On the Question of the Formation of the Lightning Current
- Authors: Aleksandrov N.L.1,2, Ponomarev A.A.2,3, Syssoev A.A.2,4, Iudin D.I.2,4
 - 
							Affiliations: 
							
- Moscow Institute of Physics and Technology (National Research University)
 - Gaponov-Grekhov Institute of Applied Physics, Russian Academy of Sciences
 - Higher School of Economics
 - Privolzhsky Research Medical University
 
 - Issue: Vol 49, No 11 (2023)
 - Pages: 1186-1204
 - Section: LOW TEMPERATURE PLASMA
 - URL: https://bakhtiniada.ru/0367-2921/article/view/233146
 - DOI: https://doi.org/10.31857/S0367292123601054
 - EDN: https://elibrary.ru/ZXWWLN
 - ID: 233146
 
Cite item
Full Text
Abstract
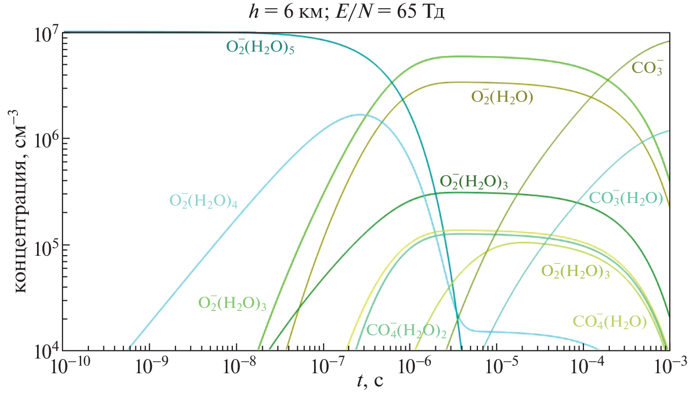
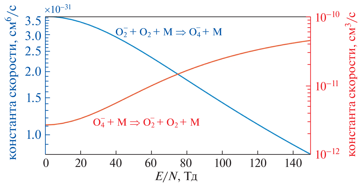
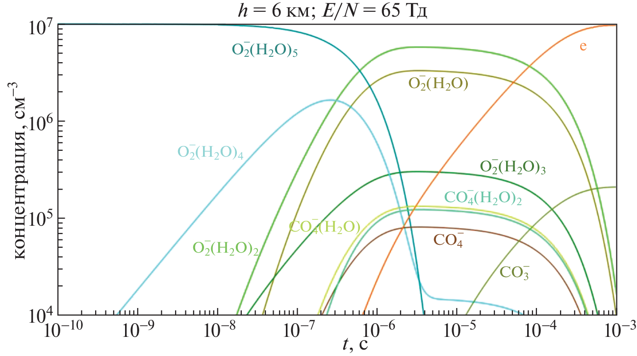
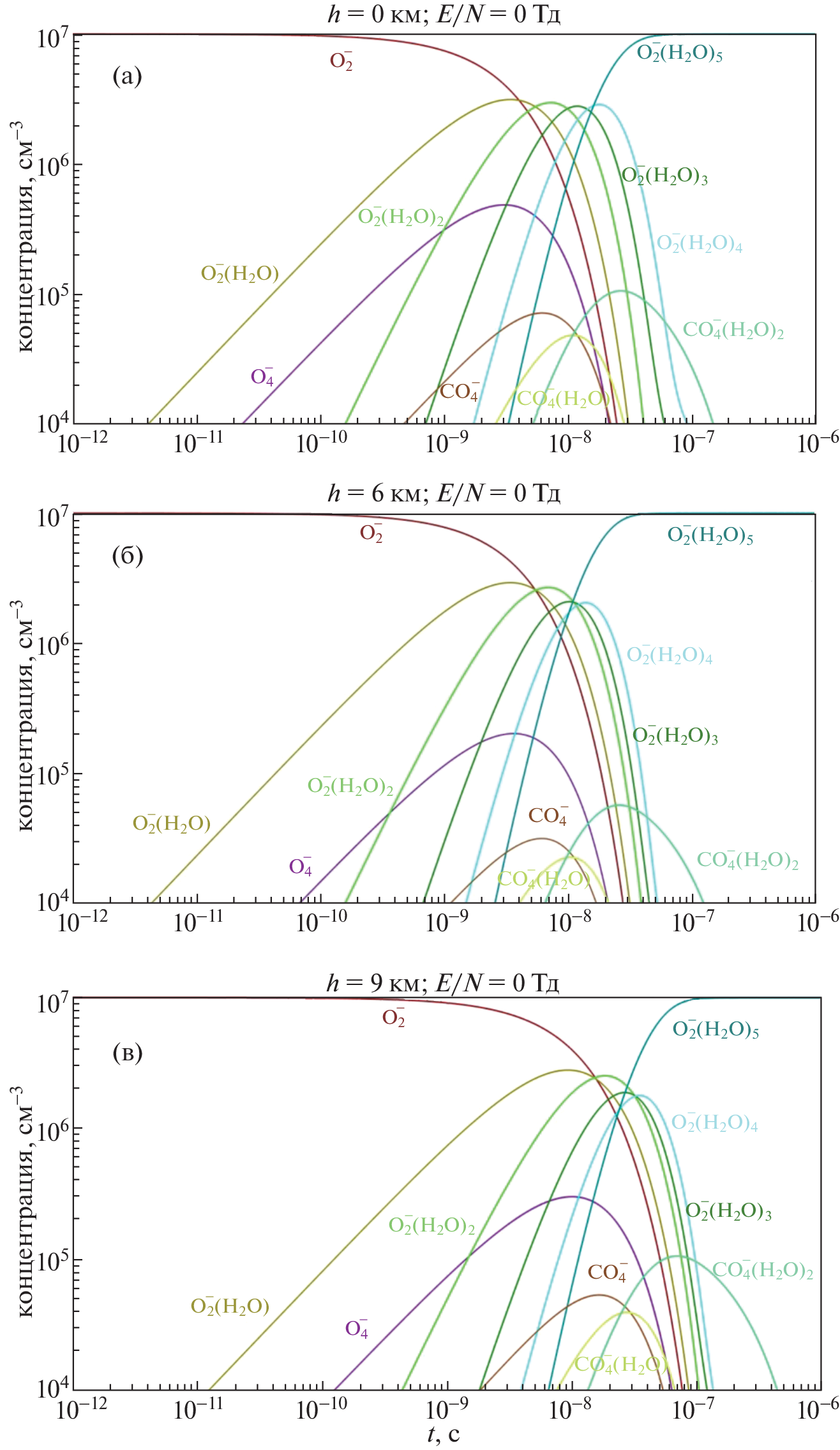
The bipolar lightning development model was used to study the dependence of the potential that is transported to the earth by the downward leader channel. It was shown that this parameter strongly depends on the starting position of the lightning and on the trajectories of formation of its bipolar leaders. It was shown that the main reason for the change in potential is not the loss of voltage in the lightning channel with a finite conductivity but its polarization in the electric field of the storm cloud. An estimate was made of the range of potential variation in the channel with ideal conductivity depending on the starting position and trajectory of the lightning at a constant charge in the thunderstorm cell. It was shown that, for the variation of the lighting current within two orders of magnitude, a mere twofold change in the charge of the thunderstorm cell is sufficient. The preferable starting position is found for the lightning whose upward leader can penetrate into the upper layers of the troposphere, turning into a blue jet.
About the authors
N. L. Aleksandrov
Moscow Institute of Physics and Technology (National Research University); Gaponov-Grekhov Institute of Applied Physics, Russian Academy of Sciences
														Email: plasphys@pleiadesonline.com
				                					                																			                												                								141701, Dolgoprudny, Moscow oblast, Russia; 603950, Nizhny Novgorod, Russia						
