О влиянии двумерной неоднородности плазмы в магнитном острове на порог параметрического возбуждения захваченных верхних гибридных волн и уровень аномального поглощения в ЭЦРН-экспериментах
- Авторы: Попов А.Ю.1, Гусаков Е.З.1, Теплова Н.В.1
-
Учреждения:
- Физико-технический институт им. А.Ф. Иоффе
- Выпуск: Том 50, № 1 (2024)
- Страницы: 28-40
- Раздел: НЕЛИНЕЙНЫЕ ЯВЛЕНИЯ
- URL: https://bakhtiniada.ru/0367-2921/article/view/260993
- DOI: https://doi.org/10.31857/S0367292124010033
- EDN: https://elibrary.ru/SKRGQI
- ID: 260993
Цитировать
Полный текст
Аннотация
Обнаружен эффект двумерной локализации верхней гибридной (ВГ) волны в магнитном острове. Исследовано влияние этого эффекта на порог и уровень насыщения абсолютной параметрической распадной неустойчивости необыкновенной волны, в результате которой возбуждаются две двумерно локализованные ВГ-волны.
Полный текст
ВВЕДЕНИЕ
Физические явления, возникающие при взаимодействии нелинейных волн, играют важную роль в физике плазмы [1–3]. Трехволновое взаимодействие — нелинейное явление низшего порядка по амплитудам взаимодействующих волн – становится резонансным, если выполняются распадные условия для частот и волновых векторов взаимодействующих волн:
, (1)
где подстрочный индекс 0 относится к частоте и волновому вектору волны накачки, а подстрочные индексы 1, 2 — к параметрам дочерних волн.
В однородной плазме порог неустойчивости определяется столкновениями или резонансным поглощением одной или всех взаимодействующих волн [4–8] и может быть легко преодолим. Это делает параметрические распадные неустойчивости (ПРН) ответственными за многие аномальные явления в плазме, характеризующиеся различными временны́ми и пространственными масштабами.
Эти явления включают в себя аномальное (нелинейное) поглощение микроволнового излучения [9] и насыщение дрейфовых неустойчивостей из-за каскада вторичных распадов [10]. Математическая модель, описывающая ПРН в однородной плазме, а также последствия возбуждения нелинейных явлений, были рассмотрены в обзоре [8]. Однако, как независимо обнаружили А.Д. Пилия [11, 12] и М. Розенблют [13], неоднородность плазмы сильно влияет на эффективность нелинейной связи взаимодействующих волн и может стабилизировать ПРН. Это связано с тем, что дочерние волны, не успевая значительно усилиться, быстро покидают область распада конечного вдоль направления неоднородности размера с присущими им групповыми скоростями, что приводит лишь к пространственному усилению и является причиной высокого порога этой конвективной неустойчивости.
Свойства различных конвективных ПРН в неоднородной плазме и последствия их возбуждения обсуждались в обзорах [14, 15]. Запирание дочерних волн в направлении плазменной неоднородности приводит к возбуждению абсолютной ПРН, по крайней мере в одномерной модели плазмы [16]. В этом случае происходит экспоненциальный рост амплитуд дочерних волн со временем с инкрементом, свойственным однородной плазме, но уменьшенным на величину отношения длины области распада к длине области локализации дочерней волны. Низкопороговое возбуждение абсолютной ПРН возможно и в реалистичной трехмерной модели плазмы, если обе или хотя бы одна дочерняя волна локализуются в конечной трехмерной области распада [17–19].
В рамках теории низкопороговой ПРН [20] запирание дочерних волн в направлении неоднородности происходит, как правило, в локальном максимуме профиля плотности, где бы он ни находился, например в О-точке магнитного острова, в блобах на периферии плазменного шнура или на оси разряда. В двух других направлениях локализация дочерних волн обусловлена модификацией их дисперсионных уравнений при учете нелинейной электронной восприимчивости плазмы в присутствии волны накачки. Неустойчивость начинает развиваться, когда дифракционные потери в этих направлениях становятся меньше нелинейной накачки.
Основные выводы и предсказания теории были подтверждены в недавних экспериментах по электронному циклотронному резонансному нагреву (ЭЦРН) на токамаке ASDEX-Upgrade [21, 22] и стеллараторе Wendelstein 7-X [23, 24]. Модель позволила объяснить аномальное рассеяние волны накачки и воспроизвести регулярную и тонкую структуры спектров рассеянного сигнала [25–27], наблюдавшихся ранее в ЭЦРН-экспериментах на токамаке TEXTOR [28, 29] и в недавних экспериментах на стеллараторе Wendelstein 7-X [23, 24].
В рамках модели было предсказано аномальное излучение плазмы на полуцелых гармониках частоты волны накачки [30], которое впоследствии было обнаружено на токамаке ASDEX-Upgrade [21]. Теория предсказывает возможность значительного аномального поглощения используемой при ЭЦРН мощности пучка накачки [31, 32], что было подтверждено в модельном эксперименте в газовом разряде [33] и нашло косвенное подтверждение в тороидальных установках [34, 35].
В ходе анализа экспериментальных условий, характерных для ЭЦРН-экспериментов, цель которых была в локальном нагреве плазмы в магнитном острове для управления его параметрами, мы обнаружили возможность возбуждения дочерних волн, двумерно локализованных внутри этого образования. Такая локализация может снизить порог неустойчивости и ее инкремент.
В данной статье с использованием параметров, близких к параметрам ЭЦРН-экспериментов на токамаке TEXTOR [28, 29], исследовано влияние этого эффекта на порог и уровень насыщения абсолютной параметрической распадной неустойчивости необыкновенной волны, в результате которой возбуждаются две запертые ВГ-волны.
