Numerical Analysis of the Influence of Evaporation of the High- and Low-Melting-Point Anode Materials on Parameters of a Microarc Discharge
- Authors: Saifutdinov A.I.1, Germanov N.P.1, Sorokina A.R.1, Saifutdinova A.A.1
-
Affiliations:
- Tupolev Kazan National Research Technical University
- Issue: Vol 49, No 10 (2023)
- Pages: 982-994
- Section: INTERACTION OF PLASMA WITH SURFACES
- URL: https://bakhtiniada.ru/0367-2921/article/view/232783
- DOI: https://doi.org/10.31857/S0367292123600589
- EDN: https://elibrary.ru/EQFVDB
- ID: 232783
Cite item
Full Text
Abstract
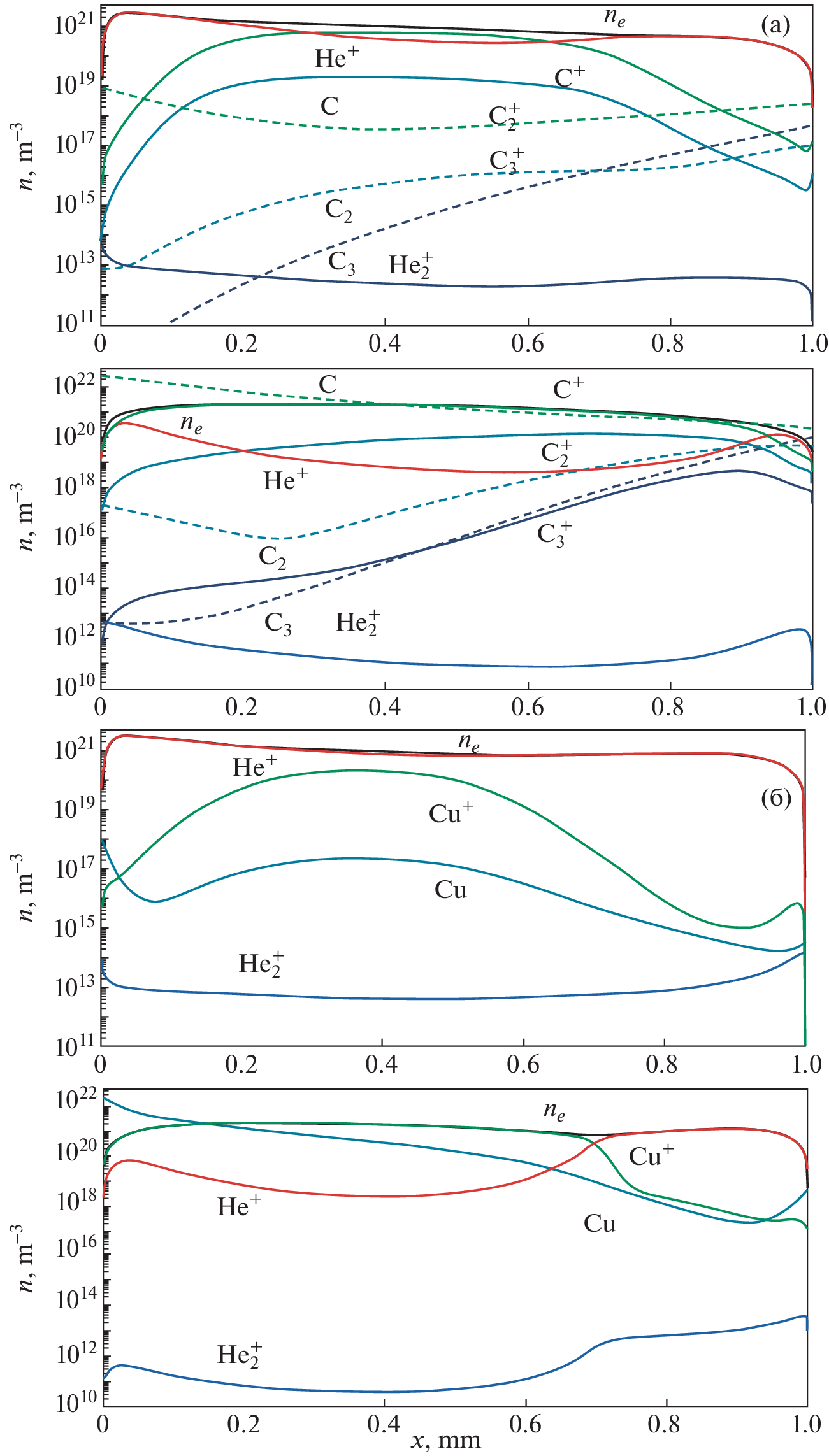
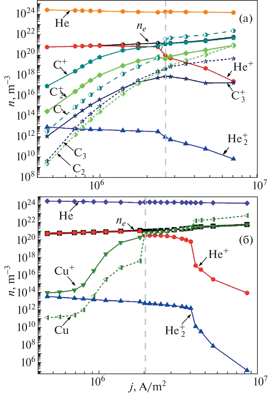
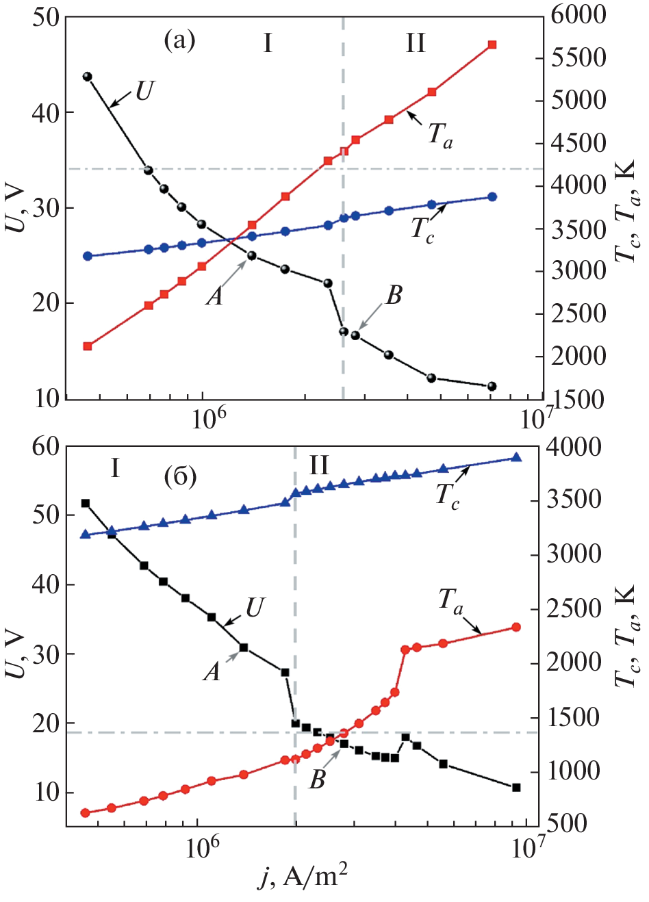
We present the results of numerical studies of the influence of evaporation of anode material on the main characteristics of an arc discharge. Calculations were carried out for an arc discharge in helium as a buffer gas with high-melting-point (using graphite as an example) and low-melting-point (using copper as an example) anodes. The dependences of the main arc-discharge parameters on current density are presented. It is demonstrated that intense evaporation of particles of the anode material into the discharge gap occurs upon reaching the melting point of the anode surface. As a result, the plasma-forming ion is replaced, i.e., the carbon ion in the case of the graphite anode or a copper ion in the case of the copper anode becomes dominant. In the process, a jump in the potential is observed in the dependence of voltage on current density (the volt–ampere characteristic, VAC). Distribution of the main plasma parameters along the discharge gap is presented for different points in the VAC.