A. A. Ponomarev
Gaponov-Grekhov Institute of Applied Physics, Russian Academy of Sciences; Higher School of Economics
														Email: plasphys@pleiadesonline.com
				                					                																			                												                								603950, Nizhny Novgorod, Russia; 101000, Moscow, Russia						
A. A. Syssoev
Gaponov-Grekhov Institute of Applied Physics, Russian Academy of Sciences; Privolzhsky Research Medical University
														Email: plasphys@pleiadesonline.com
				                					                																			                												                								603950, Nizhny Novgorod, Russia; 603005, Nizhny Novgorod, Russia						
D. I. Iudin
Gaponov-Grekhov Institute of Applied Physics, Russian Academy of Sciences; Privolzhsky Research Medical University
							Author for correspondence.
							Email: plasphys@pleiadesonline.com
				                					                																			                												                								603950, Nizhny Novgorod, Russia; 603005, Nizhny Novgorod, Russia						
References
- Rakov V.A., Uman M.A. Lightning: physics and effects. Cambridge: Cambridge University Press, 2003.
 - Базелян Э.М., Райзер Ю.П. Физика молнии и молниезащиты. М.: Физматлит, 2001.
 - Dwyer J.R., Uman M.A. // Phys. Rep. 2014. V. 534. P. 147.
 - Crabb J.A., Latham J. // Q. J. R. Meteorol. Soc. 1974. V. 100. P. 191.
 - Griffiths R.F., Phelps C.T. // J. Geophys. Res. 1976, V. 81. P. 3671.
 - Gurevich A.V., Milikh G.M., Roussel-Dupre R. // Phys. Lett. A. 1992. V. 165. P. 463.
 - Gurevich A.V., Zybin K.P., Roussel-Dupre R.A. // Phys. Lett. A. 1999. V. 254. P. 79.
 - Гуревич А.В., Зыбин К.П. // УФН. 2001. Т. 171. С. 1177.
 - Dwyer J.R. // Geophys. Res. Lett. 2005. V. 32. P. L20808.
 - Иудин Д.И. // Изв. вузов. Радиофиз. 2017. Т. 60. С. 418.
 - Iudin D.I., Rakov V.A., Syssoev A.A., Bulatov A.A., Hayakawa M. // NPJ Clim. Atmos. Sci. 2019. V. 2. P. 46.
 - Iudin D.I., Rakov V.A., Syssoev A.A., Bulatov A.A., Hayakawa M. // Sci. Rep. 2021. V. 11. P. 18016.
 - Иудин Д.И., Сысоев А.А., Раков В.А. // Изв. вузов. Радиофизика. 2021. Т. 64. С. 867.
 - Иудин Д.И., Сысоев А.А., Раков В.А. // Электричество. 2022. № 11. С. 13.
 - Иудин Д.И., Сысоев А.А., Раков В.А. // Электричество. 2022. № 12. С. 13.
