Influence of Electron Collisions on Electromagnetic Modes of Plasma Produced by Multi-Photon Ionization of an Inert Gas
- Authors: Vagin K.Y.1, Uryupin S.A.1
-
Affiliations:
- Lebedev Physical Institute, Russian Academy of Science
- Issue: Vol 49, No 9 (2023)
- Pages: 903-917
- Section: OSCILLATIONS AND WAVES IN PLASMA
- URL: https://bakhtiniada.ru/0367-2921/article/view/139583
- DOI: https://doi.org/10.31857/S0367292123600711
- EDN: https://elibrary.ru/XAIRRB
- ID: 139583
Cite item
Full Text
Abstract
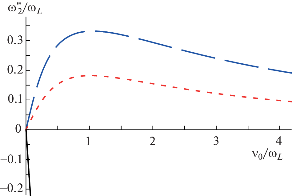
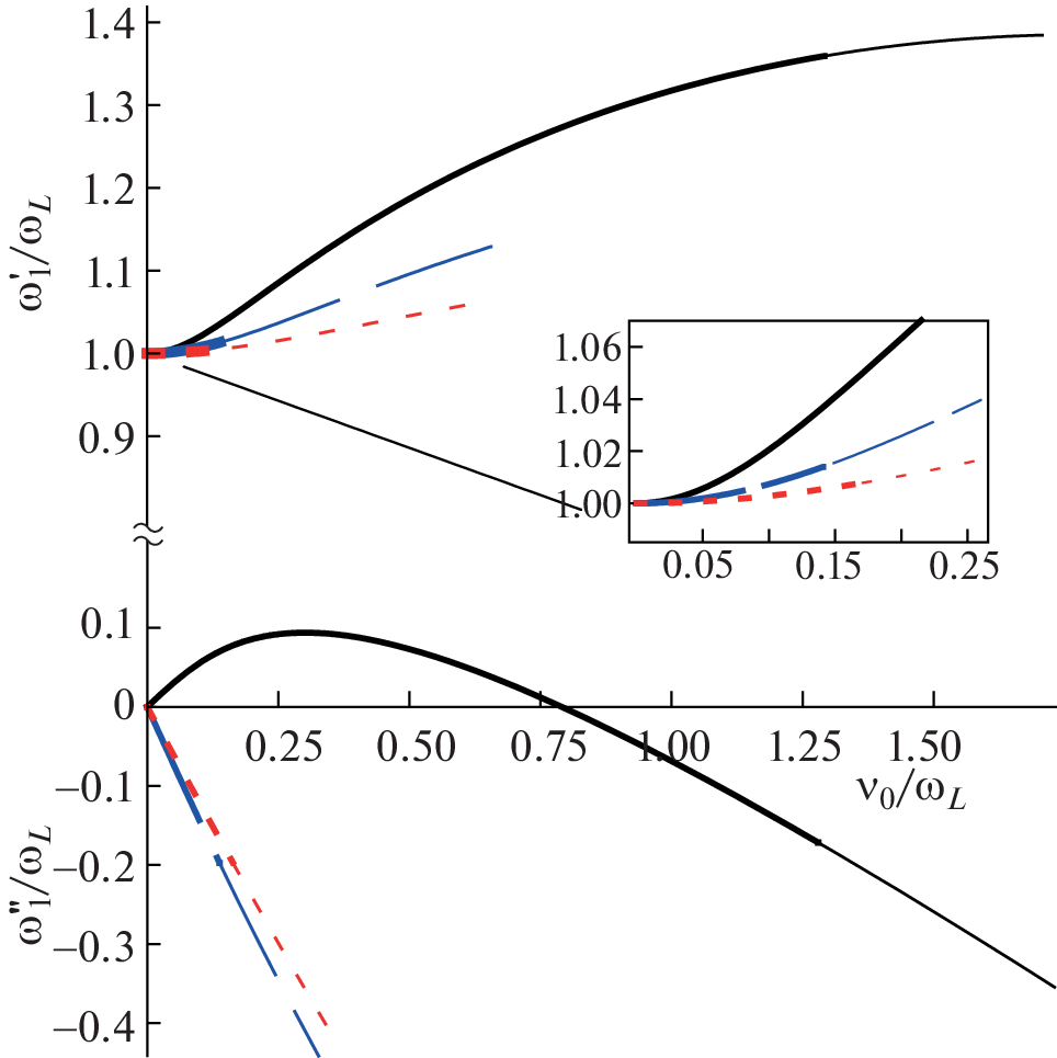
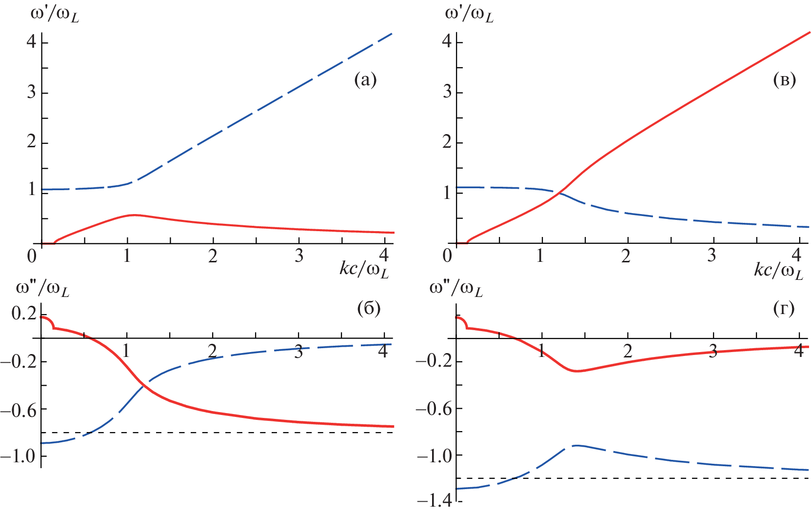
Collective electromagnetic modes in weakly ionized plasma formed by multiphoton ionization of inert gas atoms, in which the Ramsauer–Townsend effect takes place, are studied. It is shown that at a relatively low energy of photoelectrons of the order of 1 eV, typical for multiphoton ionization, amplification of electromagnetic waves is possible. Amplification is possible both in the case of rare collisions of photoelectrons with neutral atoms and for collision frequencies higher than electron plasma frequency. At photoelectron energies somewhat higher than 1 eV, aperiodic instability can develop with growth rate whose value is comparable to electron plasma frequency. Detailed analytical and numerical analysis of the effect of collisions of photoelectrons with neutral atoms on the dispersion law of electromagnetic wave and the growth rates of instabilities is presented.
About the authors
K. Yu. Vagin
Lebedev Physical Institute, Russian Academy of Science
Email: vagin@sci.lebedev.ru
119991, Moscow, Russia
S. A. Uryupin
Lebedev Physical Institute, Russian Academy of Science
Author for correspondence.
Email: vagin@sci.lebedev.ru
119991, Moscow, Russia
References
- Тимофеев А.В. // Физика плазмы. 2012. Т. 38. С. 87. [Timofeev A.V. // Plasma Phys. Rep. 2012. V. 38. P. 79. doi: 10.1134/S1063780X11120099.]
