Divertor Thomson Scattering on Globus-M2
- Authors: Ermakov N.V.1, Zhiltsov N.S.1, Kurskiev G.S.1, Mukhin E.E.1, Tolstyakov S.Y.1, Tkachenko E.E.1, Solovey V.A.1, Bocharov I.V.1, Dolgova K.V.2, Cavin A.A.3, Koval A.N.1, Nikolaenko K.O.1, Novokhatski A.N.1, Petrov Y.V.1, Rozhansky V.A.2, Sakharov N.V.1, Senichenkov I.Y.2
-
Affiliations:
- Ioffe Institute
- Peter the Great SPbPU
- Efremov Institute
- Issue: Vol 49, No 12 (2023)
- Pages: 1271-1281
- Section: TOKAMAKS
- URL: https://bakhtiniada.ru/0367-2921/article/view/233130
- DOI: https://doi.org/10.31857/S036729212360098X
- EDN: https://elibrary.ru/CFQPRJ
- ID: 233130
Cite item
Full Text
Abstract
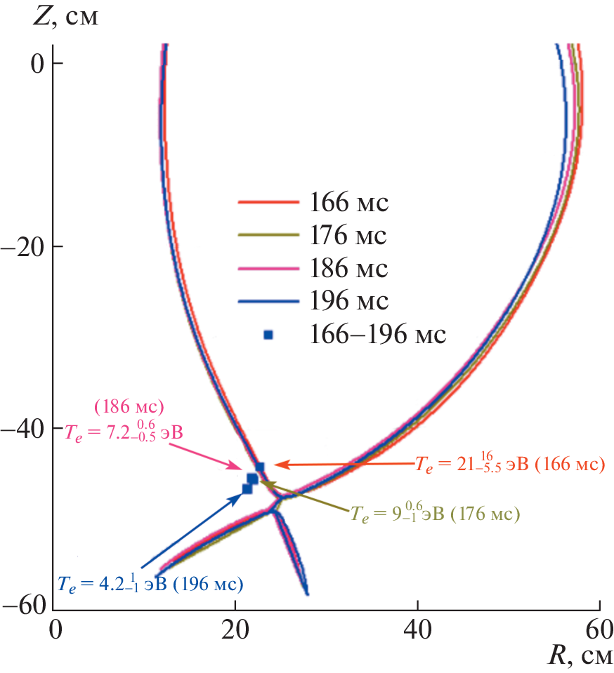
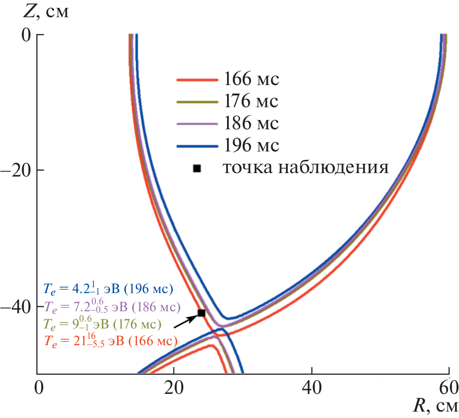
We present the first Thomson scattering (TS) measurements of electron temperature and density
in the lower divertor of the Globus-M2 tokamak. The divertor TS diagnostics is designed for local measurements
of the Te(z, t) in the range of 1–100 eV and ne(z, t) in the range of m–3. Parameters of the
probing Nd:YAG laser are as follows 1064 nm/2 J/100 Hz/3 ns. The probing chord is launched vertically at
R = 24 cm and covers areas of the inner leg, vicinity of separatrix and private flux region. Along probing chord
of 110 mm, 9 spatial points were realized. Advanced filter polychromators were used to analyze Thomson
scattering spectra.
