Hot Ion Mode in the Globus-M2 Spherical Tokamak
- Authors: Yashin A.Y.1,2, Solovei V.A.3, Skrekel’ O.M.1, Ponomarenko A.M.2, Petrov A.V.1, Patrov M.I.1, Novokhatsky A.N.1, Mineev A.B.4, Melnik A.D.1, Solokha V.V.1, Tkachenko E.E.1, Shulyat’ev K.D.1, Shevelev A.E.1, Chernyshev F.V.1, Khromov N.A.1, Khil’kevich E.M.1, Tukhmeneva E.A.1, Tolstyakov S.Y.5, Tokarev V.A.1, Lobanov K.M.6, Krikunov S.V.1, Konovalov A.N.1, Kiselev E.O.1, Bakharev N.N.1, Tel’nova A.Y.1, Petrov Y.V.1, Miroshnikov I.V.1, Minaev V.B.1, Gusev V.K.1, Sakharov N.V.1, Zhil’tsov N.S.1, Shchegolev P.B.1, Kavin A.A.1, Il’yasova M.V.1, Zhilin E.G.7, D’yachenko V.V.1, Goryainov V.Y.1, Voronin A.V.1, Varfolomeev V.I.1, Balachenkov I.M.1, Kurskiev G.S.1
-
Affiliations:
- Ioffe Institute, Russian Academy of Sciences
- Peter the Great St. Petersburg Polytechnic University
- NRC “Kurchatov Institute” – PNPI
- JSC “Efremov Scientific Research Institute of Electrophysical Apparatus”(NIIEFA)
- Ioffe Institute
- Efremov Research Institute of Electrophysical Equipment
- “Ioffe Fusion Technology,”
- Issue: Vol 49, No 4 (2023)
- Pages: 305-321
- Section: TOKAMAKS
- URL: https://bakhtiniada.ru/0367-2921/article/view/139560
- DOI: https://doi.org/10.31857/S0367292122601497
- EDN: https://elibrary.ru/FKMFRK
- ID: 139560
Cite item
Full Text
Abstract
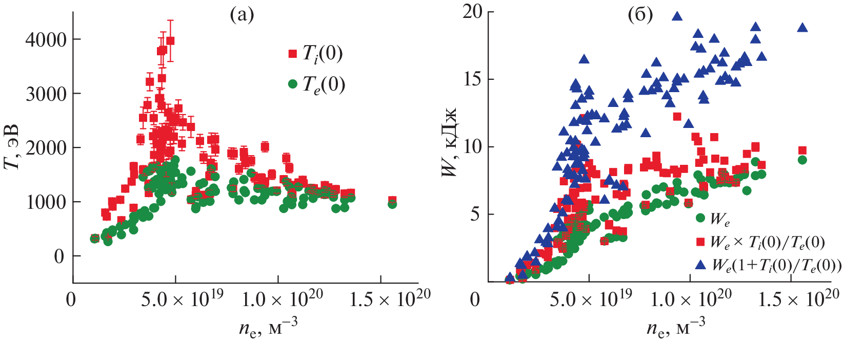
NBI-assisted plasma heating with one or two injectors of fast neutral atoms was studied at the Globus-M2 spherical tokamak at the toroidal magnetic fields of 0.8–0.9 T and plasma currents of 0.35–0.4 MA. Measurements of the spatial temperature and electron density distributions, performed using the Thomson scattering diagnostics, showed a twofold increase in heating of plasma electrons during the injection of neutral particles with energies of up to 45 keV at the beam power of 0.75 MW, as compared to the ohmic heating regime. Switching on the second additional beam with the particle energy of up to 30 keV and power of up to 0.5 MW resulted in obtaining the hot ion mode in the range of mean plasma densities of (1.6–10) × 1019 m−3. According to the data of active spectroscopy and neutral particle analyzer diagnostics, in the hot zone, the ion temperature reached 4 keV at the plasma density of 8 × 1019 m−3, which is more than 2.5 times higher than the electron temperature.
