First Experiments on Reduction the Heat Load on the Divertor Plates of the Globus-M2 Tokamak Using Nitrogen Seeding and Their Comparison with Simulation Results
- Authors: Zhiltsov N.S.1, Kiselev E.O.1, Kurskiev G.S.1, Minaev V.B.1, Miroshnikov I.V.1, Molchanov P.A.2, Novokhatsky A.N.1, Petrov Y.V.1, Rozhansky V.A.3, Sakharov N.V.1, Telnova A.Y.1, Timokhin V.M.3, Tkachenko E.E.1, Tokarev V.A.1, Tukhmeneva E.A.1, Shchegolev P.B.1, Khromov N.A.1, Bakharev N.N.1, Vekshina E.O.3, Gusev V.K.1, Dolgova K.V.3
-
Affiliations:
- Ioffe Institute, Russian Academy of Sciences
- Peter the Great Saint Petersburg Polytechnic University
- Peter the Great St. Petersburg Polytechnic University
- Issue: Vol 49, No 12 (2023)
- Pages: 1327-1336
- Section: TOKAMAKS
- URL: https://bakhtiniada.ru/0367-2921/article/view/233142
- DOI: https://doi.org/10.31857/S0367292123601029
- EDN: https://elibrary.ru/CFFAWX
- ID: 233142
Cite item
Full Text
Abstract
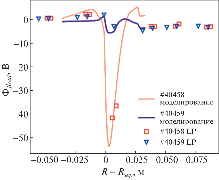
At the compact spherical Globus-M2 tokamak, a series of experiments was conducted to study the
effect of the injection of nitrogen on the discharge parameters. The experiments were carried out in discharges
in deuterium in the divertor configuration, and the auxiliary heating was performed by deuterium
neutral beam injection. During the nitrogen seeding, a substantial decrease in electron temperature near the
divertor was recorded as well as a sharp decrease of the heat flux onto the divertor plate, while the density and
temperature of the main plasma changed insignificantly. Simulations by the SOLPS-ITER showed a satisfactory
agreement with the experiment.
Keywords
About the authors
N. S. Zhiltsov
Ioffe Institute, Russian Academy of Sciences
Email: Nikolay.Khromov@mail.ioffe.ru
St. Petersburg, 194021 Russia
E. O. Kiselev
Ioffe Institute, Russian Academy of Sciences
Email: Nikolay.Khromov@mail.ioffe.ru
St. Petersburg, 194021 Russia
G. S. Kurskiev
Ioffe Institute, Russian Academy of Sciences
Email: Nikolay.Khromov@mail.ioffe.ru
St. Petersburg, 194021 Russia
V. B. Minaev
Ioffe Institute, Russian Academy of Sciences
Email: Nikolay.Khromov@mail.ioffe.ru
St. Petersburg, 194021 Russia
I. V. Miroshnikov
Ioffe Institute, Russian Academy of Sciences
Email: Nikolay.Khromov@mail.ioffe.ru
St. Petersburg, 194021 Russia
P. A. Molchanov
Peter the Great Saint Petersburg Polytechnic University
Email: Nikolay.Khromov@mail.ioffe.ru
St. Petersburg, 195251 Russia
A. N. Novokhatsky
Ioffe Institute, Russian Academy of Sciences
Email: Nikolay.Khromov@mail.ioffe.ru
St. Petersburg, 194021 Russia
Yu. V. Petrov
Ioffe Institute, Russian Academy of Sciences
Email: Nikolay.Khromov@mail.ioffe.ru
St. Petersburg, 194021 Russia
V. A. Rozhansky
Peter the Great St. Petersburg Polytechnic University
Email: Nikolay.Khromov@mail.ioffe.ru
St. Petersburg, 195251 Russia
N. V. Sakharov
Ioffe Institute, Russian Academy of Sciences
Email: Nikolay.Khromov@mail.ioffe.ru
St. Petersburg, 194021 Russia
A. Yu. Telnova
Ioffe Institute, Russian Academy of Sciences
Email: Nikolay.Khromov@mail.ioffe.ru
St. Petersburg, 194021 Russia
