Comparative Analysis of High-Frequency Plasma Drivers with Various Protective Screens for Atomic Injectors with Multi-Second Pulse Duration
- Авторлар: Vointsev V.A.1, Finashin P.A.1, Gavrisenko D.Y.1, Shikhovtsev I.V.2, Belchenko Y.I.1, Gorbovskiy A.I.1, Kondakov A.A.1, Sotnikov O.Z.1, Sanin A.L.1
 - 
							Мекемелер: 
							
- Budker Institute of Nuclear Physics, Siberian Branch, Russian Academy of Sciences
 - Институт ядерной фиBudker Institute of Nuclear Physics, Siberian Branch, Russian Academy of Sciencesзики им. Г.И. Будкера СО РАН
 
 - Шығарылым: Том 49, № 10 (2023)
 - Беттер: 964-974
 - Бөлім: ION AND PLASMA SOURCES
 - URL: https://bakhtiniada.ru/0367-2921/article/view/232771
 - DOI: https://doi.org/10.31857/S0367292123600929
 - EDN: https://elibrary.ru/EHFUJL
 - ID: 232771
 
Дәйексөз келтіру
Толық мәтін
Аннотация
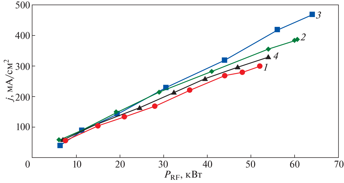
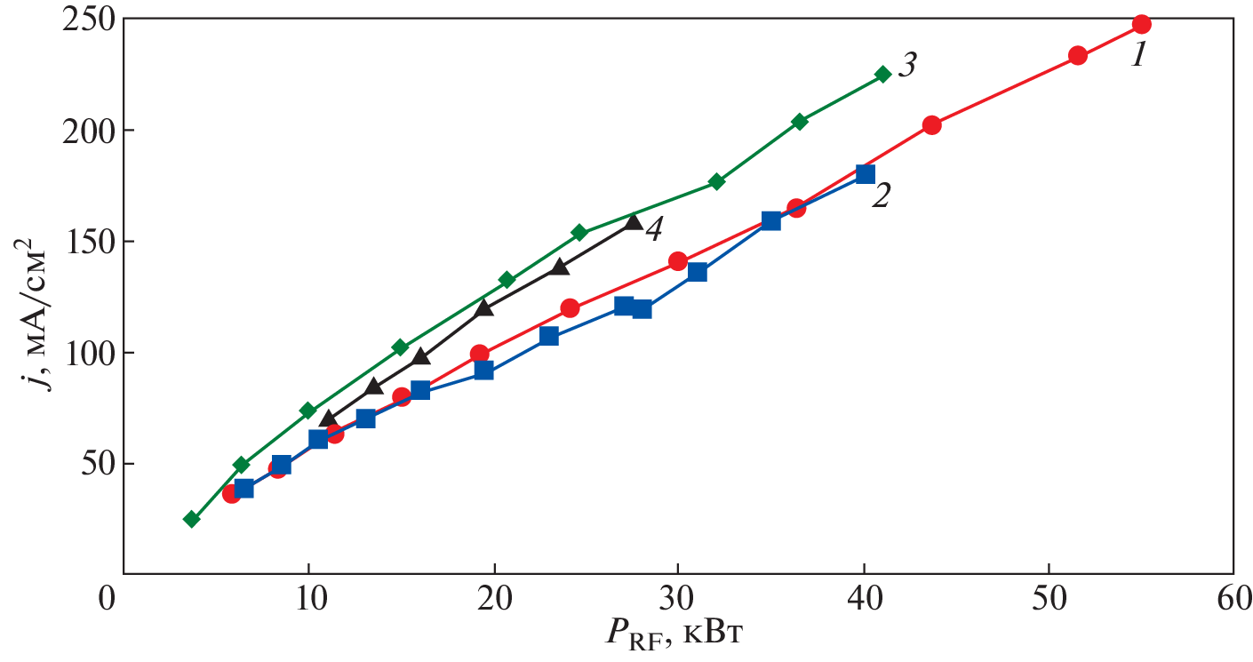
Atomic beam injection is one of the main methods of plasma heating in thermonuclear facilities. An injector of high-energy hydrogen atoms for plasma heating based on the acceleration and neutralization of negative hydrogen ions is being developed at the Budker Institute of Nuclear Physics, Siberian Branch of the Russian Academy of Sciences. The injector uses a surface plasma source, in which a plasma flow is created using a radio-frequency driver: an induction radio-frequency (RF) discharge, ignited inside a cylindrical ceramic chamber when an RF voltage is applied to an external antenna. As a part of this work, a new version of the RF driver is being developed. A protective screen is used to prevent overheating and erosion of the ceramic wall of the driver. The operation of RF driver with different protective screens is studied. These screens reduce the efficiency of RF power transmission into the discharge, but make it possible the operation of the ion source in multi-second or steady-state pulses.
Авторлар туралы
V. Vointsev
Budker Institute of Nuclear Physics, Siberian Branch, Russian Academy of Sciences
														Email: d.gavrisenko@g.nsu.ru
				                					                																			                												                								630090, Novosibirsk, Russia						
P. Finashin
Budker Institute of Nuclear Physics, Siberian Branch, Russian Academy of Sciences
														Email: d.gavrisenko@g.nsu.ru
				                					                																			                												                								630090, Novosibirsk, Russia						
D. Gavrisenko
Budker Institute of Nuclear Physics, Siberian Branch, Russian Academy of Sciences
														Email: d.gavrisenko@g.nsu.ru
				                					                																			                												                								630090, Novosibirsk, Russia						
I. Shikhovtsev
Институт ядерной фиBudker Institute of Nuclear Physics, Siberian Branch, Russian Academy of Sciencesзики им. Г.И. Будкера СО РАН
														Email: d.gavrisenko@g.nsu.ru
				                					                																			                												                								630090, Novosibirsk, Russia						
Yu. Belchenko
Budker Institute of Nuclear Physics, Siberian Branch, Russian Academy of Sciences
														Email: d.gavrisenko@g.nsu.ru
				                					                																			                												                								630090, Novosibirsk, Russia						
A. Gorbovskiy