About the authors
A. Yu. Yashin
Ioffe Institute, Russian Academy of Sciences; Peter the Great St. Petersburg Polytechnic University
Email: yu.petrov@mail.ioffe.ru
St. Petersburg, 194064 Russia; St. Petersburg, 195251 Russia
V. A. Solovei
NRC “Kurchatov Institute” – PNPI
Email: golubev_ma@pnpi.nrcki.ru
Russia, 188300, Gatchina
O. M. Skrekel’
Ioffe Institute, Russian Academy of Sciences
Email: min-anat@mail.ru
St. Petersburg, Russia
A. M. Ponomarenko
Peter the Great St. Petersburg Polytechnic University
Email: yu.petrov@mail.ioffe.ru
St. Petersburg, 195251 Russia
A. V. Petrov
Ioffe Institute, Russian Academy of Sciences
Email: yu.petrov@mail.ioffe.ru
194021, St. Petersburg, Russia
M. I. Patrov
Ioffe Institute, Russian Academy of Sciences
Email: nightkeo@gmail.com
St. Petersburg, 194021 Russia
A. N. Novokhatsky
Ioffe Institute, Russian Academy of Sciences
Email: Nikolay.Khromov@mail.ioffe.ru
St. Petersburg, 194021 Russia
A. B. Mineev
JSC “Efremov Scientific Research Institute of Electrophysical Apparatus”(NIIEFA)
Email: Vladimir.Minaev@mail.ioffe.ru
Saint Petersburg, 196641 Russia
A. D. Melnik
Ioffe Institute, Russian Academy of Sciences
Email: bakharev@mail.ioffe.ru
St. Petersburg, 194021 Russia
V. V. Solokha
Ioffe Institute, Russian Academy of Sciences
Email: nightkeo@gmail.com
St. Petersburg, 194021 Russia
E. E. Tkachenko
Ioffe Institute, Russian Academy of Sciences
Email: min-anat@mail.ru
St. Petersburg, Russia
K. D. Shulyat’ev
Ioffe Institute, Russian Academy of Sciences
Email: yu.petrov@mail.ioffe.ru
St. Petersburg, 194064 Russia
A. E. Shevelev
Ioffe Institute, Russian Academy of Sciences
Email: yu.petrov@mail.ioffe.ru
St. Petersburg, 194064 Russia
F. V. Chernyshev
Ioffe Institute, Russian Academy of Sciences
Email: bakharev@mail.ioffe.ru
St. Petersburg, 194021 Russia
N. A. Khromov
Ioffe Institute, Russian Academy of Sciences
Email: nightkeo@gmail.com
St. Petersburg, 194021 Russia
E. M. Khil’kevich
Ioffe Institute, Russian Academy of Sciences
Email: yu.petrov@mail.ioffe.ru
St. Petersburg, 194064 Russia
E. A. Tukhmeneva
Ioffe Institute, Russian Academy of Sciences
Email: nightkeo@gmail.com
St. Petersburg, 194021 Russia
S. Yu. Tolstyakov
Ioffe Institute
Email: ermafin@gmail.com
St. Petersburg, Russia
V. A. Tokarev
Ioffe Institute, Russian Academy of Sciences
Email: min-anat@mail.ru
St. Petersburg, Russia
K. M. Lobanov
Efremov Research Institute of Electrophysical Equipment
Email: gleb.kurskiev@mail.ioffe.ru
196641, St. Petersburg, Russia
S. V. Krikunov
