Ignition of Self-Sustained Е×В Discharge; Ion Contribution to Understanding the Process
- Authors: Strokin N.A.1, Rigin A.V.1
-
Affiliations:
- Irkutsk National Research Technical University
- Issue: Vol 50, No 1 (2024)
- Pages: 134-143
- Section: LOW TEMPERATURE PLASMA
- URL: https://bakhtiniada.ru/0367-2921/article/view/261006
- DOI: https://doi.org/10.31857/S0367292124010126
- EDN: https://elibrary.ru/SJDNTZ
- ID: 261006
Cite item
Full Text
Abstract
We determined critical values for the ignition voltage and magnetic induction for a self-sustained plasma discharge in crossed electric and magnetic fields, both at inert gases and in their mixtures. As parameters that enabled to visualize igniting an E×B discharge, we used the ion current and the induction current derivative, and provided the temporal characteristics for the process. We found a double structure of the ion current (discharge current) during the ignition. The working media initial state for the discharge current first jump is a neutral gas, whereas the working media initial state for the second jump is plasma. A peak of ions originated within the near-cathode area is detected on the energy distributions of the ions obtained during the ignition. Also detected is a wide ion energy spectrum related to the discharge gap. We show a various discharge ignition character for Penning pairs, when the gas changes its role (main or admixture) in the mixture. The character is determined by features of forming the electric potential distribution in the near-cathode layer.
Full Text
ВВЕДЕНИЕ
Электрический разряд в газах, когда внешнего магнитного поля нет, детально исследован [1–3]. На его вольтамперной характеристике (ВАХ) выделяют токи, вызванные естественной радиацией, — область, названная темным разрядом. Далее, с увеличением тока, — различные режимы тлеющего разряда и дуговой разряд.
В настоящее время более широкое применение находят плазменные источники плазмы, ионов и электронов, в которых частицы и потоки плазмы извлекаются из разряда, в котором присутствуют скрещенные электрическое (Е) и магнитное (В) поля. Потоки плазмы, ионов и электронов используются как рабочие тела в технологических процессах нано- и микроэлектроники [4–7]; плазменные двигатели применяют при коррекции орбит космических аппаратов [8]; низкотемпературная газоразрядная плазма стала инструментом в медицине [9–11]. Разработаны различные магнетронные схемы, плазменные ускорители с анодным слоем (УАС; в английской литературе TAL — Thruster with Anode Layer) и стационарные плазменные двигатели (СПД).
В статьях [9–11] описаны результаты экспериментов по зажиганию самостоятельного E×B-разряда в аргоне, ксеноне и азоте, в которых в ионизации рабочего газа участвуют как первичные электроны, испускаемые катодом, так и вторичные, образующиеся в межэлектродной плазме. При этом измерялся ток разряда как индикатор зажигания. Получены зависимости Uig = f(Pd) (Uig — напряжение зажигания, Р — давление плазмообразующего газа, d — расстояние между электродами), которые похожи на классические кривые Пашена, но при совпадающих значениях параметра Pd они лежат ниже кривых, измеренных без магнитного поля; напряжение зажигания в присутствии магнитного поля становится меньше.
Для объяснения зависимостей параметров процесса зажигания разряда при наложении внешнего магнитного поля, начиная с вероятностных соображений Таунсенда [12], констатировалось, что число столкновений нейтральных частиц с электронами с ионизацией возрастает из-за увеличения длины пути электрона по спирали в магнитном поле, когда средняя длина свободного пробега уменьшается с l до l/(1 + ω2HeT2) где ωHе — электронная циклотронная частота, Т — среднее время между столкновениями [13].
Роль магнитного поля в E×B-разряде рассматривалась в рамках концепции роста эквивалентного давления, приводящего к уменьшению величины Uig. Однако удовлетворительного количественного согласия с результатами экспериментов теория не обеспечивала. Сближение данных получили при учете изменений обобщенного коэффициента ионизации в зависимости от напряженности магнитного поля [14]. Так, по мере увеличения магнитного поля (при так называемом магнитном зажигании) все большее значение приобретает захват вторично-эмиссионных электронов катодом. Валле [15] классифицировал области зажигания разряда в Е×В-полях в соответствии с участками траекторий движения электронов, на которых набирается достаточная для ионизации нейтралов энергия. Был получен большой набор кривых “обычного” Uig = f(Pd) и магнитного Uig = f(Вd) зажигания, где В — индукция магнитного поля. По мере увеличения магнитного поля происходил переход от обычного зажигания с высоким Uig к магнитному зажиганию при значительно меньших напряжениях. То, что основным параметром, влияющим на процесс пробоя, является отношение B/n, где n — плотность нейтралов, подчеркивалось в обзоре [16] при введении концепции приведенного электрического поля (Е/n), в которой учитывался угол дрейфа электронов по отношению к вектору напряженности электрического поля Е.
