. V. 463. P. 1142.
- Pucella G., Alessi E., Angelini B., Apicella M. L., Apruzzese G., Artaserse G., Baiocchi B., Belli F., Bin W., Bombarda F., Boncagni L., Botrugno A., Briguglio S., Bruschi A., Buratti P., et al // Nucl. Fusion. 2019. V. 59. P. 112015.
- Krupin V. A., Klyuchnikov L.A, Nurgaliev M. R., Nemets A. R., Zemtsov I. A., Dnestrovskiy A. Yu. // Plasma Phys. Control. Fusion. 2020. V. 62. P. 025019.
- Mirnov S. V., Azizov E. A., Alekseev A. G., Vertkov A. V., Lazarev V. B., Lyublinski I. E., Khayrutdinov R. R., Vershkov V. A. // Nuclear Fusion. 2011. V. 51. P. 073044.
- Mirnov S. V., Azizov E. A., Evtikhin V. A., Lazarev V. B., Lyubliski I. E., Vertkov A. V., Prokhorov D. Yu. // Plasma Phys. Control. Fus. 2006. V. 48. P. 823.
- Mazzitelli G., et al. // Proceedings of the 21-st IAEA Conference, Chengdy (2006) IAEA-CN-149, CD-ROM file, EX/P4-16.
- Mirnov S. V., Lazarev V. B. // J. Nucl. Mat. 2011. V. 415. P. S417.
- Vlases G., Gruber O., Kaufmann M., Bochl K., Haas G., Jilge W., Lang R. S., Mertens V., Sandmann W., and Asdex Team // Nucl. Fusion. 1987. V. 27. P. 351.
- Vershkov V. A., Shelukhin D. A., Subbotin G. F., Dnestrovskij Yu.N., Danilov A. V., et al. // Nucl. Fusion. 2015. V. 55.
- Кулешин Э. О., Вуколов Д. К., Вершков В. А., Медведев А. А. // ВАНТ. Сер. Термоядерный синтез. 2012. Вып. 4. C. 86.
- Земцов И. А., Крупин В. А., Нургалиев М. Р., Ключников Л. А., Немец А. Р. и др. // XLVII Междунар. (Звенигородская) конф. по физике плазмы и УТС. Март 2020 г.
- Apicella M. L., Lazarev V., Lyublinski I., Mazzitelli G., Mirnov S., Vertkov A. // J. Nucl. Mater. 2009. V. 386. P. 821.
- Bell M. G., Kugel H.W., Kaita R., Zakharov L.E., Shneider H., LeBlanc B. P., Mansfield D., Bell R. E., Maingi R., Ding S., Kaye S. M., Paul S. F., Gerhardt S. P., Canik J. M., Hosea J. C., et al // Plasma Physics and Controlled Fusion. 2009. V. 51. P. 124054.
- Sun Z., Hu J. S., Zuo G. Z., Ren J., Cao B., Li J. G., Mansfield D. K., and the EAST Team // Fusion Engineering and Design. 2014. V. 89. P. 2886.
- Puiatti M. E., Spizzo G., Auriemma F., Carraro L., Cavazzana R., De Masi G., Gobbin M., Innocente P., Predebon I., Scarin P., Agostini M., Canton A., Dal Bello S., Fassina A., Franz P., et al., // Nuclear Fusion. 2013. V. 53. P. 073001.
- Lyublinski I. E., Vertkov A. V., Zharkov M. Yu., Mirnov S. V., Vershkov V. A. // IOP Conf. Series: Materials Science and Engineering. 2016. V. 130. P. 012019.
- Vershkov V. A., Sarychev D. V., Notkin G. E., Shelukhin D. A., Buldakov M. A. et al. // Nucl. Fusion. 2017. V. 57. P. 102017. https://doi.org/10.1088/1741-4326/aa6b0e
- Allain J. P., Whyte D. G., and Brooks J. N. // Nucl. Fusion. 2004. V. 44. P. 655.
- Lyublinski I. E., Vertkov A. V., Evtikhin V. A. // Plasma Devices and Operations. 2009. V. 17. № 1. P. 42. https://doi.org/10.1080/10519990802703277
- Krupin V. A., Nurgaliev M. R., Klyuchnikov L. A., Nemets A. R. et al // Nucl. Fusion. 2017. V. 57. P. 066041.
- Mazzitelli G., Apicella M. L., Frigione D., Maddaluno G., Marinucci M., Mazzotta C., Pericoli Ridolfini V., Romanelli M., Szepesi G., Tudisco O., and FTU Team // Nucl. Fusion. 2011. V. 51. P. 073006, https://doi.org/10.1088/0029-5515/51/7/073006
- Zuo G. Z., Li C. L., Maingi R., Meng X. C., Sun Z., Xu W., Qian Y. Z., Huang M., Tang Z. L., Zhang D. H., Zhang L., Chen Y. J., Mao S. T., Wang Y. M., Zhao H. L., et al // Physics of Plasmas. 2020. V. 27. P. 052506.
- Zuo G. Z., Ren J., Hu J. S., Sun Z., Yang Q. X., Li J. G., Zakharov L. E., Ruzic D. N., and the HT-7 Team // Fusion Engineering and Design. 2014. V. 89. P. 2845.
- Osborne T. H., Jackson G. L., Yan Z., Maingi R., Mansfield D.K., Grierson B. A., Chrobak C. P., McLean A. G., Allen S. L., Battaglia D. J., Briesemeister A. R., Fenstermacher M. E., McKee G. R., Snyder P. B., and the DIII-D Team // Nucl. Fusion. 2015. V. 55. P. 063018.
- Skokov V. G., Sergeev V. Yu., Bykov A. S., Krylov S. V., Kuteev B. V., Timokhin V. M., and Wagner F. // Fusion Engineering and Design. 2014. V. 89. P. 2816.
- Mansfield D. K., Roquemore A. L., Schneider H., Timberlake J., Kugel H., Bell M. G., and the NSTX Research Team, Fusion // Fusion Engineering and Design. 2010. V. 85. P. 890.
- Sun Z., Maingia R., Hu J. S., Xu W., Zuo G. Z., Yu Y. W., Wu C. R., Huang M., Meng X. C., Zhang L., Wang L., Mao S. T., Ding F., Mansfield D. K., Canikd J., Lunsford R., Bortolon A., Gong X. Z. EAST Team // Nuclear Materials and Energy. 2019. V. 19. P. 124.
- Васина Я. А., Джурик А. С., Пришвицын А. С., Мирнов С. В., Лазарев В. Б. // ВАНТ. Сер. Термоядерный синтез. 2020. Т. 43. Вып. 3. С. 47.
- Люблинский И. Е., Вертков А. В., Евтихин В. А. // ВАНТ. Сер. Термоядерный синтез. 2007. Вып. 4. C. 13.
- Mirnov S. V., Belov A. M., Djigailo N. T., Kostina A. N., Lazarev V. B., Lyublinski I. E., Nesterenko V. M., and Vertkov A. V. // J. Nucl. Mater. 2013. V. 438, Supplement. V. 7. P. S224. https://doi.org/10.1016/J.JNUCMAT.2013.01.032
- Esipchuk Yu.V., Kirneva N. A., Borshagovskij A. A., Chistyakov V. V. , Denisov V. Ph., Dremin M. M., Gorbunov E. P., Grashin S. A., Kalupin D. V., Khimchenko L. N., Khramenkov A. V., Kirnev G. S., Krilov S. V., Krupin V. A., Myalton T. B., et al. // Plasma Physics and Controlled Fusion. 2003. V. 45. P. 793.
Supplementary files








































