Re-Breakdown Process at Longitudinal–Transverse Discharge in a Supersonic Airflow
- Authors: Bityurin V.A.1, Bocharov A.N.1, Dobrovolskaya A.S.1, Popov N.A.2, Firsov A.A.1
-
Affiliations:
- Joint Institute for High Temperatures, Russian Academy of Sciences
- Skobeltsyn Institute of Nuclear Physics, Moscow State University
- Issue: Vol 49, No 5 (2023)
- Pages: 425-437
- Section: LOW TEMPERATURE PLASMA
- URL: https://bakhtiniada.ru/0367-2921/article/view/139589
- DOI: https://doi.org/10.31857/S0367292123600255
- EDN: https://elibrary.ru/VFQMMJ
- ID: 139589
Cite item
Full Text
Abstract
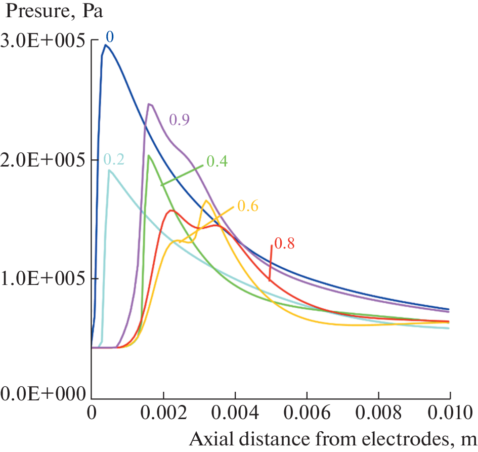
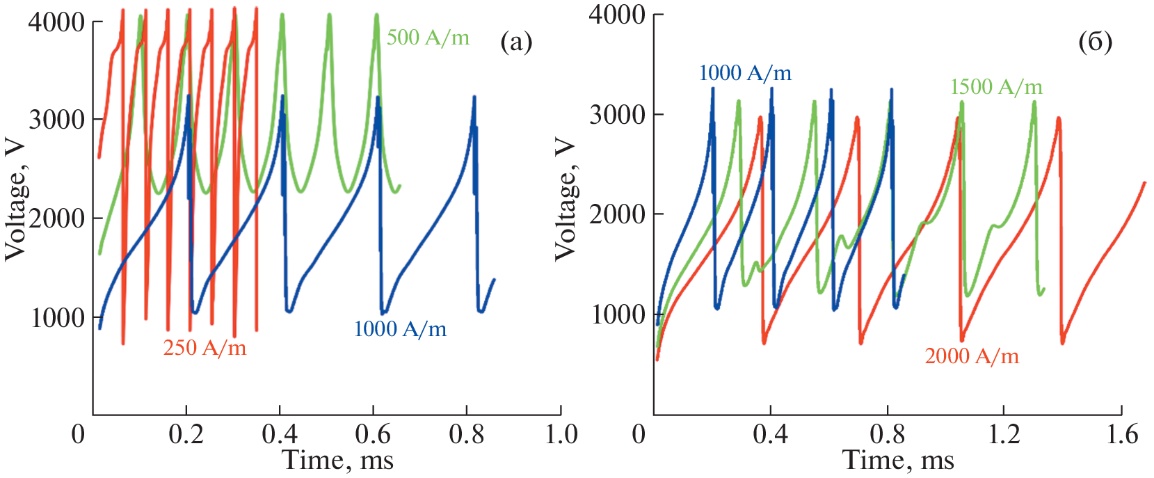
A physical and numerical model of a longitudinal–transverse discharge in a supersonic air flow is presented. The considered model takes into account not only the traditional mechanisms of interaction between the discharge and the flow (convection, diffusion, heat release, thermochemical nonequilibrium), but also the processes of dissociation and ionization in strong reduced electric fields. It is shown that, within the framework of a two-dimensional model of a direct current discharge, the current loop is carried away by the flow until the ionization rate due to a strong reduced electric field in the immediate vicinity of the electrodes provide a sufficient ionization to form an alternative current channel. In this case, a new current loop begins to form, and the old one dies off. The considered process of current reconnection has a periodic character. The current loop lifetime is proportional to the current amplitude.
About the authors
V. A. Bityurin
Joint Institute for High Temperatures, Russian Academy of Sciences
Email: valentin.bityurin@gmail.com
125412, Moscow, Russia
A. N. Bocharov
Joint Institute for High Temperatures, Russian Academy of Sciences
Email: valentin.bityurin@gmail.com
125412, Moscow, Russia
A. S. Dobrovolskaya
Joint Institute for High Temperatures, Russian Academy of Sciences
Email: valentin.bityurin@gmail.com
125412, Moscow, Russia
N. A. Popov
Skobeltsyn Institute of Nuclear Physics, Moscow State University
Email: valentin.bityurin@gmail.com
119991, Moscow, Russia
A. A. Firsov
Joint Institute for High Temperatures, Russian Academy of Sciences
Author for correspondence.