Расчетным путем, учитывая конечное время релаксации энергии ускоренных в катодном слое электронов, найдено существование критических значений индукции магнитного поля и давления, ниже которых становится невозможным существование самостоятельного E×B-разряда [17].
О результатах работы, в которой исследовались временны́е характеристики процесса зажигания в УАС с внешним плазменным источником электронов (несамостоятельный разряд), сообщалось в статье [18]. Разряд возникает локально вблизи катода через 7 мкс после включения напряжения на разрядном промежутке. Выход на стационарный режим длится около 50 мкс. Пиковая плотность тока разряда регистрировалась в течение первых 25 мкс.
На одну из особенностей зажигания тлеющего разряда без магнитного поля обратил внимание Пеннинг [19]. Во время исследования процесса зажигания разряда в неоне им было показано, что напряжение зажигания значительно снижалось за счет добавки в неон малой доли примеси (от 0,0001 до 0,1%) ртути (Hg), криптона (Kr), аргона (Ar), водорода (H2) или азота (N2), которые вместе с неоном называют теперь пеннинговскими парами. Потенциалы ионизации φi партнеров неона равны соответственно 10.4, 13.3, 15.8, 15.4 и 15.5 эВ — более низкие, чем потенциал возбуждения неона (φmet.Ne ≈ 16.7 эВ) в метастабильное долгоживущее состояние.
Такой же эффект наблюдался, если к аргону (φmet.Ar ≈ 11.6 эВ) напускали I2, Hg, Xe или Kr (φi соответственно 10.45, 10.4, 12.1, 14 эВ). Зависимости напряжения зажигания от nadm (концентрации примеси) Uig = f(nadm) — это кривые, имеющие точку минимума по Uig [20, 21]. При концентрации примеси nadm ≥ 0.1npri, где npri — концентрация основного газа, эффект уменьшения Uig не наблюдался.
Для создания плазменных источников, в которых частицы и потоки плазмы извлекаются из области E×B-разряда, необходимо знать условия зажигания разряда. Во всех ранних экспериментах под зажиганием понимался одностадийный процесс, когда появлялся ток самостоятельного или несамостоятельного аномального тлеющего E×B-разряда. Не регистрировались разряды, предшествующие аномальному тлеющему E×B-разряду, также как и различные режимы самостоятельного аномального тлеющего E×B-разряда по аналогии с известными типами разрядов без магнитного поля (стационарные темный, коронный, нормальный и аномальный тлеющие разряды).
Ранние исследования проводились, когда в качестве плазмообразующего газа использовался “моногаз”, — однокомпонентная газовая плазмообразующая среда. В то же время есть плазменные устройства, например плазменные масс-сепараторы, плазменные лазеры, в которых рабочий газ — это многокомпонентная смесь. Особенности зажигания E×B-разряда в многокомпонентной среде также не определены.
Поэтому работа, результаты которой изложены в предлагаемой статье, была посвящена определению связи между значениями электрического напряжения, магнитной индукции и давления рабочей газовой среды в межэлектродном промежутке УАС при зажигании самостоятельного E×B-разряда как в однокомпонентных инертных газах, так и в их смесях, а также поиску возможных новых режимов реализации разрядов и особенностей их зажигания.
ЗАЖИГАНИЕ Е×В-РАЗРЯДА В ОДНОКОМПОНЕНТНОЙ ГАЗОВОЙ СРЕДЕ
Источник многокомпонентного потока ионов, который использовался в данной работе, это УАС — ускоритель с анодным слоем (рис. 1). Он предназначен для работы в составе плазмооптического масс-сепаратора с фокусирующим электрическим полем и разделением многокомпонентного потока ионов на три части (ПОМС-E-3) [22].
Рис. 1. (а) — Схема разрядного промежутка УАС; (б) — пример распределения радиальной компоненты индукции магнитного поля вдоль разрядного промежутка; d = 6 мм; D = 10 мм; Н ≈ 14 мм — область эмиссии электронов с поверхности катода
Основная стадия масс-сепарации в ПОМС-E-3 — это сообщение ионам в поперечном (радиальном) к направлению движения ионов магнитном поле максимально возможной азимутальной скорости, что требует магнитных полей со значительной индукцией: Вaz ≤ Тл. Кроме того, для оптимизации работы ПОМС-Е-3 энергию ионов многокомпонентного потока ионов нужно минимизировать. Поэтому первой задачей, решаемой в нашей работе, стало нахождение условий зажигания Е×В-разряда при Вaz ~ 1 Тл и наименьших значениях разрядного напряжения в УАС.