ПОСТАНОВКА ЭЦРН-ЭКСПЕРИМЕНТА НА ТОКАМАКЕ TEXTOR
Токамак TEXTOR представлял собой установку для магнитного удержания плазмы с круглыми магнитными поверхностями, типичной средней плотностью <ne ≥1.5 ÷ 3 · 1013 см–3, большим R0 = 1.75 м и малым а = 0.46 м радиусами, центральной температурой электронов Te = 500–800 эВ и ионов Ti = 300–500 эВ и центральным магнитным полем B0 = 1.9...2.5T.
Хотя токамак был закрыт в 2013 г., собранные экспериментальные данные по-прежнему имеют большое значение для изучения различных аспектов удержания и нагрева плазмы в рамках термоядерных исследований. В этой статье мы акцентируем внимание на результатах, полученных в ходе ЭЦРН-экспериментов в конце 2000-х и начале 2010-х гг.
Основной целью этой экспериментальной деятельности было продемонстрировать, что ЭЦРН и генерация токов увлечения могут обеспечить управление неоклассической тиринг-неустойчивостью. Для создания магнитных островов использовались внешние катушки (динамический эргодический дивертор) [36]. На эти катушки подавался переменный ток [37], с помощью которого создавались вращающиеся магнитные острова m/n = 2/1 примерно на половине малого радиуса. В этом случае магнитное поле может быть представлено следующим образом:
, (2)
где r – малый радиус, θ – полоидальный угол, ej – единичный вектор вдоль тороидальной координаты, и потоковая переменная имеет вид
(cм. выражение (10.1.11) в монографии [38]).
Первый член Y0(r) приводит к невозмущенному полоидальному магнитному полю
.
Второй член
моделирует магнитную конфигурацию вокруг рациональной магнитной поверхности, на которой малый радиус и запас устойчивости равны: и . Третий член приводит к радиальной компоненте магнитного поля в магнитном острове. Параметр db определяется отношением характерной напряженности возмущенного магнитного поля, создаваемого внешними катушками, к тороидальному магнитному полю.
Следуя результатам анализа магнитной конфигурации в токамаке TEXTOR в экспериментах с динамическим эргодическим дивертором [36], мы пренебрегли шафрановским сдвигом, взяли rw = 1 см и положили δb = 0.05. На рис. 1 пунктирными линиями показана схема магнитных поверхностей Ψ = const в полоидальном сечении токамака TEXTOR. Область внутри сепаратисты относится к магнитному острову. Заданное уравнением , магнитное поле остается бездивергентным, т.е. , и полоидальная компонента возмущения магнитного поля равна нулю на резонансной поверхности rm/n.
Рис. 1. Траектория верхней гибридной волны (сплошная линия, fm = 69.71 ГГц, mx = 45) показана в полоидальном сечении токамака TEXTOR [29]. Магнитные поверхности показаны пунктирными линиями. В окне в увеличенном масштабе показана траектория ВГ-волны в магнитном острове
Профиль плотности в магнитном острове, вращающемся в полоидальном направлении, был исследован с помощью диагностики томсоновского рассеяния [39] и оказался немонотонным с локальным максимумом, расположенным в O-точке магнитного острова. Измерения показали, что профиль плотности немонотонен также в полоидальном направлении [40]. Это связано, по-видимому, с тем, что параметры плазмы остаются постоянными на замкнутых магнитных поверхностях, что подразумевает двумерный локальный максимум плотности внутри магнитного острова.
Пучок волн необыкновенной поляризации (f0 = 140 ГГц) запускался в экваториальной плоскости со стороны слабого магнитного поля. Поверхность второй гармоники ЭЦ-резонанса располагалась со стороны сильного магнитного поля и в экваториальной плоскости пересекала траекторию СВЧ-пучка. При этом было обнаружено сильное рассеяние волн накачки при прохождении O-точки магнитного острова со стороны слабого магнитного поля.
Обнаруженное излучение имело дискретный спектр в частотных полосах, смещенных на величину порядка 0.6–2.5 ГГц вверх (в синюю область спектра) и вниз (в красную область спектра) относительно частоты волны накачки [29]. В тех случаях, когда верхняя гибридная частота была равна или немного выше половины частоты гиротрона, излучение из плазмы было максимальным.
Эффект носил пороговый характер, и мощность рассеянного сигнала зависела от мощности СВЧ-пучка по экспоненциальному закону. Это указывало на нелинейную природу явления, которое было интерпретировано как последствия возбуждения низкопороговой двухплазмонной неустойчивости необыкновенной волны [27].
ДВУМЕРНО ЛОКАЛИЗОВАННАЯ ВЕРХНЯЯ ГИБРИДНАЯ ВОЛНА В МАГНИТНОМ ОСТРОВЕ
Дисперсионное уравнение ВГ-волны имеет вид [41]
, (3)
где последний член возникает из-за присутствия небольшой электромагнитной компоненты волны в окрестности ВГ-резонанса. В уравнении мы использовали новые обозначения: и – перпендикулярная и параллельная компоненты волнового вектора, b – единичный вектор вдоль магнитного поля, ε, g, η – компоненты тензора диэлектрической проницаемости холодной плазмы, – тепловая поправка к диагональному элементу диэлектрического тензора холодной плазмы e, υte– тепловая скорость электронов, ωce – электронная циклотронная частота, ωpe – электронная плазменная частота.
На рис. 1 показана траектория верхней гибридной волны (сплошная линия, fm = 69.71 ГГц, mx = 45) в полоидальном сечении токамака TEXTOR [29]. Магнитные поверхности изображены пунктирными линиями. В окне траектория ВГ-волны показана в увеличенном масштабе в окрестности экваториальной плоскости.
На рис. 2 показана траектория той же верхней гибридной волны в плоскости магнитной поверхности токамака TEXTOR [29]. Магнитные силовые линии здесь изображены пунктирными линиями. Видно, что траектория ВГ-волны оказывается двумерно локализованной – вдоль потоковой переменной в окрестности локального максимума плотности; вдоль поперечного направления на магнитной поверхности, как результат двумерной неоднородности профиля плотности в магнитном острове и неоднородности магнитного поля, которые являются факторами, действующими в тандеме.
