Classification of Edge Instabilities at Globus-M2 Tokamak
- Authors: Solokha V.V.1, Petrov Y.V.1, Ponomarenko A.M.2, Sakharov N.V.1, Telnova A.Y.1, Tkachenko E.E.1, Tokarev V.A.1, Tolstyakov S.Y.1, Tyukhmeneva E.A.1, Khromov N.A.1, Novokhatskii A.N.1, Minaev V.B.1, Kiselev E.O.1, Kurskiev G.S.1, Yashin A.Y.1,2, Balachenkov I.M.1, Varfolomeev V.I.1, Voronin A.V.1, Gusev V.K.1, Goryainov V.Y.1, Dyachenko V.V.1, Zhiltsov N.S.1, Shchegolev P.B.1
-
Affiliations:
- Ioffe Institute, Russian Academy of Sciences
- Peter the Great St. Petersburg Polytechnic University
- Issue: Vol 49, No 4 (2023)
- Pages: 322-331
- Section: TOKAMAKS
- URL: https://bakhtiniada.ru/0367-2921/article/view/139563
- DOI: https://doi.org/10.31857/S0367292122601540
- EDN: https://elibrary.ru/FKNQKA
- ID: 139563
Cite item
Full Text
Abstract
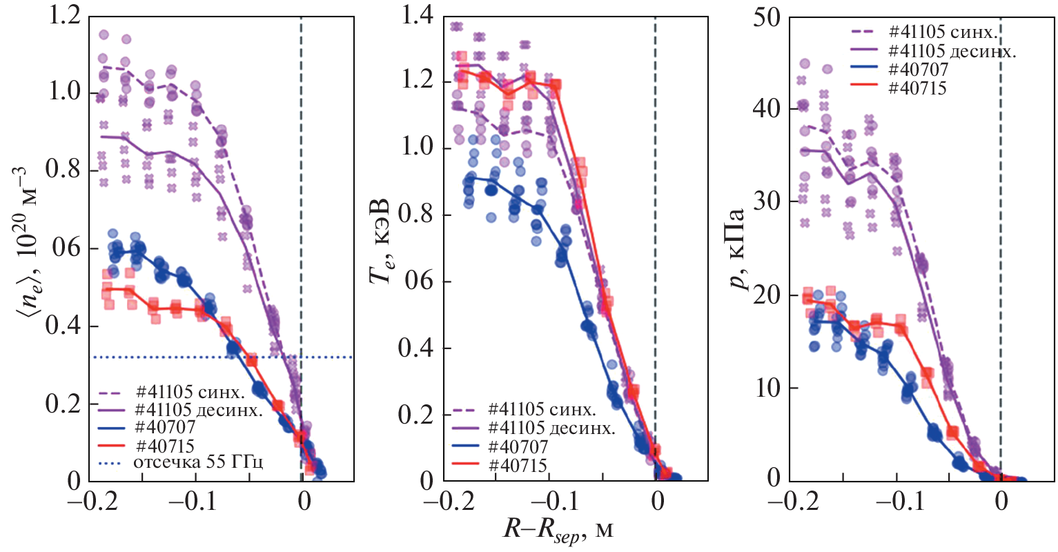
Among the peripheral instabilities observed at the Globus-M2 tokamak, two types of edge localized modes (ELMs) are brought into focus: ELMs synchronized and desynchronized with the sawtooth oscillations. The desynchronized ELMs appear in regimes that are characterized by high values of pressure in the pedestal, pped ≥ 3 kPa, and they are observed in discharges with the toroidal magnetic field BT > 0.6 T and plasma current IP > 0.3 MA. The desynchronized ELMs belong to the type-III/V with the dominating effect of the peeling mode. The synchronized ELMs were observed in a wider range of discharge parameters, including at BT < 0.6 T and IP < 0.3 MA. Calculations of the stability of the peeling-ballooning (PB) mode showed that at pedestal width ψnorm = 0.09 and pped > 3.5 kPa, destabilization of PB modes is possible without additional influence. Experimental data shows that the microtearing mode plays a dominant role in the pedestal. The microtearing mode does not allow the pedestal at Globus-M2 tokamak to reach the state of the unstable kinetic ballooning mode (KBM), which explains the low predictive power of the EPED model at this tokamak.