Зажигание Е×В-разряда — плазменный процесс, начинающийся с пробоя и заканчивающийся выходом на стационарный аномальный тлеющий Е×В-разряд. Процесс характеризуется кривыми зажигания: классической по Пашену Uig = f(Pd) и специфичными для Е×В-разряда, в которые входит Вig — индукция зажигания, Uig = f(Big), Вig = f(Uig) и Вig = f(Pd).
Для перечисленных во введении устройств с E×B-разрядом характерно их использование при давлениях рабочего плазмообразующего газа Р ≤ 10–4 Торр, поэтому можно уточнить, имея в виду классические кривые Пашена, что для E×B-разряда зависимость Вig = f(Uig) и другие — это левые ветви кривых зажигания. В качестве Big в экспериментах принимались значения радиальной компоненты магнитной индукции в месте рождения электронов — на катоде. Они рассчитывались по измеренному в момент пробоя току в цепи катушки, создающей магнитное поле в УАС.
Напряжение зажигания Uig — это значение напряжения на аноде УАС в момент пробоя. Одним из источников информации о пробое был индукционный датчик — пояс Роговского без внешней интегрирующей RC-цепочки, охватывающий линию питания анод–катод УАС. Параметры датчика: внутренне сопротивление r = 0.14 Ом, индуктивность L = 3.049 мГн, ёмкость С = 8.78 мкФ; нагрузочное сопротивление R = 10 кОм включено параллельно L пояса.
Токовый сигнал с пояса Роговского, пропорциональный производной по времени тока в плазме, в режиме одиночного запуска регистрировали с помощью осциллографа TDS2024 на развертках от 5 мкс/дел до 1 мс/дел.
Второй вариант индикатора зажигания, ранее для этой цели не использовавшийся, — это датчик ионного тока, формируемого ионами, покидающими УАС через кольцевое отверстие в катоде. В качестве ионного датчика использовался коллектор энергоанализатора с задерживающим потенциалом (ЭЗП; RFA — Retarding Field Analyzer в английской литературе), работающего в комплексе с системой управления и регистрации [23–25] и установленный на выходе из катода УАС.
Фотографии типичных сигналов с экрана осциллографа показаны на рис. 2. Стрелкой отмечен момент зажигания разряда. Сигнал с пояса Роговского позволяет точно определить момент зажигания. По сигналу с датчика ионного тока определялась полная длительность процесса зажигания τ ~ 0.5–2.5 мс, зависящая от режима зажигания разряда.
Рис. 2. Неон, скорость напуска q = 120 sccm, Uig = 840 В, Big = 0.24 Тл; кривая 1 — сигнал с пояса Роговского; 2 — сигнал с ионного датчика; масштаб по оси времени M = 250 мкс/дел
Для аномального тлеющего разряда в УАС, на котором проведены описываемые эксперименты, кривые зажигания — наиболее интересные для E×B-разряда зависимости Вig = f(Uig) — показаны на рис. 3а.
Рис. 3. Левые ветви кривых зажигания E×B-разряда в УАС при Uig ≈ 840 В: (а) – 1 — Kr (q = 5 sccm), 2 — Ar (q = 10 sccm), 3 — Ne (q = 60 sccm), 4 — Ne (q = 50 sccm); (б) – 1 — Kr, 2 — Ar, 3 – Ne. Здесь и далее на всех рисунках параметр q выражен в единицах sccm (стандартные кубические сантиметры в минуту при плотности, определяемой стандартными условиями для температуры и давления)
Диапазон по Uig снизу ограничен значениями, меньше которых зажигания нет; сверху — развитием в УАС дугового разряда. Магнитное поле явно способствует зажиганию при малых Uig; с ростом Uig необходимая для пробоя величина Вig, особенно для легко ионизируемых газов, быстро спадает. Для аргона (кривая 2 на рис. 3а) основной спад Big примерно в 1.6 раза проходит при росте Uig от 700 В до 850 В.
Параметром, эквивалентным давлению, в данной работе является принятая для плазменных ускорителей величина — скорость напуска газа q. Диапазон изменения скорости напуска для разных рабочих плазмообразующих газов разный. Для криптона, например, q(Kr) ≤ 12 sccm; для неона q(Ne) ≤ 120 sccm.
Верхний предел q для всех газовых смесей qmax соответствует давлению газа P ≈ (2–2.5) ⋅ 10–4 Торр; при q = qmax происходит электрический пробой разрядного промежутка. Рост скорости напуска газов ведет к уменьшению Big и Uig (ср. на рис. 3а кривые 3 и 4 для Ne). На рис. 3б показаны зависимости Вig = f(q).