Ioffe Institute, Russian Academy of Sciences
Email: yu.petrov@mail.ioffe.ru
St. Petersburg, 194064 Russia
A. N. Konovalov
Ioffe Institute, Russian Academy of Sciences
Email: yu.petrov@mail.ioffe.ru
St. Petersburg, 194064 Russia
E. O. Kiselev
Ioffe Institute, Russian Academy of Sciences
Email: pkorenev@ipu.ru
St. Petersburg, Russia
N. N. Bakharev
Ioffe Institute, Russian Academy of Sciences
Email: Vladimir.Minaev@mail.ioffe.ru
Saint Petersburg, 194021 Russia
A. Yu. Tel’nova
Ioffe Institute, Russian Academy of Sciences
Email: min-anat@mail.ru
St. Petersburg, Russia
Yu. V. Petrov
Ioffe Institute, Russian Academy of Sciences
Email: Vladimir.Minaev@mail.ioffe.ru
Saint Petersburg, 194021 Russia
I. V. Miroshnikov
Ioffe Institute, Russian Academy of Sciences
Email: Vladimir.Minaev@mail.ioffe.ru
Saint Petersburg, 194021 Russia
V. B. Minaev
Ioffe Institute, Russian Academy of Sciences
Email: Vladimir.Minaev@mail.ioffe.ru
Saint Petersburg, 194021 Russia
V. K. Gusev
Ioffe Institute, Russian Academy of Sciences
Email: Vladimir.Minaev@mail.ioffe.ru
Saint Petersburg, 194021 Russia
N. V. Sakharov
Ioffe Institute, Russian Academy of Sciences
Email: Vladimir.Minaev@mail.ioffe.ru
Saint Petersburg, 194021 Russia
N. S. Zhil’tsov
Ioffe Institute, Russian Academy of Sciences
Email: min-anat@mail.ru
St. Petersburg, Russia
P. B. Shchegolev
Ioffe Institute, Russian Academy of Sciences
Email: Vladimir.Minaev@mail.ioffe.ru
Saint Petersburg, 194021 Russia
A. A. Kavin
Ioffe Institute, Russian Academy of Sciences
Email: gleb.kurskiev@mail.ioffe.ru
194021, St. Petersburg, Russia
M. V. Il’yasova
Ioffe Institute, Russian Academy of Sciences
Email: yu.petrov@mail.ioffe.ru
St. Petersburg, 194064 Russia
E. G. Zhilin
“Ioffe Fusion Technology,”
Email: yu.petrov@mail.ioffe.ru
St. Petersburg, 194021 Russia
V. V. D’yachenko
Ioffe Institute, Russian Academy of Sciences
Email: Vladimir.Minaev@mail.ioffe.ru
Saint Petersburg, 194021 Russia
V. Yu. Goryainov
Ioffe Institute, Russian Academy of Sciences
Email: nightkeo@gmail.com
St. Petersburg, 194021 Russia
A. V. Voronin
Ioffe Institute, Russian Academy of Sciences
Email: nightkeo@gmail.com
St. Petersburg, 194021 Russia
V. I. Varfolomeev
Ioffe Institute, Russian Academy of Sciences
Email: Vladimir.Minaev@mail.ioffe.ru
Saint Petersburg, 194021 Russia
I. M. Balachenkov
Ioffe Institute, Russian Academy of Sciences
Email: pkorenev@ipu.ru
St. Petersburg, Russia
G. S. Kurskiev
Ioffe Institute, Russian Academy of Sciences
Author for correspondence.