About the authors
V. V. Solokha
Ioffe Institute, Russian Academy of Sciences
Email: erina.tkachenko@yandex.ru
St. Petersburg, Russia
Yu. V. Petrov
Ioffe Institute, Russian Academy of Sciences
Email: min-anat@mail.ru
St. Petersburg, Russia
A. M. Ponomarenko
Peter the Great St. Petersburg Polytechnic University
Email: yu.petrov@mail.ioffe.ru
St. Petersburg, 195251 Russia
N. V. Sakharov
Ioffe Institute, Russian Academy of Sciences
Email: nikolay.sakharov@mail.ioffe.ru
St. Petersburg, Russia
A. Yu. Telnova
Ioffe Institute, Russian Academy of Sciences
Email: Nikolay.Khromov@mail.ioffe.ru
St. Petersburg, 194021 Russia
E. E. Tkachenko
Ioffe Institute, Russian Academy of Sciences
Email: Nikolay.Khromov@mail.ioffe.ru
St. Petersburg, 194021 Russia
V. A. Tokarev
Ioffe Institute, Russian Academy of Sciences
Email: Nikolay.Khromov@mail.ioffe.ru
St. Petersburg, 194021 Russia
S. Yu. Tolstyakov
Ioffe Institute, Russian Academy of Sciences
Email: yu.petrov@mail.ioffe.ru
St. Petersburg, 194064 Russia
E. A. Tyukhmeneva
Ioffe Institute, Russian Academy of Sciences
Email: min-anat@mail.ru
St. Petersburg, Russia
N. A. Khromov
Ioffe Institute, Russian Academy of Sciences
Email: Nikolay.Khromov@mail.ioffe.ru
St. Petersburg, 194021 Russia
A. N. Novokhatskii
Ioffe Institute, Russian Academy of Sciences
Email: erina.tkachenko@yandex.ru
St. Petersburg, Russia
V. B. Minaev
Ioffe Institute, Russian Academy of Sciences
Email: min-anat@mail.ru
St. Petersburg, Russia
E. O. Kiselev
Ioffe Institute, Russian Academy of Sciences
Email: min-anat@mail.ru
St. Petersburg, Russia
G. S. Kurskiev
Ioffe Institute, Russian Academy of Sciences
Email: min-anat@mail.ru
St. Petersburg, Russia
A. Yu. Yashin
Ioffe Institute, Russian Academy of Sciences; Peter the Great St. Petersburg Polytechnic University
Email: yu.petrov@mail.ioffe.ru
St. Petersburg, 194064 Russia; St. Petersburg, 195251 Russia
I. M. Balachenkov
Ioffe Institute, Russian Academy of Sciences
Email: bakharev@mail.ioffe.ru
St. Petersburg, 194021 Russia
V. I. Varfolomeev
Ioffe Institute, Russian Academy of Sciences
Email: bakharev@mail.ioffe.ru
St. Petersburg, 194021 Russia
A. V. Voronin
Ioffe Institute, Russian Academy of Sciences
Email: yu.petrov@mail.ioffe.ru
Россия, Санкт-Петербург
V. K. Gusev
Ioffe Institute, Russian Academy of Sciences
Email: min-anat@mail.ru
St. Petersburg, Russia
V. Yu. Goryainov
Ioffe Institute, Russian Academy of Sciences
Email: yu.petrov@mail.ioffe.ru
St. Petersburg, 194064 Russia
V. V. Dyachenko
Ioffe Institute, Russian Academy of Sciences
Email: yu.petrov@mail.ioffe.ru
St. Petersburg, 194064 Russia
N. S. Zhiltsov
Ioffe Institute, Russian Academy of Sciences
Email: Nikolay.Khromov@mail.ioffe.ru
St. Petersburg, 194021 Russia
P. B. Shchegolev
Ioffe Institute, Russian Academy of Sciences
Author for correspondence.