Email: valentin.bityurin@gmail.com
125412, Moscow, Russia
References
- Ershov A.P., Surkont O.S., Timofeev I.B., Shibkov V.M., Chernikov V.A. // High Temperature. 2004. V. 42. № 5. P. 667–674. https://doi.org/10.1023/B:HITE.0000046519.53287.47
- Firsov A., Savelkin K.V., Yarantsev D.A., Leonov S.B. // Philosophical Transactions of the Royal Society A: Mathematical, Physical and Engineering Sciences. 2015. V. 373. № 2048. https://doi.org/10.1098/rsta.2014.0337
- Alferov V.I., Bushmin A.S. // Sov. Phys. JETP. 1963. V. 17. № 6. P. 1190.
- Ershov A.P., Kalinin A.V., Surkont O.S., Timofeev I.B., Shibkov V.M., Chernikov V.A. // High Temperature. 2004. V. 42. № 6. P. 865. https://doi.org/10.1007/S10740-005-0029-0
- Leonov S.B., Yarantsev D.A. // Fluid Dynamics. 2008. V. 43. № 6. P. 945. https://doi.org/10.1134/S001546280806015X
- Шибков В.М., Шибкова Л.В., Логунов А.А. // Физика плазмы. 2017. Т. 43. № 3. С. 314. = Shibkov V.M., Shibkova L.V., Logunov A.A. // Plasma Physics Reports. 2017. V. 43. № 3. P. 373. https://doi.org/10.1134/S1063780X17030114
- Шибков В.М., Шибкова Л.В., Логунов А.А. // Физика плазмы. 2018. Т. 44. № 8. С. 661. = Shibkov V.M., Shibkova L.V., Logunov A.A. // Plasma Physics Reports. 2018. V. 44. № 8. P. 754. https://doi.org/10.1134/S1063780X18080056
- Leonov S.B., Savelkin K.V., Firsov A.A., Yarantsev D.A. // High Temperature. 2010. V. 48. № 6. P. 896–902. https://doi.org/10.1134/S0018151X10060179
- Firsov A.A., Kolosov N.S. // Journal of Physics: Conference Series. 2021. V. 2100. № 1. https://doi.org/10.1088/1742-6596/2100/1/012017
- Leonov S.B., Elliott S., Carter C., Houpt A., Lax P., Ombrello T. // Experimental Thermal and Fluid Science. 2021. V. 124. P. 110355. https://doi.org/10.1016/j.expthermflusci.2021.110355
- Firsov A.A., Efimov A.V., Kolosov N.S., Moralev I.A., Leonov S.B. // Journal of Physics: Conference Series. 2021. V. 2100. № 1. P. 012007. https://doi.org/10.1088/1742-6596/2100/1/012007
- Andrews P., Lax P., Leonov S. // Energies. 2022. V. 15. № 19. P. 7104. https://doi.org/10.3390/EN15197104
- Falempin F., Firsov A.A., Yarantsev D.A., Goldfeld M.A., Timofeev K., Leonov S.B. // Experiments in Fluids 2015 56:3. 2015. V. 56. № 3. P. 54. https://doi.org/10.1007/S00348-015-1928-4
- Ershov A.P., Kamenshchikov S.A., Kolesnikov E.B., Logunov A.A., Firsov A.A., Chernikov V.A. // Fluid Dynamics. 2008. V. 43. № 4. P. 605–612. https://doi.org/10.1134/S0015462808040133
- Dvinin S.A., Ershov A.P., Timofeev I.B., Chernikov V.A., Shibkov V.M. // High Temperature. 2004. V. 42. № 2. P. 171–182. https://doi.org/10.1023/B:HITE.0000026147.82949.36
- Moralev I., Kazanskii P., Bityurin V., Bocharov A., Fir-sov A., Dolgov E., Leonov S. // Journal of Physics D: A-pplied Physics. 2020. V. 53. № 42. P. 425203. https://doi.org/10.1088/1361-6463/AB9D5A
- Bityurin V.A., Bocharov A.N., Kuznetsova T.N. // Journal of Physics: Conference Series. 2020. V. 1698. № 1. P. 012027. https://doi.org/10.1088/1742-6596/1698/1/012027
- Bityurin V., Bocharov A., Popov N. // 46th AIAA Aerospace Sciences Meeting and Exhibit. Reston, Virigina: American Institute of Aeronautics and Astronautics, 2008. P. 2008. https://doi.org/10.2514/6.2008-1385.