Email: Vladimir.Minaev@mail.ioffe.ru
Saint Petersburg, 194021 Russia
References
- Kurskiev G.S., Bakharev N.N., Bulanin V.V., Cherny-shev F.V., Gusev V.K., Khromov N.A., Kiselev E.O., Minaev V.B., Miroshnikov I.V., Mukhin E.E., Patrov M.I., Petrov A.V., Petrov Yu.V., Sakharov N.V., Shchego-lev P.B., Sladkomedova A.D., Solokha V.V., Telnova A.Yu., Tolstyakov S.Yu., Tokarev V.A., Yashin A.Yu. // Nucl. Fusion. 2019. V. 59. N. 6. 066032. https://doi.org/10.1088/1741-4326/ab15c5
- Kurskiev G.S., Gusev V.K., Sakharov N.V., Balachen-kov I.M., Bakharev N.N., Bulanin V.V., Chernyshev F.V., Kavin A.A., Kiselev E.O., Khromov N.A., Minaev V.B., Miroshnikov I.V., Patrov M.I., Petrov A.V., Petrov Yu.V., Shchegolev P.B., Telnova A.Yu., Tokarev V.A., Tols-tyakov S.Yu., Tukhmeneva E.A., Varfolomeev V.I., Yashin A.Yu., Zhiltsov N.S. // Nucl. Fusion. 2021. V. 61. № 6. 064001. https://doi.org/10.1088/1741-4326/abe08c
- Valovič M., Akers R., Cunningham G., Garzotti L., Lloyd B., Muir D., Patel1 A., Taylor D., Turnyanskiy M., Walsh M. and the MAST team // Nucl. Fusion. 2009. V. 49. N. 7. 075016. https://doi.org/10.1088/0029-5515/49/7/075016
- Kaye S.M., Bell M.G., Bell R.E., Fredrickson E.D., LeBlanc B.P., Lee K.C., Lynch S., Sabbagh S.A. // Nucl. Fusion. 2006. V. 46. P. 848–857. https://doi.org/10.1088/0029-5515/46/10/002
- Kaye S.M., Connor J.W., Roach C.M. // Plasma Phys. Control. Fusion. 2021. V. 63. N 12. 123001. https://doi.org/10.1088/1361-6587/ac2b38
- Kaye S.M., Gerhardt S., Guttenfelder W., Maingi R., Bell R.E., Diallo A., LeBlanc B.P., Podesta M. // Nucl. Fusion. 2013. V. 53. N. 063005. https://doi.org/10.1088/0029-5515/53/6/063005
- Valovič M., Akers R., de Bock M., McCone J., Gar-zotti L., Michael C., Naylor G., Patel A., Roach C.M., Scannell R., Turnyanskiy M., Wisse M., Guttenfelder W., Candy J. and the MAST team // Nucl. Fusion. 2011. V. 51. N.7. 073045. https://doi.org/10.1088/0029-5515/51/7/073045
- Doyle E.J., Houlberg W.A., Kamada Y., Mukhovatov V., Osborne T.H., Polevoi A., Bateman G., Connor J.W., Cordey J.G., Fujita T., Garbet X., Hahm T.S., Hor-ton L.D., Hubbard A.E., Imbeaux F., Jenko F., Kin-sey J.E., Kishimoto Y., Li J., Luce T.C., Martin Y., Ossipenko M., Parail V., Peeters A., Rhodes T.L., Rice J.E., Roach C.M., Rozhansky V., Ryter F., Saibene G., Sar-tori R., Sips A.C.C., Snipes J.A., Sugihara M., Synakowski E.J., Takenaga H., Takizuka T., Thomsen K., Wade M.R., Wilson H.R., ITPA Transport Physics Topical Group, ITPA Confinement Database and Modelling Topical Group and ITPA Pedestal and Edge Topical Group // Nucl. Fusion. 2007. V. 47. S18–S127. https://doi.org/10.1088/0029-5515/47/6/S02
- van Wyk F., Highcock E.G., Field A.R., Roach C.M., Schekochihin A.A., Parra F.I., Dorland W. // Plasma Phys. Control. Fusion. 2017. V. 59. № 11. 114003. https://doi.org/10.1088/1361-6587/aa8484
- Telnova A.Yu., Kurskiev G.S., Miroshnikov I.V., Sakharov N.V., Kiselev E.O., Larionova M.M., Bakha-rev N.N., Larionova D.M., Gusev V.K., Khromov N.A., Minaev V.B., Patrov M.I., Petrov Yu.V., Sladkomedo-va A.D., Shchegolev P.B., Tokarev V.A., Tolstyakov S.Yu., Tukhmeneva E.A. // Plasma Phys. Control. Fusion. 2020. V. 62. № 4. 045011. https://doi.org/10.1088/1361-6587/ab6da5
- Tel’nova A.Yu., Miroshnikov I.V., Mitrankova M.M., Bakharev N.N., Gusev V.K., Zhil’tsov N.S., Kiselev E.O., Kurskiev G.S., Minaev V.B., Petrov Yu.V., Sakharov N.V., Shchegolev P.B., Tukhmeneva E.A. // Tech. Phys. Lett. 2021. V. 47. P. 470–473. https://doi.org/10.1134/S106378502105014X
- Galeev A.A., Sagdeev R.Z. Advances in plasma physics. New York.: John Wiley and Sons, Inc., 1976. V. 6. P. 311–420.