- Delone N.B., Krainov V.P. // JOSA B. 1991. V. 8. P. 1207. https://doi.org/10.1364/JOSAB.8.001207
- McNaught S.J., Knauer J.P., Meyerhofer D.D. // Phys. Rev. Lett. 1997. V. 78. P. 626. https://doi.org/10.1103/PhysRevLett.78.626
- Leemans W.P., Clayton C.E., Mori W.B., Marsh K.A., Kaw P.K., Dyson A., Joshi C., Wallace J.M. // Phys. Rev. A. 1992. V. 46. P. 1091. https://doi.org/10.1103/PhysRevA.46.1091
- Мур В.Д., Попруженко С.В., Попов В.С. // ЖЭТФ. 2001. Т. 119. С. 893. [Mur V.D., Popruzhenko S.V., Po-pov V.S. // JETP. 2001. V. 92. P. 777. doi: 10.1134/1.1378169.]
- Huang C.K., Zhang C.J., Marsh K.A., Clayton C.E., Joshi C. // Plasma Phys. Control. Fusion. 2020. V. 62. P. 024011. https://doi.org/10.1088/1361-6587/ab61df
- Agostini P., Fabre F., Mainfray G., Petite G., Rah-man N.K. // Phys. Rev. Lett. 1979. V. 47. P. 1127. https://doi.org/10.1103/PhysRevLett.42.1127
- Petite G., Agostini P., Yergeau F. // JOSA B. 1987. V. 4. P. 765.
- Muller H.G., van Linden van den Heuvell H.B., Agos-tini P., Petite G., Antonetti A., Franco M., Migus A. // Phys. Rev. Lett. 1988. V. 60. P. 565. https://doi.org/10.1103/PhysRevLett.60.565
- Fabre F., Agostini P., Petite G., Clement M. // J. Phys. B: Atom. Mol. Phys. 1981. V. 14. P. L677. https://doi.org/10.1088/0022-3700/14/21/007
- Gontier Y., Rahman N.K., Trahin M. // EPL. 1988. V. 5. P. 595. https://doi.org/10.1209/0295-5075/5/7/004
- Marchenko T., Muller H.G., Schafer K.J., Vrak-king M.J.J. // J. Phys. B: At. Mol. Opt. Phys. 2010. V. 43. P. 185001. https://doi.org/10.1088/0953-4075/43/18/185001
- Li M., Liu Y., Liu H., Yang Y., Yuan J., Liu X., Deng Y., Wu C., Gong Q. // Phys. Rev. A. 2012. V. 85. P. 013414. https://doi.org/10.1103/PhysRevA.85.013414
- Zhang L., Miao Z., Zheng W., Zhong X., Wu C. // Chemical Physics. 2019. V. 523. P. 52.https://doi.org/10.1016/j.chemphys.2019.04.005
- Вагин К.Ю., Урюпин С.А. // ЖЭТФ. 2010. Т. 138. С. 757. [Vagin K.Y., Uryupin S.A. // JETP. 2010. V. 111. P. 670. doi: 10.1134/S1063776110100195.]