About the authors
A. I. Saifutdinov
Tupolev Kazan National Research Technical University
Email: as.uav@bk.ru
420111, Kazan, Russia
N. P. Germanov
Tupolev Kazan National Research Technical University
Email: as.uav@bk.ru
420111, Kazan, Russia
A. R. Sorokina
Tupolev Kazan National Research Technical University
Email: as.uav@bk.ru
420111, Kazan, Russia
A. A. Saifutdinova
Tupolev Kazan National Research Technical University
Author for correspondence.
Email: as.uav@bk.ru
420111, Kazan, Russia
References
- Райзер Ю.П. Физика газового разряда, М.: Интеллект, 2009.
- Рохлин Г.Н. Разрядные источники света. М.: Энергоатомиздат, 1991. 720 с.
- Fridman A., Gutsol A., Cho Y.I. Non-thermal atmospheric pressure plasma Advances in Heat Transfer ed A. Fridman, Y. Cho, A. George and A. B.-C. Greene. New York: Acad. Press, 2007.
- Qin B., Zhang T., Chen H., Ma Y. // Carbon. 2016. T. 102. C. 494.
- Park Y.S., Kodama S., Sekiguchi H. // Nanomaterials. 2021. T. 11. № 9. C. 2214.
- Vekselman V., Raitses Y., Shneider M.N. // Physical Review E. 2019. T. 99. № 6. C. 063205.
- Timerkaev B.A., Kaleeva A.A., Timerkaeva D.B., Saifutdinov A.I. // High Energy Chemistry. 2019. T. 53. C. 390.
- Shavelkina M.B., Ivanov P.P., Bocharov A.N., Ami-rov R.H. // Plasma Chemistry and Plasma Processing. 2021. T. 41. C. 171.
- Nowack M., Leidich S., Reuter D., Kurth S., Kuech-ler M., Bertz A., Gessner T. // Sensors and Actuators A: Physical. 2012. T. 188. C. 495.
- Jhavar S., Paul C.P., Jain N.K. // Jom. 2016. T. 68. C. 1801.
- Keidar M., Beilis I.I. // J. Appl. Phys. 2009. V. 106. 103304
- Lebouvier A., Iwarere S.A., Ramjugernath D., Fulche-ri L. // Journal of Physics D: Applied Physics. 2013. V. 46. № 14. P. 145203.
- Timofeev N.A., Sukhomlinov V.S., Zissis G., Mukharae-va I.Yu., Mikhaylov D.V., Mustafaev A.S., Dupuis P., Solikhov D.Q., Borodina V.S. // IEEE Transactions on Plasma Science. 2021. V. 49. № 8. P. 2387.
- Maharaj A., D’Angola A., Colonna G., Iwarere S.A. // Frontiers in Physics. 2021. V. 9. C. 652.
- Musielok J. // Contributions to Plasma Physics. 1977. V. 17. P. 135.
- Cram L.E., Poladian L., Roumeliotis G. // Journal of Physics D: Applied Physics. 1988. V. 21. P. 418.
- Almeida N.A., Benilov M.S., Naidis G.V. // Journal of Physics D: Applied Physics. 2008. V. 41. № 24. P. 245201.
- Almeida N.A., Benilov M.S., Hechtfischer U., Nai-dis G.V. // Journal of Physics D: Applied Physics. 2009. V. 42. № 4. P. 045210.
- Kolev S., Bogaerts A.A. // Plasma Sources Science and Technology. 2014. V. 24. № 1. P. 015025.
- Saifutdinov A.I., Fairushin I.I., Kashapov N.F. / JETP Letters. 2016. V. 104. № 3. P. 180.
- Eliseev S.I., Kudryavtsev A.A., Liu H., Ning Zh., Yu D., Chirtsov A.S. // IEEE Transactions on Plasma Science. 2016. V. 44. № 11. P. 2536.
- Semenov I.L., Krivtsun I.V., Reisgen U. // Journal of Physics D: Applied Physics. 2016. V. 49. № 10. P. 105204.
- Almeida N.A., Cunha M.D., Benilov M.S. // Journal of Physics D: Applied Physics. 2017. V. 50. № 38. P. 385203.
- Kolev S., Sun S., Trenchev G., Wang W., Wang H., Bogaerts A. // Plasma Processes and Polymers. 2017. V. 14. № 4-5. C. 1600110.