Budker Institute of Nuclear Physics, Siberian Branch, Russian Academy of Sciences
														Email: d.gavrisenko@g.nsu.ru
				                					                																			                												                								630090, Novosibirsk, Russia						
A. Kondakov
Budker Institute of Nuclear Physics, Siberian Branch, Russian Academy of Sciences
														Email: d.gavrisenko@g.nsu.ru
				                					                																			                												                								630090, Novosibirsk, Russia						
O. Sotnikov
Budker Institute of Nuclear Physics, Siberian Branch, Russian Academy of Sciences
														Email: d.gavrisenko@g.nsu.ru
				                					                																			                												                								630090, Novosibirsk, Russia						
A. Sanin
Budker Institute of Nuclear Physics, Siberian Branch, Russian Academy of Sciences
							Хат алмасуға жауапты Автор.
							Email: d.gavrisenko@g.nsu.ru
				                					                																			                												                								630090, Novosibirsk, Russia						
Әдебиет тізімі
- SotnikovO., Ivanov A., Belchenko Yu., Gorbovsky A., Deichuli P., Dranichnikov A., Emelev I., Kolmogorov V., Kondakov A., Sanin A., Shikhovtsev I. // Nuclear Fusion. 2021. V. 61. № 11. 116017.
 - Shikhovtsev I., Abdrashitov G., Belchenko Yu., Belov V., Davydenko V., Gorbovsky A., Ivanov A., Kapitonov V., Kondakov A., Mishagin V., Sanin A., Sotnikov O., Shu-bin E. // AIP. Conf. Proc. 2018. V. 2052. 040016.
 - Prokhorov I.A., Abdrashitov G.F., Averbukh I.I., Be-lov V.P., Davydenko V.I., Ivanov A.A., Kapitonov V.A., Kolmogorov V.V., Kondakov A.A., Shikhovtsev I.V., Sorokin A.V., Tkachev A.A. // Fusion Science and Technology. 2013. V. 63 (1T). P. 349.
 - Fasel D., Andrebe Y., Dubray J., Karpushov A., Kolmogorov V., Marletaz B., Marmillod P., Muehle L., Perez A., Shikhovtsev I., Siravo U. // Fusion Engineering and Design.2017. V. 123. P. 331.
 - Sorokin A., Belov V., Davydenko V., Deichuli P., Ivanov A., Podyminogin A., Shikhovtsev I., Shulzhenko G., Stupishin N., Tiunov M. // Rev. Sci. Instrum. 2010. V. 81. 02B108.
 - Speth E., Ciric M., Feist J.H., Frank P., Heinemann B., Kraus W., Probst F., Riedl R., Trainham R., Vollmer O., Wilhelm R. // Fusion Engineering and Design. 1999. V. 46. Iss. 2–4. P. 383.
 - McNeely P., Äkäslompolo S., Auerweck W., Drider Y., Ford O.P., Hartmann D.A., Heinemann B., Heinrich S., Hopf C., Kairys R., Obermayer S., Riedl R., Rong P., Rust N., Schroeder R., Wolf R.C. // Fusion Engineering and Design. 2020. V. 161.111997.
 - Marcuzzi D., Agostinetti P., Dalla Palma M., Falter H.D., Heinemann B., Riedl R. 2007. V. 82. Iss. 5–14. P. 798.
 - Heinemann B. et al. // New J. Phys. 2017. V. 19.015001.
 - Yuming Gu, Yahong Xie, Jianglong Wei, Yongjian Xu, Jun Li, Caichao Jiang, Lizhen Liang, Yuanlai Xie, Chundong Hu // Rev Sci Instrum.2019. V. 90. 113315.
 - Sen P. Principles of electric machines and power electronics. N.Y.: John Wiley & Sons, 1997. P. 64.
 - Атабеков Г.И. Основы теории цепей. СПб.: Лань, 2009.
 - Гоноровский И.С. Радиотехнические цепи и сигналы / Уч. для радиотехнических вузов и факультетов. М.: Сов. радио, 1963.
 - Воинцев В.А., Гаврисенко Д.Ю., Кондаков А.А., Сотников О.З., Финашин Р.А. // Сибирский физический журнал. 2022. V. 17. № 3. P. 5.
 
Қосымша файлдар
				
			
						
					
						
						
						
									
