V. M. Timokhin
Peter the Great St. Petersburg Polytechnic University
Email: Nikolay.Khromov@mail.ioffe.ru
St. Petersburg, 195251 Russia
E. E. Tkachenko
Ioffe Institute, Russian Academy of Sciences
Email: Nikolay.Khromov@mail.ioffe.ru
St. Petersburg, 194021 Russia
V. A. Tokarev
Ioffe Institute, Russian Academy of Sciences
Email: Nikolay.Khromov@mail.ioffe.ru
St. Petersburg, 194021 Russia
E. A. Tukhmeneva
Ioffe Institute, Russian Academy of Sciences
Email: Nikolay.Khromov@mail.ioffe.ru
St. Petersburg, 194021 Russia
P. B. Shchegolev
Ioffe Institute, Russian Academy of Sciences
Email: Nikolay.Khromov@mail.ioffe.ru
St. Petersburg, 194021 Russia
N. A. Khromov
Ioffe Institute, Russian Academy of Sciences
Email: Nikolay.Khromov@mail.ioffe.ru
St. Petersburg, 194021 Russia
N. N. Bakharev
Ioffe Institute, Russian Academy of Sciences
Email: Nikolay.Khromov@mail.ioffe.ru
St. Petersburg, 194021 Russia
E. O. Vekshina
Peter the Great St. Petersburg Polytechnic University
Email: Nikolay.Khromov@mail.ioffe.ru
St. Petersburg, 195251 Russia
V. K. Gusev
Ioffe Institute, Russian Academy of Sciences
Email: Nikolay.Khromov@mail.ioffe.ru
St. Petersburg, 194021 Russia
K. V. Dolgova
Peter the Great St. Petersburg Polytechnic University
Author for correspondence.
Email: Nikolay.Khromov@mail.ioffe.ru
St. Petersburg, 195251 Russia
References
- Kukushkin A.S., Pacher H.D., Loarte A., Komarov V., Kotov V., Merola M., Pacher G.W. and Reiter D. // Nucl. Fusion. 2009. V. 49. № 7. P. 075008. https://doi.org/10.1088/0029-5515/49/7/075008
- Leonard A.W. // Plasma Phys. Control. Fusion. 2018. V. 60. № 4. 044001 https://doi.org/10.1088/1361-6587/aaa7a9
- Reimold F., Wischmeier M., Bernert M., Potzel S., Kallenbach A., Müller H.W., Sieglin B., Stroth U. and the ASDEX Upgrade Team // Nucl. Fusion. 2015. V. 55. № 3. P. 033004. https://doi.org/10.1088/0029-5515/55/3/033004
- Komm M., Khodunov I., Cavalier J., Vondracek P., Henderson S., Seidl J., Horacek J., Naydenkova D., Ada-mek J., Bilkova P., Bohm P., Devitre A., Dimitrova M., Elmore S., Faitsch M., Hacek P., Havlicek J., Havra-nek A., Imrisek M., Krbec J., Peterka M., Panek R., Samoylov O., Sos M., Tomes M., Tomova K., Weinzettl V. and The EUROfusion MST1 Team // Nucl. Fusion. 2019. V. 59. № 10. P. 106035. https://doi.org/10.1088/1741-4326/ab34d2
- Kallenbach A., Bernert M., Dux R., Casali L., Eich T., Giannone L., Herrmann A., McDermott R., Mlynek A., Müller H.W., Reimold F., Schweinzer J., Sertoli M., Tardini G., Treutterer W., Viezzer E., Wenninger R., Wischmeier M. and the ASDEX Upgrade Team. // Plasma Phys. Control. Fusion. 2013. V. 55. № 12. P. 124041. https://doi.org/10.1088/0741-3335/55/12/124041
- Курскиев Г.С., Жильцов Н.С., Коваль А.Н., Кор-нев А.Ф., Макаров А.М., Мухин Е.Е., Петров Ю.В., Сахаров Н.В., Соловей В.А., Ткаченко Е.Е., Толстяков С.Ю., Чернаков П.В. // Письма в ЖТФ. 2021. Т. 47. Вып. 24. С. 41. https://doi.org/10.21883/PJTF.2021.24.51799.19019
- Counsell G.F., Ahn J.-W., Akers R., Arends E., Fiel-ding S.J., Helander P., Kirk A., Meyer H., Tabasso A., Wilson H., Yang. Y. // J. Nucl. Mater. 2003. V. 313–316. № 3. P. 804. https://doi.org/10.1016/S0022-3115(02)01439-3