- Khrabry A., Kaganovich I.D., Nemchinsky V., Khodak A. // Physics of Plasmas. 2018. V. 25. № 1.
- Khrabry A., Kaganovich I.D., Nemchinsky V., Khodak A. // Physics of Plasmas. 2018. V. 25. № 1. P. 013522
- Baeva M., Loffhagen D., Becker M. M., Uhrlandt D. // Plasma Chemistry and Plasma Processing. 2019. V. 39. № 4. C. 949.
- Baeva M., Loffhagen D., Uhrlandt D. // Plasma Chemistry and Plasma Processing. 2019. V. 39. № 6. C. 1359.
- Benilov M.S. // Journal of Physics D: Applied Physics. 2019. V. 53. № 1. C. 013002.
- Saifutdinov A.I., Timerkaev B.A., Saifutdinova A.A. // JETP Letters. 2020. V. 112. 7. P. 405.
- Saifutdinov A.I. // Journal of Applied Physics. 2021. V. 129. № 9. P. 093302.
- Saifutdinov A.I. // Plasma Sources Science and Technology. 2022. V. 31. № 9. P. 094008.
- Baeva M., Benilov M.S., Zhu T., Testrich H., Kewitz T., Foest R. // Journal of Physics D: Applied Physics. 2022. V. 55. № 36. P. 365202.
- Santos D.F.N., Almeida N.A., Lisnyak M., Gonnet J.P., Benilov M.S. // Physics of Plasmas. 2022. T. 29. № 4. P. 043503.
- Baeva M., Methling R., Uhrlandt D. // Plasma Physics and Technology. 2021. V. 8. № 1. P. 1.
- Wang W.Z., Rong M.Z., Murphy A.B., Yi Wu, Spen-cer J.W., Yan J.D., Michael T., C Fang // Journal of Physics D: Applied Physics. 2011. V. 44. № 35. P. 355207.
- Cressault Y., Murphy A.B., Teulet Ph., Gleizes A. Schnick M. // Journal of Physics D: Applied Physics. 2013. V. 46. № 41. C. 415207.
- Кнаке О., Странский И.Н. // Успехи физических наук. 1959. V. 68. № 6. С. 261.
- Thorn R.J., Winslow G.H. // The Journal of Chemical Physics. 1957. V. 26. № 1. P. 186.
- Nielsen T., Kaddani A., Benilov M.S. // Journal of Physics D: Applied Physics. 2001. V. 34(13) P. 2016.
- Nemchinsky V. // Journal of Applied Physics. 2021. V. 130. № 10. P. 103304.
- Kutasi K., Hartmann P., Donkó Z. // Journal of Physics D: Applied Physics. 2001. V. 34. № 23. P. 3368.
- Kutasi K., Hartmann P., Bánó G., Donkó Z. // Plasma Sources Science and Technology. 2005. V. 14. № 2. P. S1.
- Богданов Е. А., Капустин К.Д., Кудрявцев А.А., Чирцов А.С. // Журнал технической физики. 2010. Т. 80. № 10. С. 41.
- Wang Q., Economou D.J., Donnelly V.M. // Journal of Applied Physics. 2006. V. 100. № 2. P. 023301.
- Deloche R., Monchicourt P., Cheret M., Lambert F. // Physical Review A. 1976. V. 13. № 3. P. 1140.
- Saifutdinov A.I., Sorokina A.R., Boldysheva V.K., Latypov E.R., Saifutdinova A.A. // High Energy Chemistry. 2022. V. 56. № 6. C. 477.
- Mansour A.R., Hara K. // Journal of Physics D: Applied Physics. 2019. T. 52. № 10. C. 105204.
- Bogaerts A., Gijbels R., Carman R. // Spectrochimica Acta Part B: Atomic Spectroscopy. 1998. V. 53. № 12. P. 1679.
- Bogaerts A., Gijbels R. // Journal of Applied Physics. 2002. T. 92. № 11. C. 6408.
Supplementary files