Рис. 2. Траектория верхней гибридной волны (сплошная линия, fm = 69.71 ГГц, mx = 45) показана в плоскости магнитной поверхности токамака TEXTOR [29]. Магнитные силовые линии показаны пунктирными линиями
Характерное время распространения луча в двумерном волноводе вдоль потоковой переменной значительно меньше, чем в поперечном направлении на магнитной поверхности. Для аналитического описания двумерно локализованных ВГ-волн мы будем использовать две локальные декартовы системы координат (x, ζ, ξ) и (x, y, z) с общим началом координат, расположенным в экваториальной плоскости тора в O-точке магнитного острова.
Координата x направлена внутрь плазмы вдоль большого радиуса R; ζ и ξ являются координатами, перпендикулярными и параллельными магнитному полю на магнитной поверхности; y и z являются полоидальной и тороидальной координатами соответственно. Решение дисперсионного уравнения имеет следующий вид:
(4)
где корень с надстрочным индексом плюс соответствует теплой, а с надстрочным индексом минус – холодной ветви дисперсионной кривой ВГ-волны.
К сожалению, в дисперсионном уравнении и в его решении переменные не разделяются. Тем не менее, пользуясь различием частот осцилляций луча, характеризующих его финитное движение в двумерном волноводе, а также локализацией луча вокруг экваториальной плоскости, воспользуемся процедурой, разработанной в работе [42].
На первом этапе мы используем процедуру квантования, предполагая координаты ζ и qζ постоянными, что дает модифицированное дисперсионное уравнение
(5)
где xl и xr – точки поворота луча вдоль координаты х.
Интегрирование в уравнении может быть выполнено только численно для различных фиксированных ζ и qζ. В итоге получим зависимость qζ = qζ(ζ). Далее, используя процедуру квантования вдоль второй координаты
, (6)
где ζr – точка поворота траектории вдоль координаты ζ, найдем собственную частоту двумерно локализованной волны, где собственное число имеет две компоненты m = (mx, mζ).
На рис. 3 показана компонента волнового числа qx(x), полученная численно в результате одного из методов геометрической оптики – процедуры трассировки лучей (ray-tracing). Аналитическое решение показано символами и также указано стрелкой. Видно, что аналитическая зависимость с высокой точностью воспроизводит численное решение.
Рис. 3. Компонента волнового вектора qx(x), полученная численно в результате процедуры трассировки лучей (ray-tracing), указана стрелкой. Аналитическое решение показано точками и указано стрелкой
На рис. 4 показана компонента волнового вектора qζ(ζ), полученная численно в результате трассировки лучей и указанная стрелкой. Аналитическое решение (5) показано пунктирной кривой и указано стрелкой. Видно, что аналитическое решение показывает усредненное значение численного решения, поскольку зависимость коэффициентов от быстрого движения по координате х усреднена на первом шаге процедуры разделения временны́х масштабов.
Рис. 4. Компонента волнового вектора qζ(ζ), полученная численно в результате трассировки лучей, указана стрелкой. Аналитическое решение показано пунктирной кривой и указано стрелкой
Используя выражения (4)–(6), мы представляем собственные функции ВГ-волны в рамках ВКБ-приближения. Собственная функция, описывающая локализацию ВГ-волны вдоль направления х, имеет вид [20]
(7)
где . Собственная функция вдоль координаты ζ имеет следующий вид:
(8)
где . Используя описание двумерных собственных мод, в последующих разделах мы проанализируем распад необыкновенной волны, приводящий к возбуждению двух собственных мод ВГ-волны.
НИЗКОПОРОГОВЫЙ РАСПАД НЕОБЫКНОВЕННОЙ ВОЛНЫ НА ДВЕ ДВУМЕРНО ЛОКАЛИЗОВАННЫЕ ВГ-ВОЛНЫ
Рассмотрим распад необыкновенной волны на две верхнегибридные волны, распространяющиеся вдоль оси магнитного острова и локализованные в поперечном направлении.
Пучок монохроматических волн необыкновенной поляризации с частотой ω0, распространяющийся вдоль экваториальной плоскости внутрь плазмы вдоль координаты x, в области распада может быть представлен в рамках ВКБ-приближения в следующем виде:
(9)
где вектор поляризации имеет вид , ex и eη – орты, вдоль соответствующих координат, υ0g – групповая скорость, – локальное значение волнового вектора, – коэффициент преломления [41].
