Iron Corrosion in the Radiative Plasma of Moist Air
- Authors: Babichev V.N.1, Galeeva K.E.1, Kirichenko A.N.1, Nekrasov A.A.1, Ugodchikova A.V.1, Trushkin N.I.1, Filippov A.V.1,2, Cherepanova Y.V.1, Cherkovets V.E.1
-
Affiliations:
- Troitsk Institute of Innovative and Thermonuclear Research
- Joint Institute for High Temperatures, Russian Academy of Sciences
- Issue: Vol 49, No 5 (2023)
- Pages: 412-424
- Section: LOW TEMPERATURE PLASMA
- URL: https://bakhtiniada.ru/0367-2921/article/view/139584
- DOI: https://doi.org/10.31857/S036729212260159X
- EDN: https://elibrary.ru/VEIBZO
- ID: 139584
Cite item
Full Text
Abstract
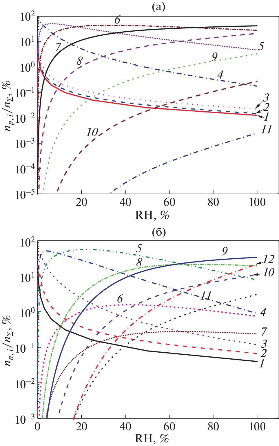
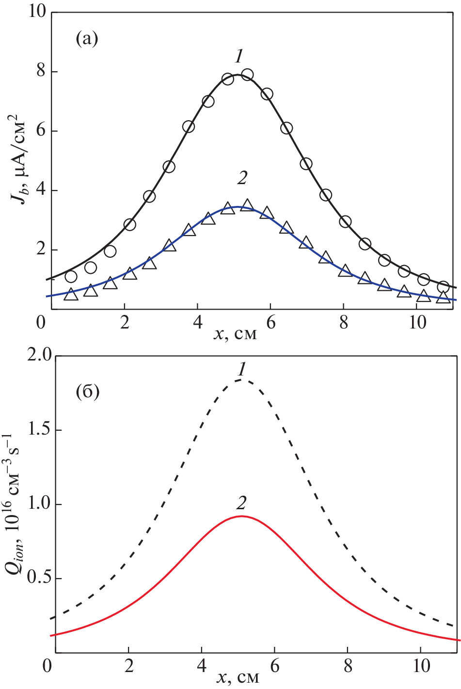
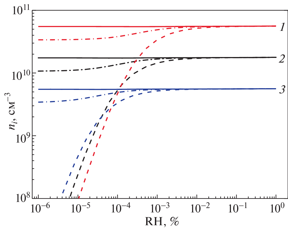
The rate of iron corrosion in a low-temperature plasma of moist air formed under the action of a fast electron beam, depending on the relative air humidity, was measured. It is shown that a beam of fast electrons (radioactive β-radiation) significantly intensifies the corrosion of iron in a plasma-forming gas medium in which oxygen and water vapour are simultaneously present. It has been established that the rate of corrosion under conditions of radioactive irradiation increases sharply when the relative air humidity exceeds 10%. Numerical simulation of the ionic composition of the plasma is carried out taking into account 12 types of positive and 12 types of negative hydrated ions at different intensities of the external ionization source and at different values of relative humidity from 10–6 to 100%. A hypothesis has been put forward about the determining role of cluster hydrated ions, which are formed in the plasma of moist air at atmospheric pressure, in heterogeneous processes of iron oxidation.