- Gray M.D., Sirohi J., Raja L.L. // AIAA Aerospace Sciences Meeting. 2018. P. 2018. https://doi.org/10.2514/6.2018-0935
- Breden D., Karpatne A., Suzuki K., Raja L. // WCX SAE World Congress Experience. SAE International, 2019. V. 2019-April. № April. https://doi.org/10.4271/2019-01-0215.
- Tarasov D.A., Firsov A.A. // Journal of Physics: Conference Series. 2021. V. 2100. № 1. P. 012015. https://doi.org/10.1088/1742-6596/2100/1/012015
- Bourlet A., Labaune J., Tholin F., Pechereau F., Vincent-Randonnier A., Laux C.O. // AIAA Science and Technology Forum and Exposition, AIAA SciTech Forum 2022. 2022. P. 2022-0831. https://doi.org/10.2514/6.2022-0831
- Bityurin V.A., Bocharov A.N. // J. Phys. D Appl. Phys. 2018. V. 51. № 26. P. 264001. https://doi.org/10.1088/1361-6463/aac566
- Bocharov A.N., Bityurin V.A. LAP Lambert Academic Publishing, 2017. P. 28.
- Перевощиков Е.Е., Фирсов А.А. // Физика плазмы. 2023. Т. 49. № 5. = Perevoshchikov E.E., Firsov A.A. // Plasma Physics Reports. 2023. V. 49. № 5. https://doi.org/10.31857/S0367292123600218
- Bityurin V.A., Bocharov A.N., Popov N.A. // Fluid Dynamics. 2008 43:4. 2008. V. 43. № 4. P. 642. https://doi.org/10.1134/S0015462808040170
- Bityurin V.A., Bocharov A.N. // Fluid Dynamics 2006 41:5. 2006. V. 41. № 5. P. 843. https://doi.org/10.1007/S10697-006-0100-5
- Firsov A., Bityurin V., Tarasov D., Dobrovolskaya A., Troshkin R., Bocharov A. // Energies. 2022. V. 15. № 19. P. 7015. https://doi.org/10.3390/en15197015
- Park C. // J. Thermophys. Heat Trans. 2012. V. 7. № 3. P. 385–398. https://doi.org/10.2514/3.431.
- Benilov M.S., Naidis G.V. // J Phys D Appl Phys. 2003. V. 36. № 15. P. 1834. https://doi.org/10.1088/0022-3727/36/15/314
- Hagelaar G.J.M., Pitchford L.C. // Plasma Sources Sci Technol. 2005. V. 14. № 4. P. 722. https://doi.org/10.1088/0963-0252/14/4/011
- Phelps A.V., Pitchford L.C. // Phys Rev A. 1985. V. 31. № 5. P. 2932. https://doi.org/10.1103/PhysRevA.31.2932
- Braginskiy O.V., Vasilieva A.N., Klopovskiy K.S., Kova-lev A.S., Lopaev D.V., Proshina O.V., Rakhimova T.V., Rakhimov A.T. // J. Phys. D Appl. Phys. 2005. V. 38. № 19. P. 3609. https://doi.org/10.1088/0022-3727/38/19/010
- Kovalev A.S., Lopaev D.V., Mankelevich Y.A., Popov N.A., Rakhimova T.V., Poroykov A.Y., Carroll D.L. // J. Phys. D Appl. Phys. 2005. V. 38. № 14. P. 2360. https://doi.org/10.1088/0022-3727/38/14/010
- Popov N.A., Starikovskaia S.M. // Prog Energy Combust Sci. 2022. V. 91. P. 100928. https://doi.org/10.1016/j.pecs.2021.100928
- Bityurin V.A., Bocharov A.N., Dobrovolskaya A.S., Kuznetsova T.N., Popov N.A., Filimonova E.A. // J. Phys.: Conf. Ser. 2021. V. 2100. P. 012032. https://doi.org/10.1088/1742-6596/2100/1/012032
- Deminsky M., Kochetov I., Napartovich A., Leonov S. // International Journal of Hypersonics. 2010. V. 1. № 4. P. 209–224. https://doi.org/10.1260/1759-3107.1.4.209
- Трошкин Р.С., Фирсов А.А. // Физика плазмы. 2023. Т. 49. № 5. = Troshkin R.S., Firsov A.A. // Plasma Physics Reports. 2023. V. 49. № 5. https://doi.org/10.31857/S036729212360022X
Supplementary files


