- Gusev V.K., Azizov E.A., Alekseev A.B., Arneman A.F., Bakharev N.N., Belyakov V.A., Bender S.E., Bondarchuk E.N., Bulanin V.V., Bykov A.S., Chernyshev F.V., Chugunov I.N., Dyachenko V.V., Filatov O.G., Iblyaminova A.D., Irzak M.A., Kavin A.A., Kurskiev G.S., Khitrov S.A., Khromov N.A., Kornev V.A., Krasnov S.V., Kuznetsov E.A., Labusov A.N., Larionov M.M., Loba-nov K.M., Malkov A.A., Melnik A.D., Minaev V.B., Mineev A.B., Mironov M.I., Miroshnikov I.V., Novokhat-sky A.N., Ovsyannikov A.D., Panasenkov A.A., Patrov M.I., Petrov M.P., Petrov Yu.V., Rozhansky V.A., Rozhdestvensky V.V., Saveliev A.N., Sakharov N.V., Shchegolev P.B., Shcherbinin O.N., Senichenkov I.Yu., Serge-ev V.Yu., Shevelev A.E., Stepanov A.Yu., Tanchuk V.N., Tolstyakov S.Yu., Varfolomeev V.I., Voronin A.V., Wag-ner F., Yagnov V.A., Yashin A.Yu., Zhilin E.G. // Nucl. Fusion. 2013. V. 53. № 9. 093013. https://doi.org/10.1088/0029-5515/53/9/093013
- Kiselev E.O., Bakharev N.N., Bulanin V.V., Gusev V.K., Khromov N.A., Kurskiev G.S., Minaev V.B., Miroshni-kov I.V., Patrov M.I., Petrov A.V., Petrov Yu.V., Sakha-rov N.V., Schegolev P.B., Telnova A.Yu., Tokarev V.A., Tolstyakov S.Yu., Tukhmeneva E.A., Yashin A.Yu. // J. Phys.: Conf. Ser. 2019. V. 1383. 012003. https://doi.org/10.1088/1742-6596/1383/1/012003
- Kurskiev G.S., Gusev V.K., Sakharov N.V., Petrov Yu.V., Bakharev N.N., Balachenkov I.M., Bazhenov A.N., Chernyshev F.V., Khromov N.A., Kiselev E.O., Kriku-nov S.V., Minaev V.B., Miroshnikov I.V., Novokhat-skii A.N., Zhiltsov N.S., Mukhin E.E., Patrov M.I., Shulyatiev K.D., Shchegolev P.B., Skrekel O.M., Telno-va A.Yu., Tkachenko E.E., Tukhmeneva E.A., Toka-rev V.A., Tolstyakov S.Yu., Varfolomeev V.I., Voronin A.V., Goryainov V.Yu., Bulanin V.V., Petrov A.V., Ponomaren-ko A.M., Yashin A.Yu., Kavin A.A., Zhilin E.G., Solo-vey V.A. // Nucl. Fusion. 2022. V. 62. № 1. 016011. https://doi.org/10.1088/1741-4326/ac38c9
- Telnova A.Yu., Minaev V.B., Shchegolev P.B., Bakha-rev N.N., Shikhovtsev I.V., Varfolomeev V.I. // J. Phys.: Conf. Ser. 2019. V. 1400. 077015. https://doi.org/10.1088/1742-6596/1400/7/077015
- Гусев В.К., Деч А.В., Есипов Л.А., Минаев В.Б., Барсуков А.Г., Игонькина Г.Б., Кузнецов В.В., Панасенков А.А., Соколов М.М., Тилинин Г.Н., Лупин А.В., Марков В.К. // ЖТФ. 2007. Т. 77. Вып. 9. С. 28–43. https://doi.org/10.1134/S1063784207090058