- Вагин К.Ю., Романов А.Ю., Урюпин С.А. // Физика плазмы. 2012. Т. 38. С. 63. [Vagin K.Y., Romanov A.Y., Uryupin S.A. // Plasma Phys. Rep. 2012. V. 38. P. 57. doi: 10.1134/S1063780X11120117.]
- Вагин К.Ю., Урюпин С.А. // Физика плазмы. 2013. Т. 39. С. 759. [Vagin K.Y., Uryupin S.A. // Plasma Phys. Rep. 2013. V. 39. P. 674. doi: 10.1134/S1063780X13080060.]
- Вагин К.Ю., Урюпин С.А. // Физика плазмы. 2014. Т. 40. С. 468. [Vagin K.Y., Uryupin S.A. // Plasma Phys. Rep. 2014. V. 40. P. 393. doi: 10.1134/S1063780X14040096.]
- Vagin K.Yu., Uryupin S.A. // Phys. Lett. A. 2015. V. 379. P. 745. https://doi.org/10.1016/j.physleta.2014.12.025
- Вагин К.Ю., Урюпин С.А. // Физика плазмы. 2015. Т. 41. С. 808. [Vagin K.Y., Uryupin S.A. // Plasma Phys. Rep. 2015. V. 41. P. 744. doi: 10.1134/S1063780X15080103.]
- Donko Z., Dyatko N. // Eur. Phys. J. D. 2016. V. 70. P. 135. https://doi.org/10.1140/epjd/e2016-60726-4
- Vagin K.Y., Uryupin S.A. // J. Russ. Laser Res. 2016. V. 37. P. 473. https://doi.org/10.1007/s10946-016-9599-z
- Bogatskaya A.V., Gnezdovskaia N.E., Volkova E.A., Po-pov A.M. // Plasma Sources Sci. Technol. 2020. V. 29. P. 105016. https://doi.org/10.1088/1361-6595/aba110
- Богацкая А.В., Попов А.М. // Письма в ЖЭТФ. 2013. Т. 97. С. 453. [Bogatskaya A.V., Popov A.M. // JETP Lett. 2013. V. 97. P. 388. doi: 10.1134/S0021364013070035.]
- Bogatskaya A.V., Smetanin I.V., Volkova E.A., Po-pov A.M. // Laser and Particle Beams. 2015. V. 33. P. 17. https://doi.org/10.1017/S0263034614000755
- Vagin K.Yu., Uryupin S.A. // Plasma Sources Sci. Technol. 2020. V. 29. P. 035005. https://doi.org/10.1088/1361-6595/ab5e28
- Vagin K.Yu., Uryupin S.A. // Physics of Plasmas. 2020. V. 27. P. 112110. https://doi.org/10.1063/5.0023518
- Bogatskaya A.V., Volkova E.A., Popov A.M. // Phys. Rev. E. 2021. V. 104. P. 025202. https://doi.org/10.1103/PhysRevE.104.025202
- Hayashi M. // J. Phys. D: Appl. Phys. 1983. V. 16. P. 581. https://doi.org/0.1088/0022-3727/16/4/018
- Hayashi M. Bibliography of electron and photon cross sections with atoms and molecules published in the 20th century. Xenon: Tech. Rep.: : National Inst. for Fusion Science, 2003.
- Смирнов Б.М. Физика слабоионизованного газа: В задачах с решениями. М.: Наука, 1985. 424 c. [Smirnov B.M. Physics of ionized gases. New York: John Wiley & Sons, 2001.]
- Vagin K.Yu., Mamontova T.V., Uryupin S.A. // Phys. Rev. A. 2020. V. 102. P. 023105. https://doi.org/10.1103/PhysRevA.102.023105
- Lorentz H.A. // Arch. neerl. 1905. V. 10. P. 336. (see also Lorentz H.A. Collected Papers (Martinus Nijhoff, The Hague, 1936), Vol. III.)
- Townsend J.S., Bailey V.A. // The London, Edinburgh, and Dublin Philosophical Magazine and Journal of Science. 1921. V. 42. P. 873.
- Ramsauer C. // Annalen der Physik. 1921. V. 369. P. 513.
- Brode R.B. // Reviews of Modern Physics. 1933. V. 5. P. 257.
Supplementary files