Возникающие при распаде ВГ-волны, локализованные в окрестности двумерно немонотонного максимума профиля плотности, можно представить следующими выражениями:
(10)
где ωn = ω0 - ωm и параметры qξ и ωm выбираются так, чтобы условия квантования и выполнялись одновременно для обеих мод. Согласно работе [31], истощение волны накачки после распада на ВГ-волны в естественном предположении слабой дифракции приводит к уменьшению ее амплитуды:
(11)
где B = B(xdp), xdp – положение резонансного слоя, ω – радиус гауссова пучка, P0 – мощность пучка накачки и – электронная восприимчивость плазмы второго порядка [43–45], описывающая нелинейную связь необыкновенной волны накачки и двух квази-продольных ВГ-волн. Второй член в уравнении описывает уменьшение амплитуды волны накачки из-за распада. Пока этот член остается малым по сравнению с первым членом, истощение волны накачки слабое. Изменение потока энергии волны накачки вдоль координаты x при этом равно
(12)
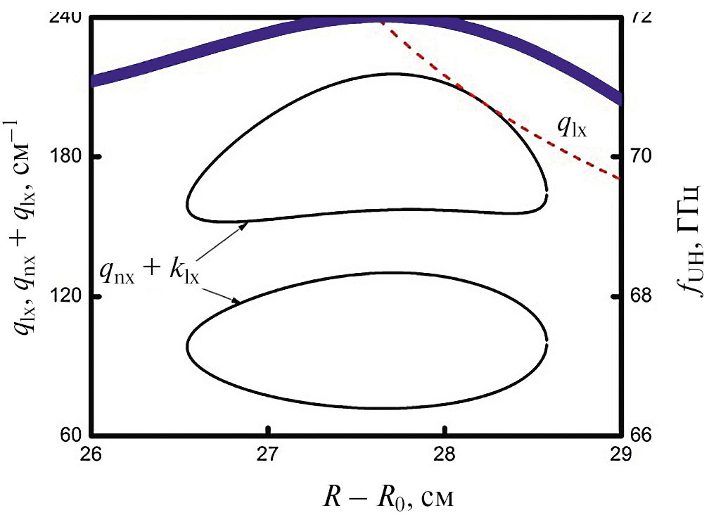
На рис. 5 показано волновое число первой ВГ-волны fm = 69.71 ГГц, , m = (40,3), сдвинутое вниз на величину волнового числа необыкновенной волны накачки, показано сплошной линией. Волновое число второй ВГ-волны – пунктирная линия. Профиль ВГ-частоты изображен толстой сплошной кривой.
Рис. 5. Волновое число ВГ-волны fm = 69.71 ГГц, = 0.43 см–1, m = (40,3), сдвинутое вниз на величину волнового числа необыкновенной волны, – сплошная линия. Волновое число второй ВГ-волны – пунктирная линия. Профиль ВГ-частоты — толстая сплошная кривая. Te = 700 эВ, Ti = 350 эВ – на оси разряда. B = 2.1T – в магнитном острове
В окрестности точек пересечения двух тонких кривых выполняются распадные условия для первичной неустойчивости. На оси разряда Te = 700 эВ, Ti = 350 эВ, в магнитном острове – B = 2.1T. За первичной неустойчивостью следует вторичный распад первичной ВГ-моды, приводящий к появлению вторичной ВГ-волны и ионной бернштейновской (ИБ) волны, частота которой относится к нижнегибридному (НГ) диапазону частот.
Появление этой низкочастотной электростатической волны в качестве вторичной дочерней волны обусловлено двумя причинами.
Во-первых, в ЭЦРН-экспериментах на токамаке TEXTOR были зарегистрированы сигналы аномального излучения, частоты которых были смещены примерно на величину НГ-частоты одна относительно другой [28, 29].
Во-вторых, ИБ-волна обеспечивает оптимальную нелинейную связь между первичной и вторичной ВГ-волнами. На рис. 6 сплошной линией показана сумма волновых чисел первичной (fn = 70.29 ГГц, n = (12,4)) и вторичной (fl = 69.67 ГГц, , l = (47,3)) ВГ-волн. Волновое число ИБ-волны (fI = 0.62 ГГц, qIξ = 0.09 см–1) — пунктирная линия. Профиль ВГ-частоты изображен толстой сплошной кривой. Около точек пересечения двух тонких кривых выполнены условия для вторичной ПРН.
На рис. 6 используются те же параметры, что и на рис. 5. Последующий третичный распад вторичной ВГ-волны, как и вторичный распад первой первичной ВГ-волны, приводит к возбуждению незапертой ВГ-волны. Пороги подобных распадов существенно выше, чем порог возбуждения локализованной ВГ-волны, и намного превышают мощности современных гиротронов [46].
Рис. 6. Сумма волновых чисел первичной (fn = 70.29 ГГц, n = (12,4)) и вторичной (fl = 69.67 ГГц, = 0.52 см–1, l = (47,3)) ВГ-волн – сплошная линия. Волновое число вторичной ИБ-волны fI = 0.62 ГГц, qIξ = 0.09 см–1 – пунктирная кривая. Профиль ВГ-частоты – толстая сплошная кривая. Параметры те же, что и на рис. 4
Как видно на рис. 6, ИБ-волна распространяется наружу в основном вдоль х-координаты. Это позволяет описать медленно меняющуюся (растущую) амплитуду ИБ-волны с помощью редуцированного уравнения первого порядка по x координате.
Решение последнего позволяет представить амплитуду ИБ-волны как интеграл от произведения амплитуд первичной и вторичной ВГ-волн вдоль координаты х. Таким образом, амплитуды необыкновенной волны накачки и вторичной ИБ-волны уже не участвуют в описании каскада распадов, а только входят в качестве сомножителей в коэффициентах, описывающих первичные и вторичные неустойчивости. Для анализируемого профиля плотности возможно возбуждение только одной вторичной неустойчивости, причем только для одного из двух первичных плазмонов. В данном случае амплитуды дочерних ВГ-волн описываются следующей системой уравнений
(13)
Подробный вывод уравнений можно найти в приложении. В системе уравнений – безразмерные амплитуды собственных мод ВГ-волны, <Dsω> = <∂DUH /∂ω|ωs> – производные первого порядка дисперсионной функции по частотам волн с учетом усреднения <...> по области локализации дочерних волн, s = m, n, l. Групповые скорости вдоль магнитного поля us усреднены по области локализации соответствующей ВГ-волны s = m, n, l. Отметим, что в случае малого значения групповой скорости вторичных волн, удовлетворяющих условию
,
потери ВГ-волн из области нелинейного взаимодействия определяются дифракционными эффектами, которые могут быть учтены в уравнении (13), используя подход, развитый в [20]. Коэффициенты νpr, νdep и νsec описывают нелинейную связь необыкновенной волны с первичными дочерними ВГ-волнами, эффект истощения волны накачки и вторичную неустойчивость соответственно. За их явным представлением мы отсылаем читателей к работе [31].