Рост скорости напуска (давления) ожидаемо уменьшает необходимую для зажигания разряда индукцию магнитного поля.
Для каждого из газов, при изменении как Uig, так и q получены свои критические значения Вig.cr, ниже которых при заданных рабочих величинах Uig и q зажигание разряда не происходит. При наибольших для каждого из рабочих газов значений Uig и q зажигание разряда практически не зависит от магнитного поля.
ЗАЖИГАНИЕ Е×В-РАЗРЯДА НА СМЕСЯХ ГАЗОВ
Эффективная работа плазменного масс-сепаратора — это и генерация максимально возможной плотности ионов ni в многокомпонентном потоке. Одним из способов увеличения ni относительно плотности, получаемой в процессе столкновений электронов и атомов с ионизацией, является ионизация при реакциях обмена энергией между атомами, находящимися в основном и метастабильном возбужденном состояниях, таких как
Nemet + Ar → Ne + Ar+ + e + ∆W (∆W — избыточная энергия).
Время жизни некоторых ионов в метастабильном состоянии много больше времен пролета ионов рабочего пространства УАС. Поэтому второй задачей нашей работы стало исследование особенностей пеннинговской ионизации в Е×В-разряде УАС. В нашем случае пеннинговскими парами [19–21, 26] являются смеси неона с аргоном или криптоном, в которых потенциал возбуждения неона в метастабильное состояние φmet.Ne ≈ 16.7 эВ превышает потенциалы ионизации аргона (15.68 эВ) и криптона (14 эВ).
Естественное, по Пеннингу, поведение кривой зажигания Big = f(q) — уменьшение необходимого для зажигания разряда вклада энергии со стороны магнитного поля — обнаружено при добавке к неону криптона или аргона как примеси; значения Big монотонно спадают с ростом qAr и qKr (рис. 4). Здесь qNe = 60 sccm, поэтому напуск Kr или Ar с q ≈ 10 sccm дает незначительное относительное увеличение полного давления.
Рис. 4. Левые ветви кривых зажигания: 1 — Ne (q = 60 sccm) плюс Kr, скорость напуска которого изменялась (q — var); 2 — Ne (q = 60 sccm) + Ar (q — var); Uig ≈ 825 В
На рис. 5a приведены кривые Вig = f (Uig) для двух- и трехкомпонентных смесей аргона, криптона и неона. При заданных скоростях напуска газов наименьшие критические магнитные поля и наиболее широкий рабочий диапазон обнаружены для трехкомпонентной смеси плазмообразующих газов. Увеличение скоростей напуска сдвигает графики вниз, не изменяя характера зависимости Вig = f (Uig).
Рис. 5. (а) — набор левых ветвей кривых зажигания для смесей аргона, криптона и неона: кривая 1 — Kr (q = 3 sccm) + Ne (q = 30 sccm); 2 — Ar (q = 5 sccm) + Ne (q = 30 sccm); 3 — Kr (q = 3 sccm) + Ar (q = 3 sccm) + Ne (q = 40 sccm); (б) — зависимости Big = f(q): 1 — Kr (q = 7 sccm) + Ne (q — var); 2 — Ar (q = 10 sccm) + Ne (q — var); Uig ≈ 830 В
Однако если неон был добавкой к аргону или криптону, индукция зажигания возрастала, пока скорости напуска неона не достигали величины qNe ~ 45 sccm, а далее — монотонно спадала, достигая при qNe ~ 90 sccm значений, примерно соответствующих qNe ~ 0 (рис. 5б).
Обнаружено: когда рабочая среда — это смесь газов, поведение индукции зажигания при изменении скорости напуска существенно другое по сравнению с Вig = f(qig) для моногазовых рабочих сред (см. рис. 3б).
ДВОЙНАЯ СТРУКТУРА ТОКА ПРИ ЗАЖИГАНИИ РАЗРЯДА
На рис. 2 приведен пример сигнала с коллектора ионов ЭЗП (кривая 2), когда все сетки энергоанализатора имеют нулевой потенциал — нет воздействия электрических полей на поток частиц, проникающих в ЭЗП. Временное разрешение ∆t ≈ 10–7 c здесь определяется осциллографом; по сигналу есть возможность определить полное время зажигания разряда.
Когда ЭЗП работал в своем основном режиме – энергоанализатора с рабочими потенциалами сеток – было замечено, что ионный ток с коллектора вблизи момента зажигания разряда имеет двойную структуру, поэтому нами проведен эксперимент по более подробному исследованию временной динамики ионного сигнала. Её в течение времени до 100 с есть возможность наблюдать, когда ЭЗП работает совместно с системой регистрации [24].
