Simulations of Reflectometer Response to ITER Plasma Perturbations Caused by Alfvén Modes
- Authors: Shelukhin D.A.1, Isaev M.Y.2, Medvedev S.Y.2, Vershkov V.A.2, Mikhailov M.I.2
-
Affiliations:
- `National Research Centre “Kurchatov Institute”
- National Research Centre “Kurchatov Institute”
- Issue: Vol 49, No 9 (2023)
- Pages: 885-902
- Section: TOKAMAKS
- URL: https://bakhtiniada.ru/0367-2921/article/view/139576
- DOI: https://doi.org/10.31857/S0367292121100401
- EDN: https://elibrary.ru/XAIJRO
- ID: 139576
Cite item
Full Text
Abstract
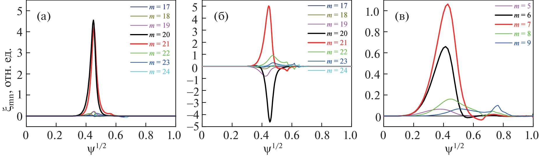
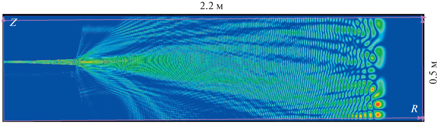
The KINX and VENUS codes were used for simulation of the baseline inductive and steady-state scenarios of the ITER tokamak operation. The perturbations of plasma electron density and magnetic field caused by the Alfvén modes were calculated in the flux coordinates for these scenarios. The perturbation fields obtained were converted into the engineering coordinates in order to calculate the propagation of probe electromagnetic radiation of the reflectometer using the two-dimensional full-wave TAMIC RτX code in the expected geometry of the experiment. The calculations performed show that for the baseline inductive scenario, in the case of reflection of the extraordinary wave at the lower cutoff frequency from the high magnetic field side, the electric field relative perturbations of the reflected reflectometer signal correspond to the margin of linear range of the diagnostics operation or even go out of this range. It was found that in a number of scenarios, not only the electron density perturbations, but also the magnetic field perturbations significantly contribute to the total signal perturbations that makes even more difficult the further data interpretation. Another possible problem is the narrow frequency range of probing frequencies where the Alfvén mode can be observed. In addition to simulating the reflection of electromagnetic waves from plasma, it was analyzed also the possibility of measuring the Alfvén modes parameters when the extraordinary wave pass through the plasma in the transparency window between the upper and lower cutoff frequencies of the extraordinary wave (refractometry). It is shown that at the fundamental frequency, the phase perturbations range from 3 to 60 degrees, which makes it impossible to use the amplitude-modulated refractometer for analyzing signals. The “synthetic diagnostics” approach was used, which showed itself well for simulating the operation of reflectometers at plasma facilities.
Keywords
About the authors
D. A. Shelukhin
`National Research Centre “Kurchatov Institute”
Email: shelukhin_da@nrcki.ru
123098, Moscow, Russia
M. Yu. Isaev
National Research Centre “Kurchatov Institute”
Email: shelukhin_da@nrcki.ru
123098, Moscow, Russia
S. Yu. Medvedev
National Research Centre “Kurchatov Institute”
Email: shelukhin_da@nrcki.ru
123098, Moscow, Russia
V. A. Vershkov
National Research Centre “Kurchatov Institute”
Email: shelukhin_da@nrcki.ru
123098, Moscow, Russia
M. I. Mikhailov
National Research Centre “Kurchatov Institute”
Author for correspondence.
Email: shelukhin_da@nrcki.ru
123098, Moscow, Russia
References
- Fasoli A., Gormenzano C., Berk H.L., Breizman B., Briguglio S., Darrow D.S., Gorelenkov N., Heidbrink W.W., Jaun A., Konovalov S.V., Nazikian R., Noterdaeme J.-M., Sharapov S., Shinohara K., Testa D., Tobita K., Todo Y., Vlad G., Zonca F. // Nucl. Fusion. 2007. V. 47. № 6. S264.
- Вершков В.А., Солдатов С.В., Шелухин Д.А., Уразбаев А.О. // ПТЭ. 2004. № 2. C. 54.
- Lechte C., Conway G.D., Görler T., Tröster-Schmid C. and the ASDEX Upgrade Team // Plasma Phys. Control. Fusion. V. 59. 075006
- da Graca S., Conway G.D., Lauber P., Curran D., Igochine V., Classen I., Garcia-Munoz M., Stober J., Van Zeeland M.A., Manso M.E. // Plasma Phys. Contr. Fusion. 2012. V. 54. 095014.
- Hacquin S., Alper B., Sharapov S., Borba D., Boswell C., Fessey J., Menesis L., Walsh M. // Nucl. Fusion. 2006. V. 46. 714.
- Heidbrink W.W. // Physics of Plasmas. 2008. V. 15. 055501.
- Gorelenkov N.N., Van Zeeland M.A., Berk H.L., Cro-ker N.A., Darrow D., Fredrickson E., Fu G.Y., Heid-brink W.W., Menard J., Nazikyan R. // Physics of Plasmas. 2009. V. 16. 056107.