В уравнениях мы не учитываем нелинейные процессы высшего порядка и нерезонансные процессы, которые при определенных условиях могут оказывать сильное влияние на уровень насыщения неустойчивости [47]. В частности, в выражении пренебрежено само воздействие каждой из мод ВГ-волны в результате модуляционной неустойчивости, которая приводит к эффекту диамагнетизма [48, 49]:
,
т.е. к уменьшению внешнего магнитного поля в области их локализации. Этот эффект имеет тот же порядок по амплитуде взаимодействующих волн, что и эффект распадной неустойчивости. Он приводит к нелинейной поправке к частотам собственных мод ВГ-волн:
,
Пренебрежение эффектом модуляционной неустойчивости дочерних волн является адекватным при амплитудах дочерних волн, для которых выполняется следующее неравенство:
. (14)
Далее мы решим уравнения и, используя результаты решения, проверим выполнение критерия, что позволит оценить адекватность пренебрежения эффектом самодействия (модуляционной неустойчивости) дочерних ВГ-волн.
Система уравнений похожа на систему, описывающую параметрическую распадную неустойчивость необыкновенной волны, которая приводит к возбуждению пары одномерно локализованных ВГ-волн и насыщается в результате вторичной неустойчивости каждой из них [31]. Однако в анализируемом случае дочерние волны являются двумерно локализованными, что увеличивает время их жизни в области распада.
Можно ожидать, что этот эффект снизит порог неустойчивости и увеличит инкремент дочерних волн. Это также отличает рассматриваемый случай от случая, проанализированного в работе [31], – возможность вторичной неустойчивости только для одной из первичных волн. Как будет показано далее, это относительно небольшое изменение в нелинейном наборе дифференциальных уравнений приводит к значительным последствиям и требует пересмотра вывода о небольшом аномальном поглощении мощности накачки для нечетного числа вторичных распадов.
Далее мы разберем уравнения аналитически. Когда мощность накачки превышает пороговое значение , возбуждается первичная неустойчивость, в результате которой обе первичные ВГ-волны начинают экспоненциально расти со временем. Амплитуда вторичной волны остается на уровне теплового шума, а истощение волны накачки пренебрежимо мало, что позволяет пренебречь члены и , описывающие эти слабые эффекты.
Будем искать экспоненциально растущие решения уравнений (13) в рамках ВКБ-приближения, т.е. представим
.
Примем во внимание, что групповые скорости первичных волн примерно равны um ≈ un, и в результате найдем дисперсионное уравнение
. (15)
Выражение описывает локализованное решение для ВГ-волны вдоль магнитного поля. Если порог неустойчивости превзойден значительно и инкремент неустойчивости оказывается сопоставим с коэффициентом нелинейной связи γ ≤ |νpr|, мы можем разложить в ряд . Используя процедуру квантования волнового числа (15), найдем инкремент в следующем виде:
. (16)
Если мы положим gn равным нулю, то получим уравнение, решение которого дает грубую оценку порога для самой неустойчивой основной моды
. (17)
Когда амплитуда первичной моды n ВГ-волны превышает некоторое пороговое значение, происходит вторичный распад. В итоге неустойчивость переходит в режим насыщения. Уровни насыщения дочерних ВГ-волн можно оценить, анализируя баланс членов в правой и левой частях каждого из уравнений. Уровень насыщения первичной ВГ-моды n в пучке накачки определяется балансом скорости изменения энергии вторичной волны и конвективной потери энергии вторичной моды p из области распада, характеризуемой временем tl = w/ul, т.е.
. (18)
Уровень насыщения роста первичной моды m в пучке накачки определяется балансом нелинейной накачки первичной волны, описываемой членом , и потерями ею энергии из пятна СВЧ пучка , где . В итоге можно получить следующую оценку
. (19)
Уровень вторичной моды l в пятне пучка накачки, , может быть найден из баланса эффективности первичной неустойчивости, описываемой членом и потерь энергии за счет вторичного распада . При мощности нагревного пучка, существенно превышающей пороговое значение, потери энергии первичной моды n из области взаимодействия волн , характеризуемые временем τn = w/un, являются пренебрежимо малыми в сравнении с членами, описывающими первичную и вторичную неустойчивости. Кроме того, как будет подтверждено двлее, истощение волны накачки также оказывается в рассматриваемом случае слабым эффектом. В итоге оценка уровня насыщения вторичной ВГ-волны имеет вид
. (20)
Для оценки уровня аномального поглощения мощности в режиме насыщения подставим в, устремим x → ∞ и проинтегрируем получившееся выражение по координате ξ
Это дает следующую оценку сверху для искомой величины:
, (21)
где величина коэффициента нелинейной трансформации необыкновенной волны (по мощности)
.
зависит от отношения групповых скоростей ИБ-волны υIg и волны накачки υ0g, т.е. тех волн, которые, участвуя во вторичном и первичном распадах, покидают каждая свою область нелинейного взаимодействия конечного размера, lsd и lpd соответственно, вдоль направления неоднородности.
Поскольку групповая скорость ИБ-волны существенно меньше групповой скорости волны накачки, близкой к скорости света, коэффициент нелинейной трансформации по мощности оказывается значительно меньше единицы α << 1, что позволяет обосновать пренебрежение эффектом истощения накачки в наших оценках.
В случае каскада с нечетным числом вторичных распадов обеих первичных ВГ-волн их амплитуды насыщаются на достаточно низком уровне, по крайней мере на таком, который значительно ниже уровней вторичных ВГ-волн. Это приводит к незначительному аномальному поглощению [20].
Напротив, при четном числе вторичных распадов первичных ВГ-волн их уровень насыщения становится намного выше, чем у вторичных волн, неравенство нарушается, и аномальное поглощение становится значительным [20].