 - Иудин Д.И., Сысоев А.А., Раков В.А. // Электричество. 2023. № 1. С. 16.
 - Huertas M.L., Fontan J. // Atmosph. Environment. 1982. V. 16. P. 2527.
 - Ross S.K., Bell A.J. // Int. J. Mass Spectrom. 2002. V. 218. P. L1.
 - Skalny J.D., Mikoviny T., Matejcik S., Mason N.J. // Int. J. Mass Spectrom. 2004. V. 233. P. 317.
 - Nagato K., Kim C.S., Adachi M., Okuyama K. // Aerosol Sci. 2005. V. 36. P. 1036.
 - Nagato K., Matsui Y., Miyata T., Yamauchi T. // Int. J. Mass Spectrom. 2006. V. 248. P. 142.
 - Skalny J.D., Orszagh J., Mason N.J., Rees J.A., Aranda-Gonzalvo Y., Whitmore T.D. // Int. J. Mass Spectrom. 2008. V. 272. P. 12.
 - Allers M., Kirk A.T., Timke B., Erdogdu D., Wissdorf W., Benter T., Zimmermann S. // J. Am. Soc. Mass Spectrom. 2020. V. 31. P. 1861.
 - Heikes B.G., Treadaway V., McNeill A.S., Silwal I.K.C., O’Sullivan D.W. // Atmos. Meas. Tech. 2018. V. 11. P. 1851.
 - Zhang X., Guo Y., Mirpour S., Li Y., Sun A., Nijdam S. // J. Phys. D: Appl. Phys. 2021. V. 54. P. 485202.
 - Попов Н.А. // Физика плазмы. 2010. Т. 36. С. 867.
 - Huertas M.L., Fontan J., Gonzales J. // Atmosph. Environment. 1978. V. 12. P. 2351.
 - Филиппов А.В., Дербенев И.Н., Дятко Н.А., Куркин С.А., Лопанцева Г.Б., Паль А.Ф., Старостин А.Н. // ЖЭТФ. 2017. Т. 152. С. 293.
 - Райзер Ю.П. Физика газового разряда. М.: Наука, 1992.
 - Goldman M., Goldman A., Sigmond R.S. // Pure Appl. Chem. 1985. V. 57. P. 1353.
 - Zhang J., Adamiak K. // J. Electrostat. 2007. V. 65. P. 459.
 - Yanallah K., Pontiga F. // Plasma Sources Sci. Technol. 2012. V. 21. P. 045007.
 - Александров Н.Л. // УФН. 1988. Т. 154. С. 177.
 - Sieck L.W., Herron J.T., Green D.S. // Plasma Chem. Plasma Proc. 2000. V. 20. P. 235.
 - Смирнов Б.М. Комплексные ионы. М.: Наука, 1983.
 - Troe J. // Chem Rev. 2003, V. 103. P. 4565.
 - Wannier G.H. // Bell Syst. Tech. J. 1953. V. 32. P. 170.
 - Kossyi I.A., Kostinsky A.Y., Matveyev A.A., Sila-kov V.P. // Plasma Sources Sci. Technol. 1992. V. 1. P. 207.
 - Arshadi M., Kebarle P. // J. Phys. Chem. 1970. V. 74. P. 1483.
 - Keesee R.G., Castlemann A.W., Jr. // J. Phys. Chem. Ref. Data. 1986. V. 15. P. 1011.
 - Bork N., Kurten T., Enghoff M.B., Pedersen J.O.P., Mikkelsen K.V., Svensmark H. // Atmos. Chem. Phys. 2011. V. 11. P. 7133.
 - Payzant J.D., Kebarle P. // J. Chem. Phys. 1972. V. 56. P. 3482.
