Отражение электромагнитной волны от области электронного циклотронного поглощения в термоядерной плазме
- Авторы: Господчиков Е.Д.1, Чувакин П.А.1, Шалашов А.Г.1
 - 
							Учреждения: 
							
- Институт прикладной физики им. А.В. Гапонова-Грехова РАН
 
 - Выпуск: Том 49, № 10 (2023)
 - Страницы: 953-963
 - Раздел: СТЕЛЛАРАТОРЫ
 - URL: https://bakhtiniada.ru/0367-2921/article/view/232767
 - DOI: https://doi.org/10.31857/S0367292123600887
 - EDN: https://elibrary.ru/EHMULR
 - ID: 232767
 
Цитировать
Полный текст
Аннотация
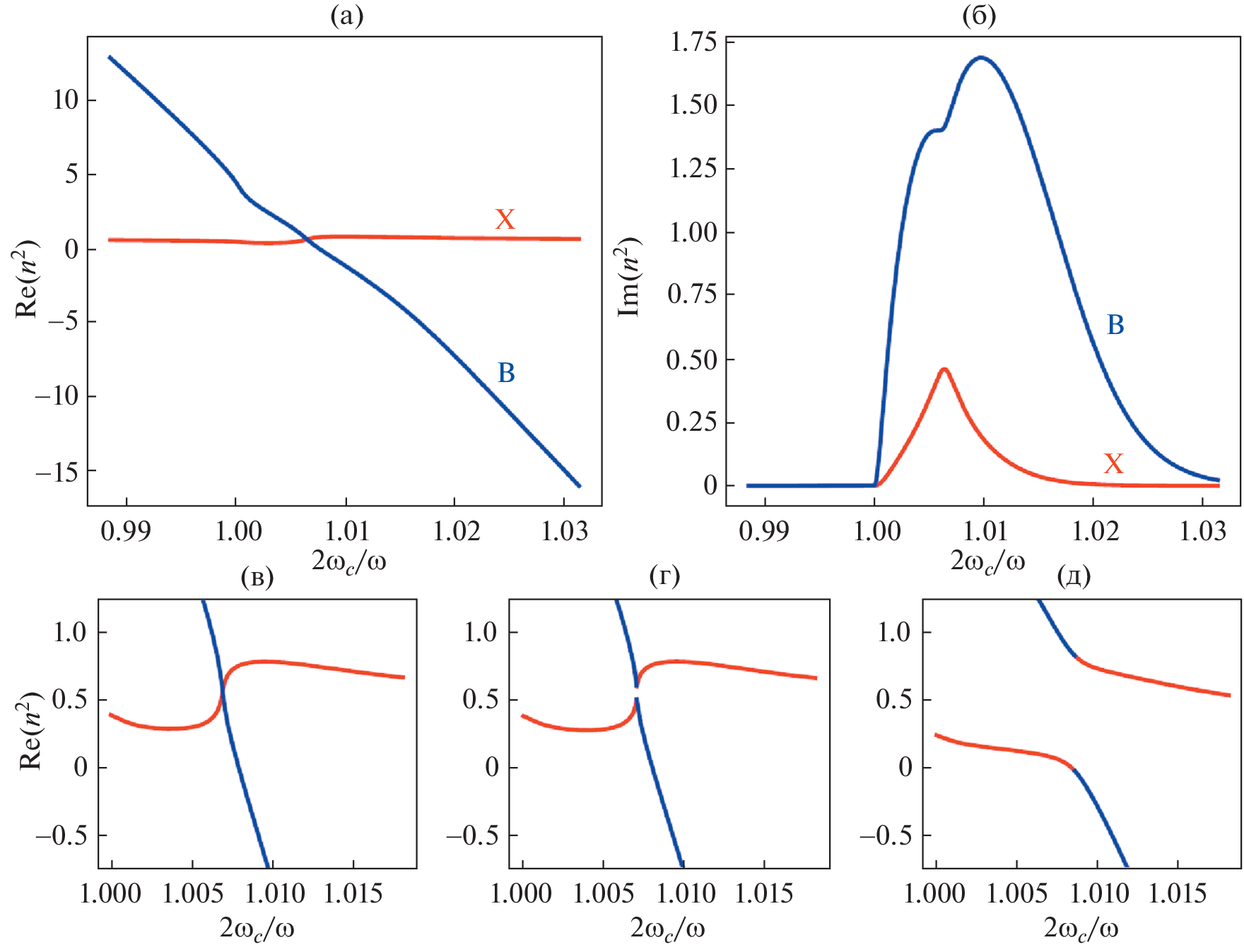
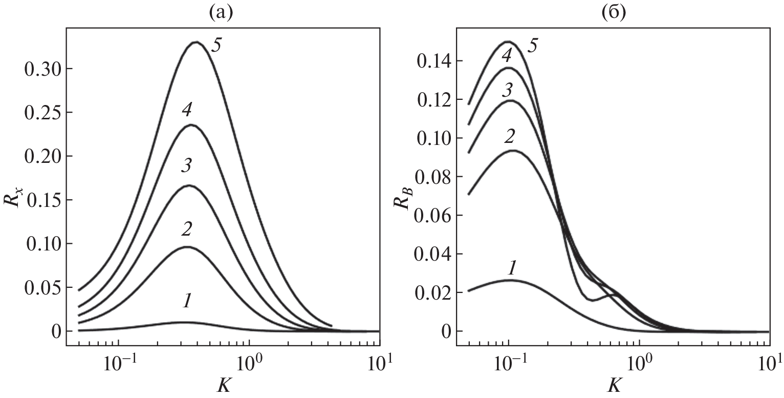
Рассмотрен новый подход к решению задачи о прохождении необыкновенной волны через область электронного циклотронного резонанса в неоднородной плазме в рамках полной системы уравнений Максвелла с учетом эффектов пространственной дисперсии и резонансной диссипации. Для модельной одномерной геометрии вычислены распределения полей в окрестности циклотронного резонанса на второй гармонике при нормальном падении необыкновенной волны, найдены коэффициенты отражения, прохождения и поглощения в зависимости от параметров резонансной области. В результате удалось описать тонкий эффект отражения электромагнитного излучения от области циклотронного резонанса в прозрачной плазме; проведено сравнение с наблюдениями этого эффекта в экспериментах по СВЧ-нагреву плазмы на стеллараторе Л‑2М.
Об авторах
Е. Д. Господчиков
Институт прикладной физики им. А.В. Гапонова-Грехова РАН
														Email: egos@ipfran.ru
				                					                																			                												                								Россия, Нижний Новгород						
П. А. Чувакин
Институт прикладной физики им. А.В. Гапонова-Грехова РАН
														Email: egos@ipfran.ru
				                					                																			                												                								Россия, Нижний Новгород						
А. Г. Шалашов
Институт прикладной физики им. А.В. Гапонова-Грехова РАН
							Автор, ответственный за переписку.
							Email: egos@ipfran.ru
				                					                																			                												                								Россия, Нижний Новгород						
Список литературы
- Тимофеев А.В. Резонансные явления в колебаниях плазмы. М.: Физматлит, 2000. 1-е изд., 2009 2-е изд.
 - Федоров В.И. // Письма ЖЭТФ. 1980. Т. 6. С. 650.
 - Bornatici M., Engelmann F., Maroli C., Petrillo V. // Plasma Phys. 1981. V. 23. P. 89.
 - Lazzaro E., Ramponi G., Giruzzi G. // Phys. Fluids. 1982. V. 25. P. 1220.