Keywords
About the authors
V. N. Babichev
Troitsk Institute of Innovative and Thermonuclear Research
Email: trushkin@triniti.ru
108840, Troitsk, Moscow, Russia
K. E. Galeeva
Troitsk Institute of Innovative and Thermonuclear Research
Email: trushkin@triniti.ru
108840, Troitsk, Moscow, Russia
A. N. Kirichenko
Troitsk Institute of Innovative and Thermonuclear Research
Email: trushkin@triniti.ru
108840, Troitsk, Moscow, Russia
A. A. Nekrasov
Troitsk Institute of Innovative and Thermonuclear Research
Email: trushkin@triniti.ru
108840, Troitsk, Moscow, Russia
A. V. Ugodchikova
Troitsk Institute of Innovative and Thermonuclear Research
Email: trushkin@triniti.ru
108840, Troitsk, Moscow, Russia
N. I. Trushkin
Troitsk Institute of Innovative and Thermonuclear Research
Email: trushkin@triniti.ru
108840, Troitsk, Moscow, Russia
A. V. Filippov
Troitsk Institute of Innovative and Thermonuclear Research; Joint Institute for High Temperatures, Russian Academy of Sciences
Email: trushkin@triniti.ru
108840, Troitsk, Moscow, Russia; 125412, Moscow, Russia
Yu. V. Cherepanova
Troitsk Institute of Innovative and Thermonuclear Research
Email: trushkin@triniti.ru
108840, Troitsk, Moscow, Russia
V. E. Cherkovets
Troitsk Institute of Innovative and Thermonuclear Research
Author for correspondence.
Email: trushkin@triniti.ru
108840, Troitsk, Moscow, Russia
References
- Бялобжевский А.В. Радиационная коррозия М.: Наука, 1967.
- Lapuerta S., Bererd N., Moncoffre N., Millard-Pinard N., Jaffrezic H., Crusset D., Feron D. // J. Nuclear Materials. 2008. V. 375. P. 80.
- Филиппов А.В., Бабичев В.Н., Дятко Н.А., Паль А.Ф., Старостин А.Н., Таран М.Д., Фортов В.Е. // ЖЭТФ. 2006. Т. 129. С. 386.
- Cason C., Perkins J., Werkheiser A., Duderstadt J. // AIAA. 1977. Paper № 77. P. 65.
- Томашов Н.Д., Чернова Г.П. Теория коррозии и коррозионностойкие конструкционные сплавы. М.: Металлургия, 1986. С. 359.
- Phipps P.B.P., Rice D.W. // ACS Symp. Ser. 1979. V. 89. P. 235.
- Филиппов А.В., Дербенев И.Н., Дятко Н.А., Кур-кин С.А., Лопанцева Г.Б., Паль А.Ф., Старостин А.Н. // ЖЭТФ. 2017. Т. 152. С. 293.
- Стародубцев С.В., Романов А.М. Прохождение заряженных частиц через вещество, Ташкент: Изд-во АН Узбекской ССР, 1962.
- Журавлев Б.В., Напартович А.П., Паль А.Ф., Пичугин В.В., Родин А.В., Старостин А.Н., Таран Т.В., Таран М.Д., Филиппов А.В. // Физика плазмы. 1988. Т. 14. С. 233.
- Petukhov A.V. // Chemical Phys. Lett. 1997. V. 277. P. 539.
- Савенкова И.В., Фатьянова Е.А. Коррозия металлов. Методы защиты металлов от коррозии: методические указания по выполнению лабораторной работы и для самостоятельной работы студентов технических специальностей. Курск: Юго-Зап. гос. ун-т, 2013. С. 22.
- Pourbaix M., Pourbaix A. // Corrosion. 1989. V. 45. P. 71.
- Филиппов А.В., Дербенев И.Н., Куркин С.А. // ЖЭТФ. 2017. Т. 152. С. 1131.
- Франк-Каменецкий Д.А. Диффузия и теплопередача в химической кинетике. М.: Наука, 1987. С. 502.
- Паль А.Ф., Старостин А.Н., Филиппов А.В. // Физика плазмы. 2001. Т. 27. С. 155.
- Hagelaar G.J., Pitchford L.C. // Plasma Sources Sci. Technol. 2005. V. 14 (4). P. 722.
- Pancheshnyi S., Biagi S.F., Bordage M.C., Hagela-ar G.J.M., Morgan W.L., Phelps A.V., Pitchford L.C. // Chem. Phys. 2012. V. 389. P. 148.
- Pitchford L.C., Alves L.L., Bartschat K., Biagi S.F., Bordage M.C., Bray I., Pancheshnyi S. // Plasma Processes Polymers. 2017. V. 14. P. 1600098.
- Улиг Г., Реви Р. Коррозия и борьба с ней. Введение в коррозионную науку и технику / Под ред. А.М. Сухотина. Л.: Химия, 1989.
Supplementary files