Email: min-anat@mail.ru
St. Petersburg, Russia
References
- Leonard A.W. // Phys. Plasmas 2014. 21 090501. https://doi.org/10.1063/1.4894742
- Wagner F., Fussmann G., Grave T., Keilhacker M., Kornherr M., Lackner K., McCormick K., Müller E.R., Stäbler A., Becker G., Bernhardi K., Ditte U., Eberha-gen A., Gehre O., Gernhardt J., Gierke G.v., Glock E., Gruber O., Haas G., Hesse M., Janeschitz G., Karger F., Kissel S., Klüber O., Lisitano G., Mayer H.M., Meisel D., Mertens V., Murmann H., Poschenrieder W., Rapp H., Röhr H., Ryter F., Schneider F., Siller G., Smeulders P., Söldner F., Speth E., Steuer K.-H., Szymanski Z., Vollmer O. // Phys. Rev. Lett. 1984. 53. 1453. https://doi.org/10.1103/PhysRevLett.53.1453
- Wilson H.R., Cowley S.C. // Phys. Rev. Lett. 2004. 92. 175006 https://doi.org/10.1103/PhysRevLett.92.175006
- Lampert M., Diallo A., Myra J.R., Zweben S.J. // Phys. Plasmas 2021. 28. 022304 https://doi.org/10.1063/5.0031322
- Snyder P.B., Wilson H.R., Ferron J.R., Lao L.L., Leonard A.W., Osborne T.H., Turnbull A.D., Mossessian D., Murakami M., Xu X.Q. // Phys. Plasmas. 2002. 9 2037 https://doi.org/10.1063/1.1449463
- Snyder P.B., Groebner R.J., Hughes J.W., Osborne T.H., Beurskens M., Leonard A.W., Wilson H.R., Xu X.Q. // Nucl. Fusion 2011. 51. 103016 https://doi.org/10.1088/0029-5515/51/10/103016
- Loarte A., Becoulet M., Saibene G., Sartori R., Camp-bell D.J., Eich T., Herrmann A., Laux M., Suttrop W., Alper B., Lomas P.J., Matthews G., Jachmich S., Ongena J., Innocente P. and EFDA- JET Workprogramme Collaborators // Plasma Phys. Control. Fusion 2022. 44. 1815. https://doi.org/10.1088/0741-3335/44/9/303
- Zohm H., Osborne T.H., Burrell K.H., Chu M.S., Doyle E.J., Gohil P., Hill D.N., Lao L.L., Leonard A.W., Taylor T.S., Turnbull A.D. // Nucl. Fusion 1995. 35 543. https://doi.org/10.1088/0029-5515/35/5/I05
- Kass T., Günter S., Maraschek M., Suttrop W., Zohm H. and ASDEX Upgrade Team // Nucl. Fusion 1998. 38. 111. https://doi.org/10.1088/0029-5515/38/1/310
- Saarelma S., Hender T.C., Kirk A., Meyer H., Wilson H.R., and MAST Team // Plasma Phys. Control. Fusion 2007. 49. 31. https://doi.org/10.1088/0741-3335/49/1/003
- Maingi R., Bush C.E., Fredrickson E.D., Gates D.A., Kaye S.M., LeBlanc B.P., Menard J.E., Meyer H., Mueller D., Nishino N., Roquemore A.L., Sabbagh S.A., Tritz K., Zweben S.J., Bell M.G., Bell R.E., Biewer T., Boedo J.A., Johnson D.W., Kaita R., Kugel H.W., Maqueda R.J., Munsat T., Raman R., Soukhanovskii V.A., Stevenson T., Stutman D. // Nucl. Fusion 2005. 45. 1066. https://doi.org/10.1088/0029-5515/45/9/006
- Zohm H. // Plasma Phys. Control. Fusion 1996. 38. 105. https://doi.org/10.1088/0741-3335/38/2/001
- Maingi R. // Phys. Plasmas. 2006. 13. 092510. https://doi.org/10.1063/1.2226986