- Borba D., Conway G.D., Günter S., Huysmans G.T.A., Klose S., Maraschek M., Mück A., Nunes I., Pinches S.D., Serra F. // Plasma Phys. Control. Fusion. 2004. V. 46. P. 809.
- Crocker N.A., Peebles W.A., Kubota S., Fredrickson E.D., Kaye S.M., LeBlanc B.P., Menard J.E. // Phys. Rev. Lett. 2006. V. 97. 045002.
- Koenies A., Briguglio S., Gorelenkov N., Feher T., Isaev M., Lauber Ph., Mishchenko A., Spong D.A., Todo Y., Coo-per W.A., Hatzky R., Kleiber R., Borchardt M., Vlad G., Biancalani A., Bottino A. and ITPA EP TG. // Nucl. Fusion. 2018. V. 58. 126027.
- Isaev M.Y., Leonov V.M., Medvedev S.Y. // Fusion Science and Technology. 2019. V. 75. 218.
- Polevoi A.R., Medvedev S.Yu., Mukhovatov V.S., Kukushkin A.S., Murakami Y., Shimada M., Ivanov A.A. // J. Plasma Fusion Res. SERIES. 2002. V. 5. P. 82.
- Исаев М.Ю., Медведев С.Ю., Купер Э.А. // Физика плазмы. 2017. Т. 43. № 2. С. 1–11.
- Betti R., Freidberg J. // Phys. Fluids B. 1992. V. 4. P. 1465.
- Пустовитов В.Д., Шафранов В.Д. // Вопросы теории плазмы. Под редакцией Б.Б. Кадомцева. Вып. 15. М. Энергоатомиздат, 1987. С. 146.
- Sharapov S.E., Alper B., Fessey J., Hawkes N.C., Young N.P., Nazilian R., Kramer G.J., Borba D.N., Hacquin S., De La Luna E., Pinches S.D., Rapp J., Testa D., and JET-EFDA // Contributors. 2004. V. 93. № 16. P. 165001-1.
- Isaev M.Yu., Aleynikov P.B., Konovalov S.V., Medve-dev S.Yu. // 25th IAEA Fusion Energy Conference (FEC-2014), St. Petersburg, Russia, 13–18 October, 2014, TH/P3-39. http://www-naweb.iaea.org/napc/physics/FEC/FEC2014/fec2014-preprints/312_THP339.pdf
- Van Zeeland M.A., Gorelenkov N.N., Heidbrink W.W., Kramer G.J., Spong D.A., Austin M.E., Fisher R.K., Garcia Munoz M., Gorelenkova M., Luhmann N., Muraka-mi M., Nazikian R., Pace D.C., Park J.M., Tobias B.J., White R.B. // Nucl. Fusion 52(2012)094023.
- Heald M.A., Wharton C.B. // Plasma diagnostics with microwaves., New York–London–Sydney, John Wiley & Sons Inc., 1998.
- Vershkov V., Manso M., Vayakis G., Sanchez A.J., Wagner D., Walker C., Soldatov S., Kuznetsova L., Zhurav-lev V., Sestroretskii B., ITER Joint Central Team and Russian and EU Home Teams // Diagnostics for Thermonuclear Fusion Reactors 2. New York, Plenum Press, 1998. P. 107.
- Krasilnikov A.V., Kaschuck Y.A., Vershkov V.A., Pet-rov A.A., Petrov V.G., Tugarinov S.N. // International Conference on Fusion Reactor Diagnostics, Varenna, Italy September 9–13, 2013.
- Delaunay B. // Bulletin de l’Académie des Sciences de l’URSS, Classe des Sciences Mathématiques et Naturelles. 1934. № 6. P. 793–800. https://www.mathworks.com/help/matlab/ref/griddata.html
- Schneller M., Lauber Ph., Briguglio S. // Plasma Phys. Control. Fusion. 2016. V. 58. P. 014019.
- Климов К., Годин А., Перфильев В. Схемы элементарного объема пространства в подмагниченной плазме. Точность + скорость = TAMIC. М.: LA-MBERT Academic Publishing, 2012.
- Mazzucato E., Nazikian R. // Rev. Sci. Intrum. 1995. V. 66. № 2. P. 1237.
- ITER Project Requirements (PR) // ITER Organization, 2021. P. 1–159.
- Soldatov S.V., Bagdasarov A.A., Chistiakov V.V., Dnestrovskii Yu.N., Ivanov N.V., Kakurin A.M., Martynov D.A., Piterskii V.V., Pozniak V.I., Vershkov V.A., Tsaun S.V., Yakovets A.N., Volkov V.V. // Proc. of 24th EPS Conference on Contr. Fus. and Plasma Phys. Berchtesgarden, Germany. 1997. V. 21A. Pt 2. P. 673
- Teledyne / SP Devices ADQ 414 Datasheet. 2020, P. 1–32. https://www.spdevices.com/documents/datasheets/19-adq14-datasheet/file
Supplementary files


