- Minaev V.B., Gusev V.K., Sakharov N.V., Varfolomeev V.I., Bakharev N.N., Belyakov V.A., Bondarchuk E.N., Brunkov P.N., Chernyshev F.V., Davydenko V.I., Dyachen-ko V.V., Kavin A.A., Khitrov S.A., Khromov N.A., Kise-lev E.O., Konovalov A.N., Kornev V.A., Kurskiev G.S., Labusov A.N., Melnik A.D., Mineev A.B., Mironov M.I., Miroshnikov I.V., Patrov M.I., Petrov Yu.V., Rozhan-sky V.A., Saveliev A.N., Senichenkov I.Yu., Shchego-lev P.B., Shcherbinin O.N., Shikhovtsev I.V., Sladkomedova A.D., Solokha V.V., Tanchuk V.N., Telnova A.Yu., Tokarev V.A., Tolstyakov S.Yu., Zhilin E.G. // Nucl. F-usion. 2017. V. 57. № 6. 066047. https://doi.org/10.1088/1741-4326/aa69e0
- Vasiliev V.I., Kostsov Yu.A., Lobanov K.M., Makarova L.P., Mineev A.B., Gusev V.K., Levin R.G., Petrov Yu.V., Sakharov N.V. // Nucl. Fusion. 2006. V. 46. P. S625. https://doi.org/10.1088/0029-5515/46/8/S08
- Сахаров Н.В., Воронин А.В., Гусев В.К., Кавин А.А., Каменщиков С.Н., Лобанов К.М., Минаев В.Б., Новохацкий А.Н., Патров М.И., Петров Ю.В., Щего-лев П.Б. // Физика плазмы. 2015. Т. 41. С. 1076
- Тельнова А.Ю., Минаев В.Б., Панасенков А.А., Щёголев П.Б. // Журнал технической физики. 2022. Т. 92. Вып. 4. https://doi.org/10.21883/JTF.2022.04.52240.292-21
- Galkin S.A., Ivanov A.A., Medvedev S.Yu., Poshekho-nov Yu.Yu. // Nuclear Fusion. 1997. V. 37. № 10. P. 1455. https://doi.org/10.1088/0029-5515/37/10/I11
- Tkachenko E.E., Sakharov N.V., Kurskiev G.S. // 21st ISTW 2022 Book of Abstracts. P. 5.
- Курскиев Г.С., Жильцов Н.С., Коваль А.Н., Корнев А.Ф., Макаров А.М., Мухин Е.Е., Петров Ю.В., Саха-ров Н.В., Соловей В.А., Ткаченко Е.Е., Толстяков С.Ю., Чернаков П.В. // Письма в ЖТФ. 2021. Т. 47. Вып. 24. https://doi.org/10.21883/PJTF.2021.24.51799.19019
- Zhiltsov N.S. // 2022 submitted to Nuclear Fusion
- Avdeeva G.F., Miroshnikov I.V., Bakharev N.N., Kurskiev G.S., Patrov M.I., Sergeev V.Yu., Schegolev P.B. // J. Phys.: Conf. Ser. 2016. V. 666. 012002. https://doi.org/10.1088/1742-6596/666/1/012002
- Larionova M.M., Miroshnikov I.V., Gusev V.K., Mina-ev V.B., Patrov M.I., Petrov Yu.V., Sakharov N.V., Schegolev P.B., Telnova A.Yu., Bakharev N.N. // J. Phys.: Conf. Ser. 2019. V. 1400. № 7. 077018. https://doi.org/10.1088/1742-6596/1400/7/077018
- Bakharev N.N., Chernyshev F.V., Gusev V.K., Kiselev E.O., Kurskiev G.S., Larionova M.M., Melnik A.D., Minaev V.B., Mironov M.I., Miroshnikov I.V., Petrov Yu.V., Sakha-rov N.V., Shchegolev P.B., Skrekel O.M., Telnova A.Yu., Tukhmeneva E.A., Varfolomeev V.I. // Plasma Phys. Control. Fusion. 2020. V. 62. № 12. 125010. https://doi.org/10.1088/1361-6587/abbe32