- Lang P.T., Loarte A., Saibene G., Baylor L.R., Becou-let M., Cavinato M., Clement-Lorenzo S., Daly E., Evans T.E., Fenstermacher M.E., Gribov Y., Horton L.D., Lowry C., Martin Y., Neubauer O., Oyama N., Schaf-fer M.J., Stork D., Suttrop W., Thomas P., Tran M., Wilson H.R., Kavin A., Schmitz O. // Nucl. Fusion. 2013. 53. 043004. https://doi.org/10.1088/0029-5515/53/4/043004
- Solokha V.V., Kurskiev G.S., Bulanin V.V., Petrov A.V., Tolstyakov S.Yu., Mukhin E.E., Gusev V.K., Petrov Yu.V., Sakharov N.V., Tokarev V.A., Khromov N.A., Patrov M.I., Bakharev N.N., Sladkomedova A.D., Telnova A.Yu., Shchegolev P.B., Kiselev E.O., Yashin A.Yu. // J. Phys.: Conf. Ser. 2018. 1094. 012002. https://doi.org/10.1088/1742-6596/1094/1/012002
- Bulanin V.V., Kurskiev G.S., Solokha V.V., Yashin A.Yu., Zhiltsov N.S. // Plasma Phys. Control. Fusion 2021. 63. 122001. https://doi.org/10.1088/1361-6587/ac36a4
- Minaev V.B., Gusev V.K., Sakharov N.V., Varfolomeev V.I., Bakharev N.N., Belyakov V.A., Bondarchuk E.N., Brunkov P.N., Chernyshev F.V., Davydenko V.I., Dyachen-ko V.V., Kavin A.A., Khitrov S.A., Khromov N.A., Kise-lev E.O., Konovalov A.N., Kornev V.A., Kurskiev G.S., Labusov A.N., Melnik A.D., Mineev A.B., Mironov M.I., Miroshnikov I.V., Patrov M.I., Petrov Yu.V., Rozhan-sky V.A., Saveliev A.N., Senichenkov I.Yu., Shchego-lev P.B., Shcherbinin O.N., Shikhovtsev I.V., Sladkomedova A.D., Solokha V.V., Tanchuk V.N., Telnova A.Yu., Tokarev V.A., Tolstyakov S.Yu., Zhilin E.G. // Nucl. Fusion 2017. 57. 066047. https://doi.org/10.1088/1741-4326/aa69e0
- Gusev V.K., Golant V.E., Gusakov E.Z., D’yachenko V.V., Irzak M.A., Minaev V.B., Mukhin E.E., Novokhatskii A.N., Podushnikova K.A., Razdobarin G.T., Sakharov N.V., Tregubova E.N., Uzlov V.S., Shcherbinin O.N., Belya-kov V.A., Kavin A.A., Kostsov Yu.A., Kuz’min E.G., Soikin V.F., Kuznetsov E.A., Yagnov V.A. // Tech. Phys. 1999. 44. 1054. https://doi.org/10.1134/1.1259469
- Kurskiev G.S., Gusev V.K., Sakharov N.V., Petrov Yu.V., Bakharev N.N., Balachenkov I.M., Bazhenov A.N., Chernyshev F.V., Khromov N.A., Kiselev E.O., Kriku-nov S.V., Minaev V.B., Miroshnikov I.V., Novokhatskii A.N., Zhiltsov N.S., Mukhin E.E., Patrov M.I., Shulyatiev K.D., Shchegolev P.B., Skrekel O.M., Telnova A.Yu., Tkachenko E.E., Tukhmeneva E.A., Tokarev V.A., Tolstyakov S.Yu., Varfolomeev V.I., Voronin A.V., Goryai-nov V.Yu., Bulanin V.V., Petrov A.V., Ponomarenko A.M., Yashin A.Yu., Kavin A.A., Zhilin E.G., Solovey V.A. // Nucl. Fusion 2022. 62. 016011. https://doi.org/10.1088/1741-4326/ac38c9
- Yashin A., Bulanin V., Petrov A., Ponomarenko A. // A-ppl. Sci. 2021. 11. 8975. https://doi.org/10.3390/app11198975
- Sakharov N.V., Voronin A.V., Gusev V.K., Kavin A.A., Kamenshchikov S.N., Lobanov K.M., Minaev V.B., Novokhatsky A.N., Patrov M.I., Petrov Yu.V., Shchego-lev P.B. // Plasma Phys. Rep. 2015. 41. 997. https://doi.org/10.1134/S1063780X15120120
