Plasma Ion Velocity Distribution Function Perturbed by Ion-Acoustic Solitons: Analytical Calculations Based on KDV Equation
- Authors: Trukhachev F.M.1,2,3, Gerasimenko N.V.3, Vasiliev M.M.1,2, Petrov O.F.1,2
-
Affiliations:
- Joint Institute for High Temperatures, Russian Academy of Sciences
- Moscow Institute of Physics and Technology (National Research University)
- Belarusian–Russian University
- Issue: Vol 49, No 10 (2023)
- Pages: 975-981
- Section: INTERACTION OF WAVES WITH PLASMA
- URL: https://bakhtiniada.ru/0367-2921/article/view/232778
- DOI: https://doi.org/10.31857/S0367292123600784
- EDN: https://elibrary.ru/ALPZSH
- ID: 232778
Cite item
Full Text
Abstract
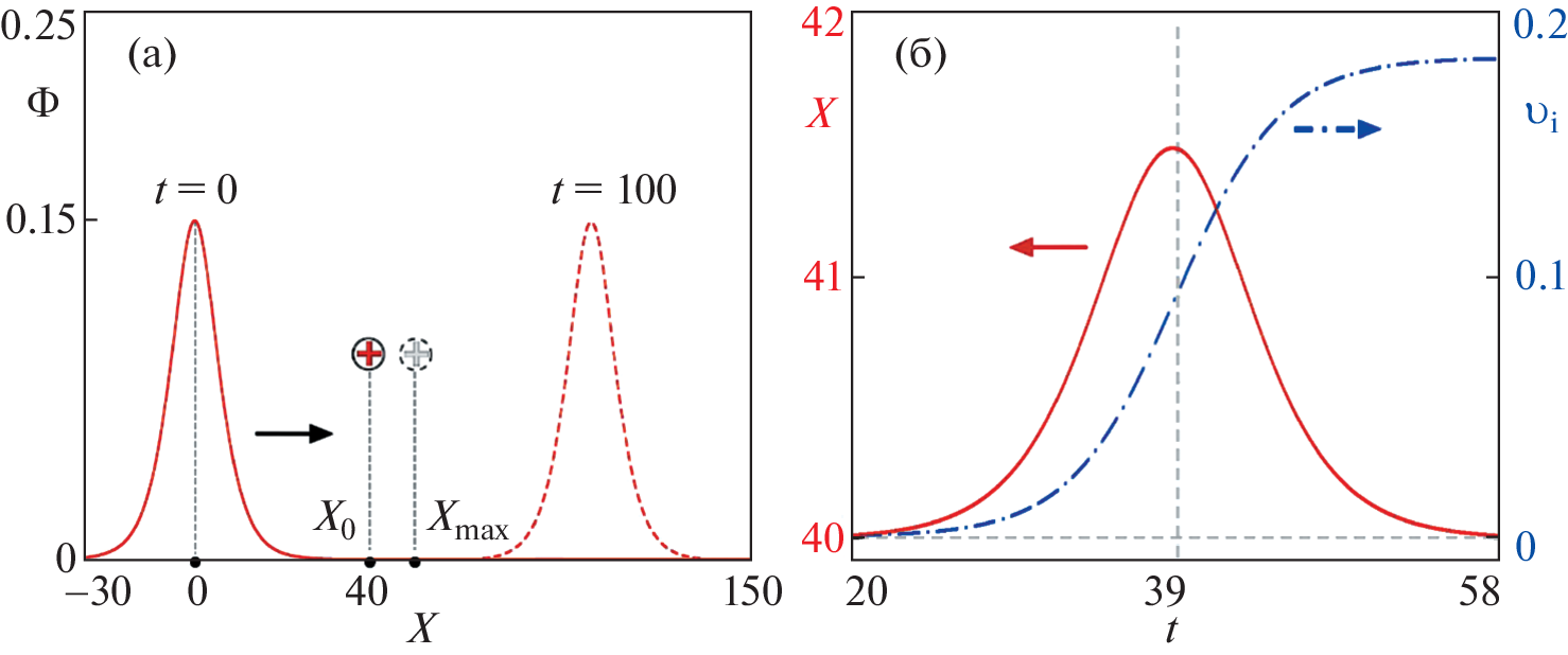
Using the Korteweg–De Vries equation, for background plasma, the distribution functions perturbed by ion-acoustic solitons are calculated. For describing the perturbed distribution functions, the explicit formula is obtained, which is suitable for practical applications. The results are compared with the analytical calculations and simulation results obtained previously.