В рассматриваемом случае распадающаяся первичная волна насыщается на низком уровне (18). Не распадающаяся первичная волна насыщается на существенно более высоком уровне (19). Он, однако, не превосходит значения, при котором начинает играть роль истощение накачки, описываемой членом .
Таким образом, можно ожидать, что уровень аномального поглощения будет существенно более высоким, чем в случае нечетного числа вторичных распадов обеих первичных ВГ-волн, но значительно меньшим, чем при четном числе вторичных распадов первичных ВГ-волн.
Для проверки аналитических предсказаний решим уравнения численно в одномерном “объеме”. Предположим начальный тепловой уровень всех ВГ-волн и используем периодические граничные условия. Набор уравнений с периодическими граничными условиями описывает многократное прохождение ВГ-волн через область интегрирования. Таким образом, физически разумное решение является промежуточной асимптотикой, справедливой для времен, значительно меньших, чем время прохождения волн через весь одномерный “объем”.
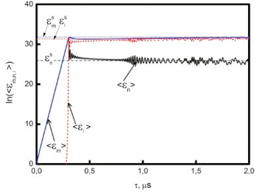
Результаты численного решения представлены на рис. 7 для P0 = 1 МВт, w = 1 см, где показана временная эволюция энергий первичных ВГ-волн и вторичной ВГ-волны в пятне пучка
.
Рис. 7. Временная эволюция энергий первичных ВГ-волн и вторичной ВГ-волны в пятне пучка. Зависимости указаны стрелками. Тонкие горизонтальные линии дают уровни насыщения, предсказанные уравнениями (18)–(20). P0 = 1 МВт, w = 1 см
Стрелки указывают, какой моде соответствует каждая из зависимостей. Тонкие горизонтальные линии показывают уровни насыщения, предсказанные уравнениями (18)–(20). Видно, что уровни насыщения, предсказанные аналитически, находятся в разумном согласии с результатами численного решения. Это позволяет быть уверенным в точности численного решения нелинейных дифференциальных уравнений.
Отметим также, что для получения аналитических оценок мы пренебрегали истощением накачки. Однако численное решение получено для полной системы (13), в которой эффект истощения волны накачки учтен. Разумное согласие между результатами расчета и аналитическими оценками указывает на сравнительно невысокий уровень истощения волны накачки.
На рис. 8 показана зависимость инкремента первичной неустойчивости от мощности накачки. Сплошная линия показывает аналитическую зависимость (16). Символы – результат численного решения уравнений (13).
Рис. 8. Зависимость инкремента первичной неустойчивости от мощности накачки. Сплошная линия показывает аналитическую зависимость (16). Символы – результат численного решения уравнений (13). В окне в увеличенном масштабе показана зависимость в районе пороговой мощности
В окне в увеличенном масштабе показана зависимость в районе пороговой мощности. Порог, предсказанный аналитически уравнением (17), равен = 47 кВт (P0th = 64 кВт в случае одномерной локализации ВГ-волны) и завышает его реальное значение = 18 кВт ( = 27 кВт в случае одномерной локализации ВГ-волны), полученное численно.
Подставляя найденные значения уровней насыщения в критерий (14), можно показать, что он выполняется для всех дочерних ВГ-волн: и . Это подтверждает доминирование вторичной неустойчивости дочерних волн над их модуляционной неустойчивостью и адекватность рассмотренной модели.
Таким образом, дополнительное — двумерное — запирание всех ВГ-волн не значительно, но увеличивает их время жизни в области распада по сравнению со случаем, когда возможна только их одномерная локализация [31]. Это снижает порог неустойчивости и приводит к увеличению ее инкремента.
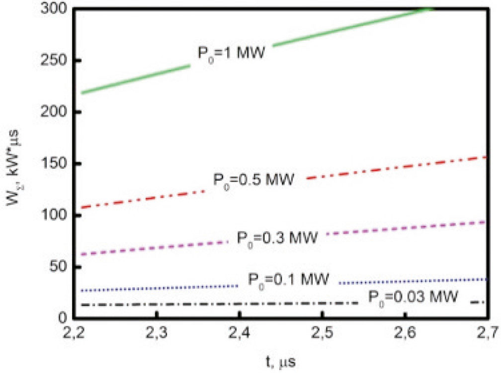
Чтобы оценить уровень аномального поглощения, найдем численно энергию всех ВГ-волн во всей области расчета, т.е. , а затем вычислим ее производную по времени . Рисунок 9 показывает зависимость энергии всех ВГ-волн от времени, в пределах области расчета WS в режиме насыщения для различной мощности накачки. Наблюдается линейная зависимость WS от времени.
Рис. 9. Зависимость энергии всех ВГ-волн от времени в пределах бокса в области расчета WΣ в режиме насыщения для различной мощности накачки
Рисунок 10 показывает зависимость уровня аномального поглощения от мощности накачки. Символы показывают результат численного решения . Сплошная линия дает аналитическую зависимость. Для мощности накачки 0.4–0.8 МВт, которая обычно использовалась в ЭЦРН-экспериментах на токамаке TEXTOR, аномальное поглощение достигает 20% и оказывается примерно в пять раз больше, чем в случае, когда обе первичные ВГ-волны могли испытывать нечетное число вторичных неустойчивостей [20]. Подчеркнем, что оно, тем не менее, существенно (в четыре раза) меньше, чем аномальное поглощение в случае, когда в обоих каналах число вторичных распадов оказывается четным [20].
Рис. 10. Зависимость уровня аномального поглощения от мощности накачки. Символы показывают результат численного решения ΔP = dWΣ/dt. Сплошная линия показывает аналитическую зависимость (21)
ВЫВОДЫ
Мы проанализировали низкопороговую параметрическую распадную неустойчивость необыкновенной волны, которая приводит к возбуждению двух верхнегибридных волн, распространяющихся вдоль оси магнитного острова и запертых в поперечном двумерном сечении, и насыщается за счет вторичной неустойчивости только одной первичной волны.