 - Fehsenfeld F.C., Ferguson E.E. // J. Chem. Phys. 1974. V. 61. P. 3181.
 - Huertas M.L., Fontan J., Gonzalez J. // Atm. Environment. 1979. V. 12. P. 2351.
 - Синькевич А.А., Довгалюк Ю.А. // Изв. вузов. Радиофизика. 2013. Т. LVI. С. 908.
 - Thermopedia. Atmosphere (Physical Properties of). 2021. Available online: https://www.thermopedia.com/content/570/ (accessed on 5 July 2023).
 - Зуев В.Е., Комаров В.С., Ломакина Н.Я., Михайлов С.А. // Докл. АН СССР. 1985. Т. 280. № 5. С. 1086.
 - Okabe H. Photochemistry of Small Molecules. Hoboken, NJ, USA: John Wihely & Sons Inc., 1978.
 - Andrews D.G. An Introduction to Atmospheric Physics. New York, NY, USA: Cambridge Univ. Press, 2010.
 - Melo S.M.L., Farahani E., Strong K., Bassford M.R., Preston K.E., McLinden C.A. // Adv. Space Res. 2004. V. 34. P. 786.
 - Tsai T.R., Rose R.A., Weidmann D., Wysocki G. // Appl. Opt. 2012. V. 51. P. 8779.
 - Ponomarev A.A., Aleksandrov N.L. // Plasma Sources Sci. Technol. 2015. V. 24. P. 035001.
 - Gallimberti I. // J. Phys. (Paris). 1979. V. 40. P. C7.
 - Syssoev A., Iudin D., Iudin F., Klimashov V., Emelyanov A. // Atmosphere. 2021. V. 12. P. 1046.
 - Радциг А.А., Смирнов Б.М. Справочник по атомной и молекулярной физике. М.: Атомиздат, 1980.
 - Арцимович Л.А. Элементарная физика плазмы. М.: Атомиздат, 1969.
 - Bazelyan E.M., Aleksandrov N.L., Raizer Yu.P., Konchakov A.M. // Atm. Res. 2007. V. 86. P. 126.
 - Naidis G.V. // J. Phys. D: Appl. Phys. 1992. V. 25. P. 477.
 - Naidis G.V. // J. Phys. D: Appl. Phys. 1997. V. 30. P. 1214.
 - Bazelyan E.M., Raizer Yu.P., Aleksandrov N.L. // Plasma Sources Sci. Technol. 2008. V. 17. P. 024015.
 - Young C.E., Falconer W.E. // J. Chem. Phys. 1972. V. 57. P. 918.
 - Пономарев А.А., Александров Н.Л. // Физика плазмы. 2022. Т. 48. С. 152.
 - Aleksandrov N.L., Bazelyan E.M., Ponomarev A.A., Starikovskiy A.Yu. // J. Phys. D: Appl. Phys. 2022. V. 55. P. 383002.
 - Capitelli M., Ferreira C.M., Gordiets B.F., Osipov A.I. Plasma kinetics in atmospheric gases. Springer, 2000.
 - Ponomarev A.A., AleksandrovN.L. // J. Phys. D: Appl. Phys. 2020 V. 53 № 5. P. 055203.
 - Payzant J.D., Cunningham A.J., Kebarle P. // Can. J. Chem. 1972. V. 50. P. 2230.
 
Supplementary files
				
			
					
						
						
						
						
				