- Хромов Н.А., Векшина Е.О., Гусев В.К., Литунов-ский Н.В., Патров М.И., Петров Ю.В., Саха-ров Н.В. // ЖТФ. 2021. Т. 91. Вып. 3. С. 421. https://doi.org/10.21883/JTF.2021.03.50518.227-20
- Février O., Theiler C., De Oliveira H., Labit B., Fedorczak N., Baillod A. // Review of Scientific Instruments. 2018. V. 89. № 5. P. 053502. https://doi.org/10.1063/1.5022459
- Kuang A.Q., Brunner D., LaBombard B., Leccacorvi R., Vieira R.// Review of Scientific Instruments. 2018. V. 89. № 4. P. 043512. https://doi.org/10.1063/1.5023905
- Loarte A., Monk R.D., Martin-Solis J.R., Campbell D.J., Chankin A.V., Clement S., Davies S.J., Ehrenberg J., Erents S.K., Guo H.Y., Harbour P.J., Horton L.D., Inges-son L.C., J¨ackel H., Lingertat J., Lowry C.G., Mag-gi C.F., Matthews G.F., McCormick K., O’Brien D.P., Reichle R., Saibene G., Smith R.J., Stamp M.F., Stork D., Vlases G.C. // Nucl. Fusion. 1998. V. 38. № 3. P. 331. https://doi.org/10.1088/0029-5515/38/3/303
- Stangeby P.C. The Plasma Boundary of Magnetic FusionDevices (IoP Publishing, Bristol), 2000.
- Antar G.Y., Counsell G., Ahn J.-W., Yang Y., Price M., Tabasso A., Kirk A. // Phys. Plasmas. 2005. V. 12. № 3. 032506. https://doi.org/10.1063/1.1861894
- Stangeby P.C., McCracken G.M. // Nucl. Fusion. 1990. V. 30. № 7. 1225. https://doi.org/10.1088/0029-5515/30/7/005
- Eich T., Leonard A.W., Pitts R.A., Fundamenski W., Goldston R.J., Gray T.K., Herrmann A., Kirk A., Kallenbach A., Kardaun O., Kukushkin A.S., LaBombard B., Maingi R., Makowski M.A., Scarabosio A., Sieglin B., Terry J., Thornton A. // Nucl. Fusion. 2013. V. 53. № 9. P. 093031. https://doi.org/10.1088/0029-5515/53/9/093031
- Loarte A., Hughes J.W., Reinke M.L., Terry J.L., LaBom-bard B., Brunner D., Greenwald M., Lipschultz B., Ma Y., Wukitch S., Wolfe S. // Phys. Plasmas. 2011. V. 18. № 5. P. 056105. https://doi.org/10.1063/1.3567547
- Kallenbach A., Dux R., Fuchs J.C., Fischer R., Geiger B., Giannone L., Herrmann A., Lunt T., Mertens V., McDermott R., Neu R., Pütterich T., Rathgeber S., Rohde V., Schmid K., Schweinzer J., Treutterer W. and ASDEX Upgrade Team // Plasma Phys. Control. Fusion. 2010. V. 52. № 5. P. 055002. https://doi.org/10.1088/0741-3335/52/5/055002
- Rozhansky V., Kaveeva E., Senichenkov I., Sytova E., Veselova I., Voskoboynikov S., Coster D. // Contrib. Plasma Phys. 2018. V. 58. № 6–8. P. 540. https://doi.org/10.1002/ctpp.201700119
- Vekshina E., Dolgova K., Rozhansky V., Kaveeva E., Se-nichenkov I ., Molchanov P., Timokhin V., Khromov N., Zhiltsov N., Bakharev N., Kiselev E., Tuhmeneva E. // Phys. Plasmas. 2023. V. 30. № 042504. https://doi.org/10.1063/5.0134542
- Khodunov I., Komm M., Havranek A., Adamek J., Bohm P., Cavalier J., Seidl J., Devitre A., Dimitrova M., Elmore S., Faitsch M., Hacek P., Havlicek J., Hron M., Imrisek M., Krbec J., Peterka M., Panek R., Samoy-lov O., Tomes M., Tomova K., Vondracek P., Weinzettl V. and the EUROfusion MST1 Team // Plasma Phys. Control. Fusion. 2021. V. 63. № 6. P. 065012. https://doi.org/10.1088/1361-6587/abf03e
Supplementary files










