Studies of Dynamics of Neutral Component of Current Sheet Plasma, Based on Spectral Broadening of Helium Line He I 5876 Å
- Authors: Kyrie N.P.1, Kharlachev D.E.1, Shpakov K.V.1
-
Affiliations:
- Prokhorov General Physics Institute, Russian Academy of Sciences
- Issue: Vol 49, No 11 (2023)
- Pages: 1092-1100
- Section: PLASMA DYNAMICS
- URL: https://bakhtiniada.ru/0367-2921/article/view/233131
- DOI: https://doi.org/10.31857/S0367292123601194
- EDN: https://elibrary.ru/FOKMZO
- ID: 233131
Cite item
Full Text
Abstract
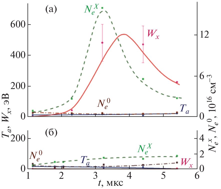
Spectroscopy methods were used for studying the dynamics of neutral plasma component in current sheets formed in two-dimensional (2D) and three-dimensional (3D) magnetic configurations during discharge in helium. It has been ascertained that when the current sheet is formed in the 2D magnetic field, flows of fast suprathermal helium atoms appear in it, which are directed along the current sheet width (the largest of the sheet transverse dimensions). It is shown that helium atoms can acquire the directed energy Wx due to the resonance charge exchange of accelerated ions in the current sheet plasma. The energy of directed motion of helium atoms can reach Wx ≈ (480 ± 120) eV, which is ~20 times higher than the temperature of helium atoms Ta ≈ (20 ± 2) eV at the same times. During the current sheet formation in the 3D magnetic configuration, fast helium atoms were not observed.
About the authors
N. P. Kyrie
Prokhorov General Physics Institute, Russian Academy of Sciences
Email: natalya.kyrie@yandex.ru
119991, Moscow, Russia
D. E. Kharlachev
Prokhorov General Physics Institute, Russian Academy of Sciences
Email: harlachdanila@gmail.com
119991, Moscow, Russia
K. V. Shpakov
Prokhorov General Physics Institute, Russian Academy of Sciences
Author for correspondence.
Email: konstantine.shpakov@gmail.com
119991, Moscow, Russia
References
- Syrovatskii S.I. // Annu. Rev. Astron. Astrophys. 1981. V. 19. P. 163.
- Кадомцев Б.Б. // УФН 1981. Т. 151. С. 3.
- Прист Э., Форбс Т. Магнитное пересоединение. – М.: Физматлит. 2005. 592 с.
- Франк А.Г. // УФН 2010. Т. 180. С. 982.
- Yamada M., Kulsrud R., H Ji. // Rev. Modern Phys. 2010. V. 82 (1). P. 603.
- Yamada M., Yoo J., Myers C.E. // Phys. Plasmas. 2016. V. 23 (5). P. 055402(1).
- Yamada M. Magnetic reconnection: a modern synthesis of theory, experiment, and observations. – Princeton University Press. Princeton Series in Astrophysics. 2022. V. 47. 312 p.
- Gekelman W., De Haas T., Daughton W., Van Compernolle B., Intrator T., Vincena S. // Phys. Rev. Lett. 2016. V. 116. P. 235101 (1).
- Frank. A.G, Kyrie N.P., Satunin S.N. // Phys. Plasmas. 2011. V. 18 (11). P. 111209 (1).
- Artemyev A.V., Petrukovich A.A., Frank A.G., Vasko I.Y., Nakamura R., Zelenyi L.M. // J. Geophys. Res. 2013. V. 118. P. 2789 (1).
- Zelenyi L.M., Frank A.G., Artemyev A.V., Petruko-vich A.A., Nakamura R. // Plasma Phys. & Controlled Fusion 2016. V. 58. P. 054002 (1).
- Frank A.G., Artemyev A.V., Zelenyi L.M. // J. Exp. Theor. Phys. 2016. V. 123. P. 699.
- Frank A.G., Kyrie N.P., Satunin S.N., Savinov S.A. // Universe 2021. V. 7 (11). P. 400 (1).
- Nakamura R., BaumjohannW., Mouikis C., Kistler L.M., Runov A., Volwerk M., Asano Y., Voros Z., Zhang T.L., Klecker B., Reme H., Balogh A. // Geophys. Res. Lett. 2004. V. 31 (9). P. 9804.
- Juusola L., Hoilijoki S., Pfau-Kempf Y., Ganse U., Jar-vinen R., Battarbee M., Kilpua E., Turc L., Palmroth M. // Ann. Geophys. 2018. V. 36 (5). P. 1183.
- Hoshino M., Mukai T., Shinohara I., Saito Y., Koku-bun S. // J. Geophys. Res. 2000. V. 105. P. 337.
- Walia N.K., Seki K., Amano T. // J. Geophys. Res. 2022. V. 127 (5). P. 30066.
- Frank A.G., Artemyev A.V., San Lu, Xiao-Jia Zhang, K-yrie N.P. // Plasma Phys. Control. Fusion 2023. V. 65. P. 095006(1).
- Франк А.Г., Гавриленко В.П., Кирий Н.П., Островская Г.В. // Энциклопедия низкотемпературной плазмы. Серия Б. Том III-2. М: Янус-К. 2008. С. 335.
- Кирий Н.П., Марков В.С., Франк А.Г. // Физика плазмы. 2010. Т. 36 (4). С. 387.
- Кирий Н.П., Франк А.Г. // Физика плазмы. 2012. Т. 38. С. 1042.
- Кирий Н.П., Марков В.С., Франк А.Г. // Письма в ЖЭТФ. 2012. Т. 95. С. 17.
- Frank A.G., Kyrie N.P. // Plasma Phys. Rep. 2017. V. 43. P. 696.
- Кирий Н.П., Франк А.Г., Васильков Д.Г. // Физика плазмы. 2019. Т. 45 (4). С. 313.
- Kyrie N.P., Savinov S.A. // PPHR. 2021. V. 47 (6). P. 611.
- Харлачев Д.Е., Кирий Н.П. // Сборник научных статей VI Международной научно-практической конференции “Актуальные проблемы и перспективы развития радиотехнических и инфокоммуникационных систем” Радиоинфоком-2022. Москва 2022. С. 266.
- Кирий Н.П., Франк А.Г., Мингалеев А.Р., Мавлю-дов Т.Б., Шпаков К.В., Байдин И.С. // Физика плазмы. 2022. Т. 48. С. 1035. https://doi.org/10.31857/S0367292122601102
- www.nanoscan.su
- Грим Г. Спектроскопия плазмы. М.: Атомиздат. 1969.
- Грим Г. Уширение спектральных линий в плазме. М.: Мир. 1978.
- Майоров С.А. // Краткие сообщения по физике ФИАН 2007. Т. 34 (2). С. 26.
- Майоров С.А. // Краткие сообщения по физике ФИАН. 2012. Т. 39 (2). С. 31.
- Голятина Р.И., Майоров С.А. // Прикладная физика. 2011. № 5. С. 22.
- Королев Ю.Д. Элементарные и кинетические процессы в газоразрядной плазме. Издательство Томского политехнического университета. 2008.
- Смирнов Б.М. Введение в физику атомных столкновений. М.: Атомиздат. 1973.
- Смирнов Б.М. Ионы и возбужденные атомы в плазме. М.: Атомиздат. 1974.
- Райзер Ю.П. Физика газового разряда. М.: Наука. 1987.
Supplementary files