Дополнительная локализация всех ВГ-волн увеличивает их время жизни в области распада по сравнению со случаем, когда возможно только их одномерное запирание [31]. В рассматриваемом случае, когда только одна первичная двумерно запертая ВГ-волна неустойчива по отношению к последующему вторичному распаду, аномальное поглощение больше примерно в пять раз по сравнению со случаем, когда обе первичные ВГ-волны испытывают вторичную неустойчивость [20, 31]. Тем не менее оно все еще существенно меньше, чем в случае, когда число распадов в обоих каскадах нечетное. Эти результаты подтверждает выводы работы [20] о влиянии числа каскадов вторичного распада (нечетного или четного) на уровень насыщения ПРН.
ФИНАНСИРОВАНИЕ
Аналитическое исследование выполнено при поддержке гранта РНФ 22-12-00010, численное моделирование – при поддержке государственного контракта ФТИ им. А.Ф. Иоффе 0040-2024-0028 , а код для моделирования насыщения ПРН разработан при поддержке государственного контракта ФТИ им. А.Ф. Иоффе 0034-2021-0003.
ПРИЛОЖЕНИЕ
Набор уравнений, описывающих распад первичной волны ВГ-волны, , на вторичную ИБ-волну, , и вторичную ВГ-волну, , имеет вид
(A1)
В слабо неоднородной плазме операторы DUH,IB в левой части уравнений (A1), действующие на произвольную функцию F, могут быть представлены в следующем виде:
где ядро интегрального оператора DUH = 0 определяется уравнением (3), – дисперсионное уравнение ИБ-волны,
— линейная восприимчивость плазмы,
— плазменная дисперсионная функция.
Операторы в правой части уравнений (A1), действующие на произведение двух функций U и V, имеют вид
.
В однородной плазме – это нелинейная восприимчивость плазмы второго порядка [43–45]. Проведем анализ уравнений (A1), используя подход теории возмущений. На первом этапе процедуры возмущения мы пренебрегаем нелинейной связью волн. В этом случае невозмущенные решения для двумерных локализованных ВГ-волн определяются так же, как и в уравнении (10). Потенциал ИБ- волны, распространяющейся в основном вдоль направления плазменной неоднородности, имеет вид
(A2)
где амплитуда огибающей подчиняется редуцированному уравнению
(A3)
В уравнении (A3) мы опустим члены, описывающие пренебрежимо малый эффект дифракции ИБ-волн в плоскости ζ × ξ. Интегрируя (A3), мы получим
(A4)
Подставим (A4) в правые части первых двух уравнений системы (A1) и умножим эти уравнения на и соответственно. Затем интегрируем по x и z, что дает
(A5)
где – групповые скорости ВГ-волн вследствие конечного значения параллельного волнового числа,
коэффициент, описывающий вторичную неустойчивость. Процедура усреднения произвольной функции W по области локализации мод определяется следующим образом:
.
Об авторах
А. Ю. Попов
Физико-технический институт им. А.Ф. Иоффе
Автор, ответственный за переписку.
Email: a.popov@mail.ioffe.ru
Россия, Санкт-Петербург
Е. З. Гусаков
Физико-технический институт им. А.Ф. Иоффе
Email: a.popov@mail.ioffe.ru
Россия, Санкт-Петербург
Н. В. Теплова
Физико-технический институт им. А.Ф. Иоффе
Email: a.popov@mail.ioffe.ru
Россия, Санкт-Петербург
Список литературы
- Sagdeev R.Z., Galeev A.A. // In Nonlinear Physics Plasma Theory / Ed. by T. M. O’ Neil and D. L. Book. New York: Benjamin, 1969.
- Davidson B.C. // Methods in Nonlinear Plasma Theory. New York: Academic, 1972.
- Hasegawa A. // Plasma Instabilities and Nonlinear Effects. Berlin: Springer, 1975.
- Силин В.П. // ЖЭТФ. 1964. Т. 47. С. 2254–2265.
- Горбунов Л.М., Силин В.П. // ЖЭТФ. 1965. Т. 49. С. 1973.
- Jackson E.A. // Phys. Rev. 1967. V. 153. P. 255.
- Bers A., Kaup D.J., Reiman A. // Phys. Rev. Lett. 1976. V. 37. P. 182.
- Kaup D.J., Reiman A., Bers A. // Reviews of Modern Physics. 1979. V. 51. P. 275.
- Силин В.П. // ЖЭТФ. 1966. Т. 51. С. 1842.
- Horton W. // Reviews of Modern Physics. 1999. V. 71. P. 735.
- Piliya A.D. // Proc. 10th Conf. Phenomena in Ionized Gases (Oxford, UK, 13–18 September 1971). P. 320.
- Пилия А.Д. // ЖЭТФ. 1973. Т. 64. С. 1237.
- Rosenbluth M.N. // Phys. Rev. Lett. 1972. V. 29. P. 565.
- Reiman A. // Reviews of Modern Physics. 1979. V. 51. P. 331.
- Bers A. Basic Plasma Physics. Handbook of Plasma Physics by A.A. Galeev and R.N. Sudan. Elsevier Science Ltd, 1985.
- Гусаков Е.З., Федоров В.И. // Физика плазмы. 1979. Т. 5. С. 827.
- Popov A.Yu., Gusakov E.Z. // Plasma Phys. Control. Fusion. 2015. V. 57. P. 025022.
- Popov A. Yu., Gusakov E. Z. // Europhys. Lett. 2016. V. 116. P. 45002.
- Попов А.Ю., Гусаков Е.З. // Письма в ЖЭТФ. 2017. Т. 105. С. 64–69.
- Гусаков Е.З., Попов А.Ю. // УФН. 2020. Т. 190. P. 396.