 - Звонков А.В. // Физика плазмы. 1983. Т. 9. С. 547.
 - Тимофеев А.В. // УФН. 1973. Т. 110. С. 329.
 - Bernstein I.B. // Phys. Rev. 1958. V. 109. P. 10.
 - Litvak A.G., Suvorov E.V., Permitin G.V., Fraiman A.A. // Nuclear Fusion. 1979. V. 17. P. 659.
 - Alikaev V.V., Litvak A.G., Suvorov E.V., Fraiman A.A. // High Frequency Plasma Heating / Ed. A.G. Litvak. New York: AIP, 1991. Ch. 1. P. 1.
 - Tereshchenko M., Castejon F., Cappa A. TRUBA User Manual. Informes Técnicos CIEMAT No. 1134. Madrid: CIEMAT, 2008.
 - Prater R., Farina D., Gribov Yu., Harvey R.W., Ram A.K., Lin-Liu Y.-R., Poli E., Smirnov A.P., Volpe F., Wester-hof E., Zvonkov A. // Nuclear Fusion. 2008. V. 48. P. 035006.
 - Pereverzev G.V. // Phys. Plasmas. 1998. V. 5. P. 3529.
 - Balakin A.A., Balakina M.A., Westerhof E. // Nuclear Fusion. 2008. V. 48. P. 065003.
 - Балакин А.А. // Изв. вузов. Радиофизика. 2012. Т. 55. С. 521.
 - Shalashov A.G., Balakin A.A., Gospodchikov E.D., Khusainov T.A. // Phys. Plasmas. 2016. V. 23. P. 112504.
 - Гинзбург В.Л. Распространение электромагнитных волн в плазме. М.: Наука, 1967.
 - Батанов Г.М., Борзосеков В.Д., Колик Л.В., Конченков Е.М., Малахов Д.В., Петров А.Е., Сарксян К.А., Сахаров А.С., Скворцова Н.Н., Степахин В.Д., Харчев Н.К. // Физика плазмы. 2013. Т. 39. С. 987.
 - Westerhof E., Nielsen S.K., Oosterbeek J.W., Salewski M., De Baar M.R., Bongers W.A., Bürger A., Hennen B.A., Korsholm S.B., Leipold F., Moseev D., Stejner M., Thoen D.J. (the TEXTOR Team) // Phys. Rev. Lett. 2009. V. 103. P. 125001.
 - Nielsen S.K., Salewski M., Westerhof E., Bongers W., Korsholm S.B., Leipold F., Oosterbeek J.W., Moseev D., Stejner M. // Plasma Phys. Control. Fusion. 2013. V. 55. P. 115003.
 - Hansen S.K., Nielsen S.K., Stober J., Rasmussen J., Stejner M., Hoelzl M., Jensen T. // Nucl. Fusion. 2020. V. 60. P. 106008.
 - Сахаров А.С. // Физика плазмы. 2017. Т. 43. С. 903.
 - Шалашов А.Г., Господчиков Е.Д. // УФН. 2011. Т. 181. С. 151.
 - Shalashov A.G., Gospodchikov E.D. // Plasma Phys. Control. Fusion. 2010. V. 52. P. 025007.
 - Scott M.R. Invariant Imbedding and its Applications to Ordinary Differential Equations: an Introduction. London: Addison-Wesly, 1973.
 - Кляцкин В.И. Метод погружения в теории распространения волн. М.: Наука 1986.
 - Днестровский Ю.Н., Костомаров Д.П., Скрыд-лов Н.В. // ЖТФ. 1963. Т. 33. С. 922.
 - Шафранов В.Д. // Вопросы теории плазмы. Вып. 3 / Под ред. М.А. Леонтовича. М.: Госатомиздат, 1963. С. 129.
 
Дополнительные файлы
				
			
						
						
						
					
						
									









