ЛИНИЯ ЕДИНИЧНОГО ФАКТОРА СЖИМАЕМОСТИ В НИЗКОТЕМПЕРАТУРНОЙ ПЛАЗМЕ МЕТАЛЛОВ
- Authors: 1
-
Affiliations:
- Институт высоких температур РАН
- Issue: Vol 49, No 8 (2023)
- Pages: 789-796
- Section: НЕИДЕАЛЬНАЯ ПЛАЗМА
- URL: https://bakhtiniada.ru/0367-2921/article/view/139591
- DOI: https://doi.org/10.31857/S0367292123600449
- EDN: https://elibrary.ru/GSRZFQ
- ID: 139591
Cite item
Full Text
Abstract
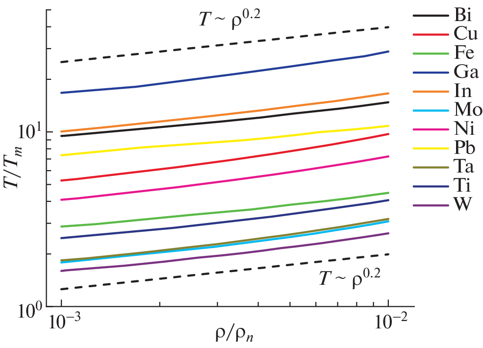
Впервые изучено поведение линии единичного фактора сжимаемости в области низкотемпературной плотной плазмы металлов. Ее форма является универсальной на плоскости плотность–температура для многих однокомпонентных газов и жидкостей при низких температурах, а также для жидких металлов. С помощью вириальных разложений и расчетов в рамках химической модели показано, что это подобие нарушается при переходе в область низкотемпературной плазмы металлов. Тем не менее, в этой области при сравнительно низких плотностях для этой линии возможно более слабое подобие, выражаемое степенным законом.
About the authors
Институт высоких температур РАН
Author for correspondence.
Email: apfel_e@mail.ru
Россия, Москва
References
- Балеску Р. Равновесная и неравновесная статистическая механика. М.: Мир, 1978.
- Смирнов Б.М. // УФН 2001. Т. 171. С. 1291.https://doi.org/10.3367/10.3367/UFNr.0171.200112b.1291
- Batschinski A. // Ann. der. Phys. 1906. V. 324. P. 307.https://doi.org/10.1002/andp.19063240205
- Ben-Amotz D., Herschbach D.R. // Isr. J. Chem. 1990. V. 30. P. 59.https://doi.org/10.1002/ijch.199000007
- Kutney M.C., Reagan M.T., Smith K.A., Tester J.W., Herschbach D.R. // J. Phys. Chem. B. 2000. V. 104. P. 9513.https://doi.org/10.1021/jp001344e
- Nedostup V.I. // High Temp. 2013. V. 51. P. 72. https://doi.org/10.1134/S0018151X13010112
- Недоступ В.И. Идеальные кривые, термодинамика, геометрия, использование. Одесса: “Издательскiй центр”, 2021.
- Apfelbaum E.M., Vorob’ev V.S. // Int J Thermophys. 2020. V .41: 8.https://doi.org/10.1007/s10765-019-2581-6
- Apfelbaum E.M. // J. Phys Chem B. 2022. V. 126. P. 2912.https://doi.org/10.1021/acs.jpcb.2c01247
- Lemmon E.W., Bell I.H., Huber M.L., McLinden M.O. NIST standard reference database 23: Reference fluid thermodynamic and transport properties-REFPROP, Version 10.0 National Institute of Standards and Technology, 2018.