- Hansen S.K., Nielsen S.K., Stober J., Rasmussen J., Stejner M., Hoelzl M., Jensen T. // Nucl. Fusion. 2020. V. 60. P. 106008.
- Hansen S.K., Jacobsen A.S., Willensdorfer M., Nielsen S.K., Stober J., Höfler K., Maraschek M., Fischer R., Dunne M. // Plasma Phys. Control. Fusion. 2021. V. 63. P. 095002.
- Tancetti A., Nielsen S.K., Rasmussen J., Gusakov E.Z., Popov A.Y., Moseev D., Stange T., Senstius M.G., Killer C., Vecsei M., Jensen T., Zanini M., Abramovic I., Stejner M., Anda G., Dunai D., Zoletnik S., Laqua H. // Nuclear Fusion. 2022. V. 62. P. 074003.
- Tancetti A., Nielsen S.K., Rasmussen J., Moseev D., Stange T., Marsen S., Vecséi M., Killer C., Wurden G.A., Jensen T., Stejner M., Anda G., Dunai D., Zoletnik S., Rahbarnia K., Brandt C., Thomsen H., Hirsch M., Hoefel U., Chaudhary N., Winters V., Kornejew P., Harris J., Laqua H.P. and the W7-X Team // Plasma Phys. Control. Fusion. 2023. V. 65. P. 015001.
- Gusakov E.Z., Popov A.Yu. // Physics of Plasmas. 2016. V. 23. P. 082503.
- Гусаков Е.З., Попов А.Ю. // Физика плазмы. 2023. Т. 49. С. 128.
- Гусаков Е.З., Попов А.Ю. // Физика плазмы. 2023. Т. 49. C. 753.
- Westerhof E., Nielsen S.K., Oosterbeek J.W., Salewski M., de Baar M.R., Bongers W.A., Bürger A., Hennen B.A., Korsholm S.B., Leipold F., Moseev D., Stejner M., Thoen D.J. // Phys. Rev. Lett. 2009. V. 103. P. 125001.
- Nielsen S.K., Salewski M., Westerhof E., Bongers W., Korsholm S.B., Leipold F., Oosterbeek J.W., Moseev D., Stejner M. // Plasma Phys. Control. Fusion. 2013. V. 55. P. 115003.
- Gusakov E.Z., Popov A.Yu., Tretinnikov P.V. // Nucl. Fusion. 2019. V. 59. 106040.
- Gusakov E.Z., Popov A.Yu. // Plasma Phys. Control. Fusion. 2020. V. 62. P. 025028.
- Gusakov E.Z., Popov A.Yu. // Nucl. Fusion. 2020. V. 60. P. 076018.
- Altukhov A.B., Arkhipenko V.I., Gurchenko A.D., Gusakov E.Z., Popov A.Yu., Simonchik L.V., Usachonak M.S. // Europhys. Lett. 2019. V. 126. P. 15002.
- Мещеряков А.И., Вафин И.Ю., Гришина И.А. // Физика плазмы. 2021. Т. 47. С. 22.
- Dnestrovskij Yu.N., Danilov A.V., Dnestrovskij A.Yu., Lysenko S.E., Melnikov A.V., Nemets A.R., Nurgaliev M.R., Subbotin G.F., Solovev N.A., Sychugov D.Yu., Cherkasov S.V. // Plasma Phys. Control. Fusion. 2021. V. 63. P. 055012.
- Abdullaev S.S., Finken K.H., Jakubowski M.W., Kasilov S.V., Kobayashi M., Reiser D., Reiter D., Runov A.M. and Wolf R. // Nucl. Fusion. 2003. V. 43. P. 299.
- Koslowski H.R., Westerhof E., de Bock M., Classen I., Jaspers R., Kikuchi Y., Krämer-Flecken A., Lazaros A., Liang Y., Löwenbrück K., Varshney S., von Hellermann M., Wolf R., Zimmermann O. and the TEXTOR team // Plasma Phys. Control. Fusion. 2006. V. 48. P. B53.
- Бейтман Г. // МГД-неустойчивости. M.: Энергоиздат, 1982.
- Kantor M.Yu., Donne A.J.H., Jaspers R., van der Meiden H. and TEXTOR Team // Plasma Phys. Control. Fusion. 2009. V. 51. P. 055002.
- Kantor M.Y., Bertschinger G., Bohm P., Buerger A., Donné A.J.H., Jaspers R., Krämer-Flecken A., Mann S., Soldatov S., Zang Qing // Proc. 36th EPS Conference on on Plasma Phys. (Sofia, Bulgaria) ECA 33E (2009) P-1.184.
- Ахиезер А.И., Ахиезер И.А., Половин Р.В., Ситенко А.Г., Степанов К.Н. Электродинамика плазмы. М.: Наука, 1974.
- Gusakov E.Z., Popov A.Yu., Saveliev A.N. // Plasma Phys. Control. Fusion. 2014. V. 56. P. 015010.
- Pustovalov V.V., Silin V.P. Theory of Plasmas. Consultants Bureau, 1975.
- Larsson J. // J. Plasma Physics. 1988. V. 40. P. 385.
- Gusakov E.Z., Popov A.Yu., Tretinnikov P.V. // Plasma Phys. Control. Fusion. 2019. V. 61. P. 085008.
- Cohen B.I., Cohen R.H., Nevins W.M., Rognlien T.D. // Rev. Mod. Phys. 1991. V. 63. P. 949.
- Гусаков Е.З., Попов А.Ю. // Письма в ЖЭТФ. 2022. Т. 116. С. 41.
- Петвиашвили В.И. // Письма в ЖЭТФ. 1976. Т. 23. С. 682.
- Некрасов А.К. // Физика плазмы. 1986. Т. 12. С. 971.
Дополнительные файлы