В режиме измерения энергетических спектров ионов на анализирующую сетку ЭЗП подается напряжение, растущее ступенчато со скоростью dUЭЗП / dt ≤ 3 ⋅102 В/с, т.е. напряжение увеличивается не быстрее, чем на 9 В каждые 30 мс; минимальная длительность ступени — 10 мс. Теперь при измерении зависимостей Вig = f(Uig) временное разрешение будет определяться длительностью ступени напряжения ∆tЭЗП.
Получение кривой зажигания начиналось с выбора и фиксации Uig и затем медленно, для наглядной визуализации изменения тока ионов во времени, увеличивалось магнитное поле в УАС до момента появления бросков ионного тока на коллекторе ЭЗП – первого, а затем и второго пробоя разрядного промежутка.
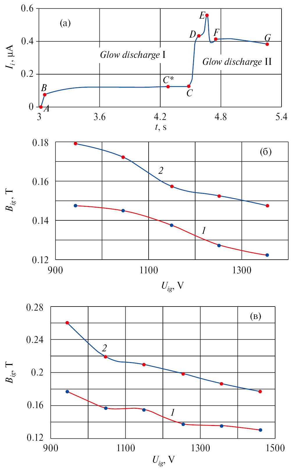
На рис. 6а приведен пример ионного сигнала, в котором есть двойная структура, что эквивалентно и двойной структуре разрядного тока. Здесь магнитное поле плавно изменялось в диапазонах от 0 до точки А — начала первого скачка тока — пробоя газового промежутка, и между точками С* (ориентировочно) и С — до второго скачка тока, длительности которых не превышают ∆t ~ 50 мкс. Почеркнем, что исходным состоянием для первого скачка тока является нейтральный газ; для второго — плазма. На участках осциллограммы после точки А до точки C* и после точки С — магнитное поле не изменялось. За скачками I и II следуют два стационарных состояния горения аномального тлеющего разряда (участки BC и FG на рис. 6a).
Рис. 6. (а) — ионный ток в процессе зажигания Е×В-разряда: аргон (q = 5 sccm), dUЭЗП/dt = 2 В/30 мс, Uig = 940 В, ВIig = 0.145 Тл, ВIIig = 0.172 Тл; b — Big = f(Uig) для смеси Kr (q = 4 sccm) + Ne (q = 50 sccm): 1 — режим I (зажигание газ → плазма), 2 — режим II (зажигание плазма → плазма); (б) — Big = f(Uig) для Ne (q = 70 sccm): кривая 1 — газ–плазма (режим I), 2 — плазма–плазма (режим II)
Измеренные отношения амплитуд скачков ионных токов в разные режимы горения составляют III /II ≈ 2÷11.
Необходимо отметить, что поведение тока на участке ВС — это суммарный эффект: спад тока, определяемый ростом задерживающего потенциала ЭЗП (для кадра, приведенного на рис. 6а, изменение на участке ВС ∆UЭЗП ≈ 95 В), плюс некоторый прирост тока в процессе выхода на стационарный уровень тлеющего разряда в режиме горения I (см. разд. 5, рис. 8а).
На рис. 6б даны кривые зажигания Е ×В-разрядов в режимы горения I и II, полученные последовательно (в одном кадре) при медленном увеличении индукции магнитного поля на смеси криптона и неона. На смеси газов реализуются токи разряда, большие по сравнению с разрядами на моногазах. На рис. 6с показаны кривые зажигания для режимов I и II в неоне.
Измерение плавающего потенциала с помощью плоского ленгмюровского зонда (диаметр приемной поверхности 0.4 мм), установленного на внутреннем срезе катода УАС, позволило определить зависимости плавающего потенциала Ufl от рабочего давления и величины индукции магнитного поля. По принятой классификации зонд в плазме УАС работает в бесстолковительном режиме, так как λеа >> rp, rDe, rLе, где длина свободного пробега электронов относительно столкновений с нейтралами (давление Р = 10–4 Торр, We = 25 эВ) λеа ≈ 5 м; характерный размер зонда rp = 0.02 см, дебаевский радиус электронов (25 эВ, 5 ⋅106 см–3) rDe ≈ 1.7 см; ларморовский радиус электронов в прикатодной области (25 эВ, 3 кГс) rLе ≈ 5.6 ⋅10–3 см.
Отметим, что плоскость собирающей поверхности зонда параллельна силовым линиям магнитного поля, так как вблизи катода на оси разрядного канала существует практически только радиальная компонента магнитного поля BrK. Эффективная собирающая поверхность зонда вытянута вдоль силовых линий магнитного поля по радиусу, поэтому зона прихода электронов вдоль оси разрядного канала зафиксирована примерно в плоскости катода, для которой мы и сообщаем измеренную зависимость Ie = f(Up) электронного тока на зонд от потенциала зонда.