- Скрекель О.М., Бахарев Н.Н., Варфоломеев В.И., Гусев В.К., Ильясова М.В., Тельнова А.Ю., Хильке-вич Е.М., Шевелев А.Е. // ЖТФ. 2021. Т. 92. Вып. 1. С. 32–35. https://doi.org/10.21883/JTF.2022.01.51848.151-21
- Petrov Yu.V., Gusev V.K., Sakharov N.V., Minaev V.B., Varfolomeev V.I., Dyachenko V.V., Balachenkov I.M., Bakharev N.N., Bondarchuk E.N., Bulanin V.V., Chernyshev F.V., Iliasova M.V., Kavin A.A., Khilkevitch E.M., Khromov N.A., Kiselev E.O., Konovalov A.N., Kornev V.A., Krikunov S.V., Kurskiev G.S., Melnik A.D., Miroshni-kov I.V., Novokhatskii A.N., Zhiltsov N.S., Patrov M.I., Petrov A.V., Ponomarenko A.M., Shulyatiev K.D., Shchegolev P.B., Shevelev A.E., Skrekel O.M., Telno-va A.Yu., Tukhmeneva E.A., Tokarev V.A., Tolstya-kov S.Yu., Voronin A.V., Yashin A.Yu., Bagryansky P.A., Zhilin E.G., Goryainov V.A. // Nucl. Fusion. 2022. V. 62. № 4. 042009. https://doi.org/10.1088/1741-4326/ac27c7
- Pankin A., McCune D., Andre R., Bateman G., Kritz A. // Comput. Phys. Commun. 2004. T. 159. № 3. P. 157.https://doi.org/10.1016/j.cpc.2003.11.002
- Bakharev N.N., Chernyshev F.V., Goncharov P.R., Gu-sev V.K., Iblyaminova A.D., Kornev V.A., Kurskiev G.S., Melnik A.D., Minaev V.B., Mironov M.I., Patrov M.I., Petrov Yu.V., Sakharov N.V., Shchegolev P.B., Tolstya-kov S.Yu., Zadvitskiy G.V. // Nucl. Fusion. 2015. V. 55. № 4. 043023. https://doi.org/10.1088/0029-5515/55/4/043023
- Heidbrink W.W., Liu D., Luo Y., Ruskov E., Geiger B. // Comun. Comput. Phys. 2011. T. 10. C. 716. https://doi.org/10.4208/cicp.190810.080211a
- Pereverzev G., Yushmanov P.N. // Max-Plank Institute for Plasma Physics 2002 Max-Plank IPP Report 5/98 http://w3.pppl.gov/~hammett/work/2009/Astra_ocr.pdf
- Tukhmeneva E.A., Tolstyakov S.Yu., Kurskiev G.S., Gu-sev V.K., Minaev V.B., Petrov Yu.V., Sakharov N.V., Telnova A.Yu., Bakharev N.N., Shegolev P.B., Kiselev E.O. // Plasma Sci. Technol. 2019. V. 21(10). 105104. https://doi.org/10.1088/2058-6272/ab305f
- Houlberg W.A., Shaing K.C., Hirshman S.P., Zarn-storff M.C. // Phys. Plasmas. 1997. V. 4. 3230. https://doi.org/10.1063/1.872465
- Тюхменева Е.А., Бахарев Н.Н., Варфоломеев В.И., Гусев В.К., Жильцов Н.С., Киселев Е.О., Курскиев Г.С., Минаев В.Б., Петров Ю.В., Сахаров Н.В., Сладкомедова А.Д., Тельнова А.Ю., Толстяков С.Ю., Щеголев П.Б. // Письма в ЖТФ. 2021. Т. 47. Вып. 2. https://doi.org/10.21883/PJTF.2021.02.50537.18471
Supplementary files



