About the authors
F. M. Trukhachev
Joint Institute for High Temperatures, Russian Academy of Sciences; Moscow Institute of Physics and Technology (National Research University); Belarusian–Russian University
Email: ftru@mail.ru
127412, Moscow, Russia; 141701, Dolgoprudny, Russia; 212000, Mogilev, Belarus
N. V. Gerasimenko
Belarusian–Russian University
Email: ftru@mail.ru
212000, Mogilev, Belarus
M. M. Vasiliev
Joint Institute for High Temperatures, Russian Academy of Sciences; Moscow Institute of Physics and Technology (National Research University)
Email: ftru@mail.ru
127412, Moscow, Russia; 141701, Dolgoprudny, Russia
O. F. Petrov
Joint Institute for High Temperatures, Russian Academy of Sciences; Moscow Institute of Physics and Technology (National Research University)
Author for correspondence.
Email: ftru@mail.ru
127412, Moscow, Russia; 141701, Dolgoprudny, Russia
References
- Zabusky N.J., Kruskal M.D. // Phys. Rev. Lett. 1965. V. 15. P. 240.
- Russell J. // Report of the Committee on Waves: Appointed by the British Association at Bristol in 1836 (R. and JE Taylor, 1838)
- Russell J.S. // Report on Waves, Published in the York 1844 (BA Reports, 1844).
- Boussinesq J. // CR Acad. Sci. Paris. V. 72. № 755–759. P. 1871.
- Boussinesq J. // Journal de mathématiques pures et appliquées. 1872. V. 17. P. 55.
- Korteweg D.J., De Vries G. // Philos. Mag. J. Sci. 1895. V. 39. P. 422.
- Washimi H., Taniuti T. // Phys. Rev. Lett. 1966. V. 17. P. 996.
- Tran M. // Phys. Scripta. 1979. V. 20. P. 317.
- Kotsarenko N.Y., Koshevaya S.V., Stewart G.A., Maravilla D. // Planetary and space science. 1998. V. 46. № 4. P. 429. https://doi.org/10.1016/S0032-0633(97)00205-5
- Mamun A.A. // Astrophysics and Space Science. 1999. V. 268. P. 443. https://doi.org/10.1023/A:1002031022895
- Tagare S.G., Singh S.V., Reddy R.V., Lakhina G.S. // Nonlinear Processes in Geophysics. 2004. V. 11. № 2. P. 215. https://doi.org/10.5194/npg-11-215-2004
- Hussain S., Hasnain H. // Physics of Plasmas. 2017. T. 24. № 3. https://doi.org/10.1063/1.4978492
- Giambo S., Pantano P., Tucci P. // American Journal of Physics. 1984. V. 52. № 3. P. 238. https://doi.org/10.1119/1.13685
- Ikezi H.S., Wojtowicz S., Waltz R., DeGrassie J., Ba-ker D. // Journal of Applied Physics. 1988. V. 64. № 6. P. 3277. https://doi.org/10.1063/1.341517
- Kuusela T. // Chaos, Solitons & Fractals. 1995. V. 5. № 12. P. 2419. https://doi.org/10.1016/0960-0779(94)E0107-Z
- Ким Д.Ч. // Журнал технической физики. 2013. Т. 83. № 3. С. 31.
- Newell A.C. // Solitons in Mathematics and Physics. SIAM, 1985.
- Ablowitz M.J.D., Kaup J., Newell A.C., Segur H. // Physical Review Letters. 1973. V. 30. № 25. P. 1262. https://doi.org/10.1103/PhysRevLett.30.1262
- Кадомцев Б.Б. // Доклады Академии наук. 1970. Т. 192. № 4. С. 753.
- Gedalin M., Scott T.C., Band Y.B. // Physical review letters. 1997. V. 78. № 3. P. 448. https://doi.org/10.1103/PhysRevLett.78.448
- Вопросы теории плазмы. Вып. 4. М.: Атомиздат, 1967.
- Ландау Л.Д. // ЖЭТФ. 1946. Т. 16. С. 574.
- Stasiewicz K., Lundin R. // Physica Scripta. 2000. V. 2000. № T84. P. 60. https://doi.org/10.1238/Physica.Topical.084a00060
- Alberti S. // Nature Physics. 2007. V. 3. № 6. P. 376–377. https://doi.org/10.1038/nphys637
- Esarey E., Schroeder C.B., Leemans W.P. // Reviews of modern physics. 2009. V. 81. № 3. P. 1229. https://doi.org/10.1103/RevModPhys.81.1229
- Aleshin I.M., Peregudov D.V. // Moscow University Physics Bulletin.2000. V. 55 (1). P. 9.
- Trukhachev F. M., Vasiliev M.M., Petrov O.F. // Plasma Physics Reports. 2022. V. 48. № 10. P. 1116. https://doi.org/10.1134/S1063780X2260075X
- Trukhachev F.M., Gerasimenko N.V., Vasiliev M.M., Petrov O.F. // Physics of Plasmas. 2023. T. 30. № 2.https://doi.org/10.1063/5.0133413
- Trukhachev F.M., Vasiliev M.M., Petrov O.F. // High Temperature. 2020. V. 58. P. 520. https://doi.org/10.1134/S0018151X2004015X
Supplementary files