- Курскиев Г.С., Жильцов Н.С., Коваль А.Н., Корнев А.Ф., Макаров А.М., Мухин Е.Е. // Письма в Журнал технической физики 2021. 47. 24. https://doi.org/10.21883/PJTF.2021.24.51799.19019
- Muller M. Dynamic Time Warping. In: Information Retrieval for Music and Motion. Springer, Berlin, Heidelberg. https://doi.org/10.1007/978-3-540-74048-3_4
- Kalupin D., Tokar M.Z., Unterberg B., Loozen X., Pilipenko D., Zagorski R. and TEXTOR Contributors // Plasma Phys. Control. Fusion 2006. 48. A309. https://doi.org/10.1088/0741-3335/48/5A/S30
- Porcelli F., Boucher D., Rosenbluth M.N. // Plasma Phys. Control. Fusion 1996. 38. 2163. https://doi.org/10.1088/0741-3335/38/12/010
- Greenwald M., Terry J.L., Wolfe S.M., Ejima S., Bell M.G., Kaye S.M., Neilson G.H. // Nucl. Fusion 1988. 28 2199. https://doi.org/10.1088/0029-5515/28/12/009
- Eich T., Goldston R.J., Kallenbach A., Sieglin B., Sun H.J., ASDEX Upgrade Team and JET Contributors // Nucl. Fusion 2018. 58. 034001. https://doi.org/10.1088/1741-4326/aaa340
- Suttrop W., Kaufmann M., de Blank H.J., Brüsehaber B., Lackner K., Mertens V., Murmann H., Neuhauser J., Ryter F., Salzmann H., Schweinzer J., Stober J., Zohm H. and the ASDEX Upgrade Team // Plasma Phys. Control. Fusion 1997. 39. 2051. https://doi.org/10.1088/0741-3335/39/12/008
- Larakers J.L., Curie M., Hatch D.R., Hazeltine R.D., Mahajan S.M. // Phys. Rev. Lett. 2021. 126. 225001. https://doi.org/10.1103/PhysRevLett.126.225001
- Nelson A.O., Laggner F.M., Diallo A., Smith D., Xing Z.A., Shousha R., Kolemen E. // Nucl. Fusion 2021. 61. 116038. https://doi.org/10.1088/1741-4326/ac27ca
- Redl A., Angioni C., Belli E., Sauter O., ASDEX Upgrade Team, and EUROfusion MST1 Team // Phys. Plasmas 2021. 28. 022502. https://doi.org/10.1063/5.0012664
- Dudson B.D., Umansky M.V., Xu X.Q., Snyder P.B., Wilson H.R. // Comput. Phys. Commun. 2009. 180 1467. https://doi.org/10.1016/j.cpc.2009.03.008
- Lao L.L., St. John H.E., Peng Q., Ferron J.R., Strait E.J., Taylor T.S., Meyer W.H., Zhang C., You K.I. // Fusion Sci. Technol. 2005. 48. 968. https://doi.org/10.13182/FST48-968
- Dickinson D., Roach C.M., Saarelma S., Scannell R., Kirk A., Wilson H.R. // Phys. Rev. Lett. 2012. 108. 135002. https://doi.org/10.1103/PhysRevLett.108.135002
- Diallo A., Maingi R., Kubota S., Sontag A., Osborne T., Podestà M., Bell R.E., LeBlanc B.P., Menard J., Sabbagh S. // Nucl. Fusion. 2011. 51. 103031. https://doi.org/10.1088/0029-5515/51/10/103031
- Медведев С.Ю., Иванов А.А., Мартынов А.А., Пошехонов Ю.Ю., Коновалов С.В., Полевой А.Р. // Физика плазмы. 2016. Т. 42. № 5. С. 483. https://doi.org/10.7868/S0367292116050103
- Медведев С.Ю., Мартынов А.А., Коновалов С.В., Леонов В.М., Лукаш В.Э., Хайрутдинов Р.Р. // Физика плазмы. 2021. Т. 47. № 11. С. 998. https://doi.org/10.31857/S0367292121110226
Supplementary files