Keywords
About the authors
N. V. Ermakov
Ioffe Institute
Email: ermafin@gmail.com
St. Petersburg, Russia
N. S. Zhiltsov
Ioffe Institute
Email: ermafin@gmail.com
St. Petersburg, Russia
G. S. Kurskiev
Ioffe Institute
Email: ermafin@gmail.com
St. Petersburg, Russia
E. E. Mukhin
Ioffe Institute
Email: ermafin@gmail.com
St. Petersburg, Russia
S. Yu. Tolstyakov
Ioffe Institute
Email: ermafin@gmail.com
St. Petersburg, Russia
E. E. Tkachenko
Ioffe Institute
Email: ermafin@gmail.com
St. Petersburg, Russia
V. A. Solovey
Ioffe Institute
Email: ermafin@gmail.com
St. Petersburg, Russia
I. V. Bocharov
Ioffe Institute
Email: ermafin@gmail.com
St. Petersburg, Russia
K. V. Dolgova
Peter the Great SPbPU
Email: ermafin@gmail.com
St. Petersburg, Russia
A. A. Cavin
Efremov Institute
Email: ermafin@gmail.com
St. Petersburg, Russia
A. N. Koval
Ioffe Institute
Email: ermafin@gmail.com
St. Petersburg, Russia
K. O. Nikolaenko
Ioffe Institute
Email: ermafin@gmail.com
St. Petersburg, Russia
A. N. Novokhatski
Ioffe Institute
Email: ermafin@gmail.com
St. Petersburg, Russia
Yu. V. Petrov
Ioffe Institute
Email: ermafin@gmail.com
St. Petersburg, Russia
V. A. Rozhansky
Peter the Great SPbPU
Email: ermafin@gmail.com
St. Petersburg, Russia
N. V. Sakharov
Ioffe Institute
Email: ermafin@gmail.com
St. Petersburg, Russia
I. Yu. Senichenkov
Peter the Great SPbPU
Author for correspondence.
Email: ermafin@gmail.com
St. Petersburg, Russia
References
- Bakharev N.N., Balachenkov I.M., Chernyshev F.V. // Plasma Phys. Reports. 2020. V. 46. P. 675–682. https://doi.org/10.1134/S1063780X20070016
- Stangeby P.S. // Nucl. Fusion 1993. V 33. № 11. P. 1695. https://doi.org/10.1088/0029-5515/33/11/I10
- Kurzan B. // JINST. 2021. V. 16. P. C09012 https://doi.org/10.1088/1748-0221/16/09/C09012
- Glass F., Carlstrom T.N. et al. // Rev Sci Instrum. 2016 Nov. V. 87. № 11. P. 11E508. https://doi.org/10.1063/1.4955281
- Hawke J. // JINST. 2013. V. 8. https://doi.org/10.1088/1748-0221/8/11/C11010
- Петров Ю.В., Багрянский П.А., Балаченков И.М., Бахарев Н.Н., Брунков П.Н., Варфоломеев В.И., Во-ронин А.В., Гусев В.К., Горяинов В.А., Дьяченко В.В., Ермаков Н.В., Жилин Е.Г., Жильцов Н.С., Иванен-ко С.В., Ильясова М.В., Кавин А.А., Киселев Е.О., Коновалов А.Н., Крикунов С.В., Курскиев Г.С. и др. // Физика плазмы. 2023. Т. 49. № 12. С.
- Mukhin E.E. // JINST. 2012. № 7. C. 02063. https://doi.org/10.1088/1748-0221/7/02/C02063
- Kurskiev G., Chernakov Al.P., Solovey V.A., Tolstya-kov S.Yu., Mukhin E.E., Koval A.N., Bazhenov A.N., Aleksandrov S.E., Zhiltsov N.S., Senichenkov V.A., Lukoyanova A.V., Chernakov P.V., Varfolomeev V.I., Gu-sev V.K., Kiselev E.O., Petrov Yu.V., Sakharov N.V.,. Minaev V.B, Novokhatsky A.N., Patrov Yu.V., Bel’bas I.S. // Nucl. Instrum. Methods Phys. Res. A. 2020. V. 963. P. 163734. https://doi.org/10.1016/j.nima.2020.163734
- Dolgova K., Vekshina E., Rozhansky V. // Plasma Phys. Control. Fusion. 2023. to be published
- LabSphere Variable Modular HELIOS System. https://www.labsphere.com/product/helios-plus-v-family/
- Официальный сайт производителя, URL https://www.leukos-laser.com/our-products/electro-visir/
- Penney Carl M., // J. Opt. Soc. Am. 1969. 59. P. 34
- Solokha V.V., Kurskiev G.S., Mukhin E.E. // Phys. Atom. Nuclei. 2018. V. 81. P. 1053. https://doi.org/10.1134/S1063778818070116
- Vasiliev V.I., Kostsov Yu.A., Lobanov K.M., Makarova L.P., Mineev A.B., Gusev V.K., Levin R.G., Petrov Yu.V. and Sakharov N.V. // Nucl. Fusion. 2006. V. 46. № 8. P. S625. https://doi.org/10.1088/0029-5515/46/8/S08
Supplementary files



