По величине Ufl можно оценить потенциал плазмы Upl, когда, например, рабочим газом был аргон, (kB — постоянная Больцмана). Функциональные зависимости Ufl и Upl от рабочего давления и величины индукции магнитного поля получаются одинаковыми.
В качестве нижней оценки температуры (энергии) электронов мы брали kBTe = φi, где φi = 15.68 эВ для аргона. Данные сведены на рис. 7. Потенциал плазмы в прикатодной области растет в 1.65 раза при росте индукции магнитного поля на катоде ВK от 0.089 до 0.477 Тл (рис. 7а) и заметно падает при увеличении давления плазмообразующего газа — на рис. 7б приведена зависимость Upl = f(P) при изменении давления от 4 ⋅10–5 до 2.2 ⋅10–4 Торр.
Рис. 7. Потенциал плазмы в прикатодной области, аргон: (а) — Р = 9 ⋅ 10–5 Торр, Ud = 1160 В; (б) — 1 — BK = 0.427 Тл, Ud = 1160 В; 2 — BK = 0.45 Тл, Ud = 670 В
РАСПРЕДЕЛЕНИЯ ИОНОВ ПО ЭНЕРГИИ В МОМЕНТ ЗАЖИГАНИЯ Е×В-РАЗРЯДА
Распределения ионов по энергии измеряли с помощью ЭЗП на выходе из катода УАС. Время запуска ЭЗП синхронизировалось с моментом зажигания разряда. Изменяя во времени напряжение на анализирующей сетке (dUЭЗП/dt), можно было на коллекторе ЭЗП видеть ионы с энергиями 50 eV ≤ Wi ≤ eUA, где UA — напряжение на аноде УАС в момент зажигания (UA = Uig). Так, при dUЭЗП /dt = (2 В) / (50 мс) регистрировались ионы с энергиями W ≤ 150 эВ; при dUЭЗП /dt = (4 В)/(10 мс) — с энергиями W ≥ 700 эВ.
Ионы рождались в процессе столкновений электронов с атомами рабочего газа в разных точках разрядного промежутка и, соответственно, ускорялись до различных энергий. Если запуск ЭЗП запаздывал относительно момента зажигания разряда, то из спектров ионов по энергии “исчезали” ионы с энергиями W ≤ eUЭЗП.
На рис. 8а показан ток ионов I, а на рис. 8б — соответствующий ему спектр ионов (–dI/dW) по энергии. Здесь запуск ЭЗП практически совпал с моментом зажигания разряда. Структура тока — с двойным скачком. На спектре явно выделен пик ионов с энергиями 80 ≤ W ≤ 130 эВ, рожденных в прикатодной области.
Рис. 8. (а) — ток ионов с коллектора ЭЗП; (б) — энергетический спектр ионов. Uig = 800 В, Big = 0.184 Тл; аргон, q = 12 sccm; dUЭЗП/dt = 10 В / 20 мс
ОБСУЖДЕНИЕ РЕЗУЛЬТАТОВ
Существование двух скачков тока — инициирующего аномальный тлеющий разряд (первый скачок – в режим горения I) и уже в режиме аномального тлеющего разряда – прыжок в режим горения II – можно назвать принципиальным отличием стадии зажигания Е×В-разряда от стадии зажигания тлеющего разряда без магнитного поля. Аналогия с плавным переходом при росте напряжения на электродном промежутке из режима “нормальный тлеющий разряд” в режим “аномальный тлеющий разряд” в случае, когда магнитного поля нет, может рассматриваться лишь как формальная.
Плазменный скачок разрядного тока (в режим горения II) проходит после перестройки потенциала в прикатодной области. Перед первым скачком были одни макроскопические значения магнитного поля и электрического потенциала в прикатодной области (области инициирования зажигания), а после него – уже другие условия для реализации второго режима зажигания (плазма — плазма).
В момент зажигания разряда формируется прикатодный скачок потенциала, на котором электроны, эмитированные из катода в результате вторичной ион-электронной и автоэлектронной эмиссий, набирают энергию, достаточную для ионизации. Это согласуется с данными о начальной фазе зажигания несамостоятельного Е×В-разряда [18]: через 7 мкс после включения напряжения разряд возникает вблизи катода. Далее по направлению к аноду, судя по нашим ионным спектрам, потенциал почти постоянный, электрическое поле слабое, поэтому ионов в этой зоне мало. Ближе к середине разрядного промежутка формируется плазменный столб с заметным электрическим полем, где “собирается” некоторое количество электронов — эмиссионных и плазменных. Прианодного скачка потенциала еще практически нет.