- Deiters U.K., Neumaier A. // J. Chem. Eng. Data. 2016. V. 61. P. 2720.https://doi.org/10.1021/acs.jced.6b00133
- Rößler J., Antolovič I., Stephan S., Vrabec J. // Fluid Phase Eq. 2022. V. 556. P. 113401.https://doi.org/10.1016/j.fluid.2022.113401
- Span R., Wagner W. // Int. J. Thermophys. 1997. V. 18. P. 1415.https://doi.org/10.1007/BF02575343
- Luo S.N., Ahrens T.J., Cagin T.A., Strachan W.A., Goddard W.A., Swift D.C. // Phys. Rev. B. 2003. V. 68. 134206.https://doi.org/10.1103/PhysRevB.68.134206
- Alexandrov T., Desgranges C., Delhommelle J. // Fluid Phase Equil. 2010. V. 287. P. 79.https://doi.org/10.1016/j.fluid.2009.09.009
- Белащенко Д.К. // УФН. 2020. Т. 190. С. 1233.https://doi.org/10.3367/UFNr.2020.01.038761
- Apfelbaum E.M., Vorob’ev V.S. // J Phys. Chem. B 2016. V. 120. P. 4828.https://doi.org/10.1021/acs.jpcb.6b03561
- Desgranges C., Widhalm L., Delhommelle J. // J. Phys. Chem. B. 2016. V. 120. P. 5255.https://doi.org/10.1021/acs.jpcb.6b04121
- Apfelbaum E.M. // Phys. Plasmas. 2020. V. 27. 042706.https://doi.org/10.1063/5.0004791
- Apfelbaum E.M. // Физика плазмы. 2022. Т. 48. С. 937.https://doi.org/10.31857/S0367292122600352
- Apfelbaum E.M. // Phys. Plasmas. 2023. V. 30. 042709.https://doi.org/10.1063/5.0144465
- Веденов А.А., Ларкин А.И. // ЖЭТФ. 1959. Т. 36. С. 1133.
- Норман Г.Э., Старостин А.Н. // ТВТ. 1968. Т. 6. С. 410.
- Jüngst S., Knuth B., Hensel F. // Phys. Rev. Lett. 1985. V. 55. P. 2160.https://doi.org/10.1103/PhysRevLett.55.2160
- Vargatik N.B., Gelman E.B., Kozhevnikov V.F., Naursakov S.P. // Int. J. Thermophys. 1990. V. 11. P. 467.https://doi.org/10.1007/BF00500839
- Кикоин И.К., Сенченков А.П. // Физика металлов и металловедение. 1967. Т. 24. С. 843.
- Götslaff W. Zustandsgleichung und elektrischer Transport am kritischen Punkt der fluiden Quecksilbers. Dissertation. Marburg, 1988. 150 s.
- Фокин Л.Р., Попов В.Н. // ТВТ. 2013. Т. 51. С. 520.https://doi.org/10.7868/S0040364413040091
- Ebeling W., Förster A., Fortov V., Gryaznov V., Polishchuk A. Thermophysical Properties of Hot Dense Plasmasю Teubner, Leipzig, Stuttgart, 1991.
- Калиткин Н.Н., Павлов А.С. // Мат. моделирование. 2004. Т. 16. С. 61.
- Хомкин А.Л., Шумихин А.С. // ЖЭТФ. 2023. Вып. 4. С. 609.https://doi.org/10.318857/S0044451023040181
- Potekhin A.Y., Chabrier G., Rogers F.J. // Phys. Rev. E 2009. V. 79. 016411.https://doi.org/10.1103/PhysRevE.79.016411
- Miljacic L., Demers S., Hong Qi-Jun, van de Walle A. // CALPHAD. 2015. V. 51. P. 133.https://doi.org/10.1016/j.calphad.2015.08.005
- Leitner M., Schröer W., Pottlacher G. // Int. J. Thermophys. 2018. V. 39: 124.https://doi.org/10.1007/s10765-018-2439-3
- Pahl E., Figgen D., Thierfelder C., Kirk A., Peterson K.A., Calvo F., Schwerdtfeger P. // J. Chem. Phys. 2010. V. 132. 114301.https://doi.org/10.1063/1.3354976
Supplementary files