Зависимости BigI = f(Uig) и BigII = f(Uig), полученные в одном цикле зажигания разряда, подобны друг другу, что говорит о схожести физических процессов, происходящих при зажигании в режимы горения I и II.
Зажигание самостоятельного Е×В-разряда — длинный во времени τ ~ 10–3 с процесс. Из приведенных экспериментальных данных можно оценить коэффициент диффузии электронов поперек магнитного поля: Dе⊥ = ∆2/τ ≈ 10–1 м2/с. Классический коэффициент диффузии Dе⊥ можно оценить и расчетным путем, если принять, что при одном столкновении частица может смещаться на максимальное из возможных расстояние — ларморовский радиус ρНе: , где νea – частота упругих столкновений электронов с нейтралами. При В = 0.2 Тл, Те = 25 эВ, что обеспечивает ионизацию неона (у него самый большой φi ≈ 21.47 эВ из используемых газов), ρНе ≈ 3,5 ⋅10–3 м. Тогда частота столкновений электронов с атомами с–1. Чтобы обеспечить такую νea, достаточно установить давление Рn = 1.4 ⋅10–6 Торр, что много меньше Р ≤ 2 ⋅10–4 Торр — рабочих давлений в эксперименте. Это показывает возможность реализации диффузионного механизма зажигания самостоятельного Е×В-разряда в УАС с учетом плазменных эффектов в процессе зажигания в режим горения II.
Различие в поведении пеннинговских пар при изменении их роли в паре — основной газ или примесь – объясняется различной степенью влияния разряда на распределение потенциала в прикатодной области, формирование которого в процессе зажигания самостоятельного Е×В-разряда проходит по-разному для каждой рабочей газовой среды.
Когда неон — основной газ, зажигание разряда проходит при Вig ≥ 0.28 Тл. При этом формируется прикатодный слой потенциала толщиной D < 3 мм величиной около ∆φ ≥ 30 В. Если легко ионизуемые компоненты (Ar, Kr) — основной газ, то зажигание разряда происходит при Вig ≤ 0.17 Тл и ∆φ не превышает 15–20 В, что делает маловероятным ионизацию неона и его возбуждение в метастабильное состояние. Такие экспериментальные данные говорят об условности подхода эквивалентного давления [13, 14], с одной стороны, а с другой — расшифровывают его содержание.
ЗАКЛЮЧЕНИЕ
Изучение временной динамики сигналов с индукционного датчика позволило получить кривые зажигания Е×В-разряда (моменты зажигания), связывающие напряжение, индукцию зажигания и давление плазмообразующих газов в случае как одно-, так и двух- и трехкомпонентных смесей инертных газов.
Показано, что поток ионов, покидающих зону Е×В-разряда, может быть информативным индикатором процесса зажигания — появления плазмы в промежутке анод–катод УАС. Данные с коллектора ионов определили полную длительность процесса зажигания.
Работая с ионным сигналом, при зажигании “магнитным полем” в дополнение к известному традиционному скачку разрядного тока, изменяющемуся от нуля (точка А на рис. 6а) до некоторого тока I1 (точка В на рис. 6а) — в режим горения I был обнаружен второй скачок СЕ — в режим горения II (рис. 6а), который проходит уже в плазме тлеющего Е×В-разряда. То есть в эксперименте наблюдался пороговый эффект резкого увеличения проводимости (тока) разрядного промежутка УАС, заполненного плазмой, который инициировался растущим магнитным полем.
Показан различный характер зажигания разряда для пеннинговских пар при изменении роли газа в смеси (основной или примесь), который определяется, в числе иного, особенностями формирования распределения электрического потенциала в прикатодном слое.
Уменьшение необходимой для зажигания разряда индукции магнитного поля наблюдалось при добавке примеси легко ионизируемого газа (криптон, φKr = 14 эВ; аргон, φAr = 15.68 эВ) к неону, у которого потенциал ионизации φNe = 21.47 эВ, заметно больше (см. рис. 4). Но если к криптону или аргону добавлялся сравнительно трудно ионизируемый неон, то кривая магнитного зажигания Вig = f(Uig) — это кривая с максимумом при определенном значении скорости напуска неона (см. рис. 5б). В том же диапазоне скоростей напуска неона (5÷90 sccm), когда он был единственным плазмообразующим газом (см. рис. 3б), кривая Вig = f(Uig) монотонно спадала при росте qNe.
About the authors
N. A. Strokin
Irkutsk National Research Technical University
Author for correspondence.
Email: strokin85@inbox.ru
Russian Federation, Irkutsk
A. V. Rigin
Irkutsk National Research Technical University
Email: strokin85@inbox.ru
Russian Federation, Irkutsk
References
- Brown S.C. Introduction to electrical discharges in gases (John Wiley & Sons, New York, London, Sydney, 1966). Available at: http://experimentationlab.berkeley.edu/sites/default/files/ Electrical-Discharges-In-Gases.pdf)
- Raizer Y.P. Gas Discharge Physics (Springer, Berlin, 1991). Available at: https://link.springer.com/book/9783642647604
- Gallo C.F. // IEEE Trans. Ind. Appl. 1975. V. IA-13. P. 739. doi: 10.1109/TIA.1975.349370
- Baranov O., Bazaka K., Kersten H., Keidar M., Cvelbar U., Xu S., Levchenko I. // Appl. Phys. Rev. 2017. V. 4. Р. 041302. doi: 10.1063/1.5007869
- Liu W., Zhang G., Jin C., Xu Y., Nie Y., Shi X., Sun J., and Yang J. // Appl. Phys. Lett. 2022. V. 121. Р. 073301. doi: 10.1063/5.0092988
- Abolmasov S.N. // Plasma Sourc. Sci. Technol. 2012. V. 21. Р. 035006. doi: 10.1088/0963-0252/21/3/035006
- Michiels M., Leonova K., Godfroid T., Snyders R., and Britun N. // Appl. Phys. Lett. 2022. V. 121. Р. 051603. doi: 10.1063/5.0096128
- Goebel D.M. and Katz I. FundamenAALs of Electric Propulsion: Ion and Hall Thrusters (John Wiley & Sons, Hoboken, New Jersey, 2008). Available at: https://descanso.jpl.nasa.gov/SciTechBook/series1/Goebel_cmprsd_opt.pdf.
- Keidar M. // Plasma Sourc. Sci. Technol. 2015. V. 24. Р. 033001. doi: 10.1088/0963-0252/24/3/033001
- Keidar М. and Robert E. // Phys. Plasmas. 2015. V. 22. Р. 121901. doi: 10.1063/1.4933406
- Xu Z., Lan Y., Ma J., Shen J., Han W., Shuheng H.U., Chaobing Y.E., Wenhao X.I., Zhang Y., Yang C., Zhao X., Cheng C. // Plasma Sci. Technol. 2020. V. 22. Р. 103003. doi: 10.1088/2058-6272/ab9ddd
- Townsend J.S. // J. Sci., Ser. 6. 1913. V. 26. P. 730. doi: 10.1080/14786441308635017
- Townsend J.S., Gill E.W.B. // J. Sci. Ser. 7. 1938. V. 26. P. 290. doi: 10.1080/14786443808562125
- Blevin H.A., Haydon S.C. // Aust. J. Phys. 1958. V. 11. P. 18. doi: 10.1071/PH580018
- Valle G. // Nuovo Cimento. 1950. V. 7. P. 174. doi: 10.1007/BF02781871
- Heylen A.E.D., Eng C. // IEE Proc. 1980. V. 127. P. 221. doi: 10.1049/ip-a-1.1980.0034
- Nikulin S.P. // Tech. Phys. 1998. V. 43. P. 795. doi: 10.1134/1.1259092
- Ellison C.L., Raitses Y., Fisch N.J. // IEEE Trans. Plasma Sci. 2011. V. 39. P. 2950. doi: 10.1109/TPS.2011.2121925
- Penning F.M. // Naturwiss. 1927. V. 15. P. 818. doi: 10.1007/BF01505431
- Penning F.M. // Z. Phys. 1929. V. 57. P. 723. doi: 10.1007/BF01340651
- Penning F.M. // Physica. 1934. V. 1. P. 1028. doi: 10.1016/S0031-8914(34)80297-2
- Strokin N.A., Bardakov V.M. // Plasma Phys. Rep. 2019. V. 45. P. 46. doi: 10.1063/1.4846898
- Bardakov V.M., Ivanov S.D., Kazantsev A.V., Strokin N.A. // Rev. Sci. Instrum. 2015. V. 86. 053501. doi: 10.1063/1.4920998
- Bardakov V.M., Ivanov S.D., Kazantsev A.V., Strokin N.A. // Instrum. Exp. Tech. 2015. V. 58. No. 3. P. 359. doi: 10.1134/S0020441215030045
- Lai S.T. // AIP Adv. 2020. V. 10. Р. 095324. doi: 10.1063/5.0014266
- Ohayon B., Wahlin E., Ron G. // J. Instrum. 2015. V. 10. Р. 03009. doi: 10.1088/1748-0221/10/03/P03009
Supplementary files










