Recent Progress in Some Issues of Divertor Physics under Detachment Conditions
- Authors: Stepanenko A.A.1, Marenkov E.D.1, Pshenov A.A.1,2, Kukushkin A.S.1,2
-
Affiliations:
- National Research Nuclear University MEPhI (Moscow Engineering Physics Institute)
- National Research Centre “Kurchatov Institute”
- Issue: Vol 49, No 6 (2023)
- Pages: 513-536
- Section: TOKAMAKS
- URL: https://bakhtiniada.ru/0367-2921/article/view/139553
- DOI: https://doi.org/10.31857/S0367292122601539
- EDN: https://elibrary.ru/WXXOEG
- ID: 139553
Cite item
Full Text
Abstract
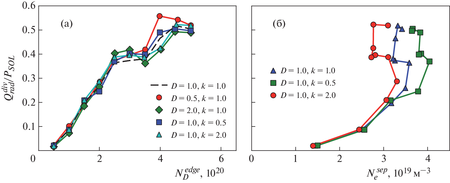
The divertor operation in the detached plasma regime is necessary to reduce the loads on the divertor plates in the ITER and DEMO tokamaks to acceptable values. The results of the analysis for a number of effects that directly affect the operating window of the detachment and its stability are discussed: transverse heat transport in the divertor, radiation trapping, development of plasma instabilities, stability features of the double-null divertor, obtained using numerical simulations, including modeling in the transport code SOLPS4.3 and turbulent code BOUT++. The operation of a divertor with liquid metal plates is considered using lithium as an example. The verification issues for the computational model used for detachment modeling are discussed.
Keywords
About the authors
A. A. Stepanenko
National Research Nuclear University MEPhI (Moscow Engineering Physics Institute)
Email: aastepanenko@mephi.ru
115409, Moscow, Russia
E. D. Marenkov
National Research Nuclear University MEPhI (Moscow Engineering Physics Institute)
Email: aastepanenko@mephi.ru
115409, Moscow, Russia
A. A. Pshenov
National Research Nuclear University MEPhI (Moscow Engineering Physics Institute); National Research Centre “Kurchatov Institute”
Email: aastepanenko@mephi.ru
115409, Moscow, Russia; 123182, Moscow, Russia
A. S. Kukushkin
National Research Nuclear University MEPhI (Moscow Engineering Physics Institute); National Research Centre “Kurchatov Institute”
Author for correspondence.
Email: aastepanenko@mephi.ru
115409, Moscow, Russia; 123182, Moscow, Russia
References
- Matthews G.F. // J. Nucl. Mater. 1995. V. 220. P. 104. https://doi.org/10.1016/0022-3115(94)00450-1
- Krasheninnikov S.I., Kukushkin A.S. // J. Plasma Phys. 2017. V. 83. P. 155830501. https://doi.org/10.1017/S0022377817000654
- Krasheninnikov S.I., Kukushkin A.S., Pshenov A.A. // Phys. Plasmas. 2016. V. 23. P. 055602. https://doi.org/10.1063/1.4948273
- Loarte A., Lipschultz B., Kukushkin A.S., Matthews G.F., Stangeby P.C., Asakura N., Counsell G.F., Federici G., Kallenbach A., Krieger K., Mahdavi A., Philipps V., Reiter D., Roth J., Strachan J., Whyte D., Doerner R., Eich T., Fundamenski W., Herrmann A., Fenstermacher M., Ghendrih P., Groth M., Kirschner A., Konoshima S., LaBombard B., Lang P., Leonard A.W., Monier-Garbet P., Neu R., Pacher H., Pegourie B., Pitts R.A., Takamura S., Terry J., Tsitrone E., ITPA Scrape-off Layer and Divertor Group // Nucl. Fusion. 2007. V. 47. P. S203. https://doi.org/10.1088/0029-5515/47/6/S04
- Theiler C., Lipschultz B., Harrison J., Labit B., Reimerdes H., Tsui C., Vijvers W.A.J., Boedo J.A., Duval B.P., Elmore S., Innocente P., Kruezi U., Lunt T., Maurizio R., Nespoli F., Sheikh U., Thornton A.J., van Limpt S.H.M., Verhaegh K., Vianello N., the TCV team, the EUROfusion MST1 team // Nucl. Fusion. 2017. V. 57 P. 072008. https://doi.org/10.1088/1741-4326/aa5fb7
- Kallenbach A., Bernert M., Beurskens M., Casali L., Dunne M., Eich T., Giannone L., Herrmann A., Maraschek M., Potzel S., Reimold F., Rohde V., Schweinzer J., Viezzer E., Wischmeier M., the ASDEX Upgrade Team // Nucl. Fusion. 2015. V. 55. P. 053026. https://doi.org/10.1088/0029-5515/55/5/053026
- McLean A.G., Leonard A.W., Makowski M.A., Groth M., Allen S.L., Boedo J.A., Bray B.D., Briesemeister A.R., Carlstrom T.N., Eldon D., Fenstermacher M.E., Hill D.N., Lasnier C.J., Liu C., Osborne T.H., Petrie T.W., Soukhanovskii V.A., Stangeby P.C., Tsui C., Unterberg E.A., Watkins J.G. // J. Nucl. Mater. 2015. V. 463 P. 533. https://doi.org/10.1016/j.jnucmat.2015.01.066
- Jaervinen A.E., Brezinsek S., Giroud C., Groth M., Guillemaut C., Belo P., Brix M., Corrigan G., Drewelow P., Harting D., Huber A., Lawson K.D., Lipschultz B., Maggi C.F., Matthews G.F., Meigs A.G., Moulton D., Stamp M.F., Wiesen S., JET Contributors // Plasma Phys. Control. Fusion. 2016. V. 58. P. 045011. https://doi.org/10.1088/0741-3335/58/4/045011
- Terry J.L., Lipschultz B., Pigarov A.Y., Krasheninnikov S.I., LaBombard B., Lumma D., Ohkawa H., Pappas D., Umansky M. // Phys. Plasmas. 1998. V. 5. P. 1759. https://doi.org/10.1063/1.872845
- Kotov V., Reiter D., Kukushkin A.S., Pacher H.D., Börner P., Wiesen S. // Contrib. to Plasma Phys. 2006. V. 46. P. 635. https://doi.org/10.1002/ctpp.200610056
- Kotov V., Reiter D., Pitts R.A., Jachmich S., Huber A., Coster D.P. // Plasma Phys. Control. Fusion. 2008. V. 50. P. 105012. https://doi.org/10.1088/0741-3335/50/10/105012
- Pshenov A.A., Kukushkin A.S., Marenkov E.D., Krasheninnikov S.I. // Nucl. Fusion. 2019. V. 59. P. 106025. https://doi.org/10.1088/1741-4326/ab3144
- Cook R.L., Torrance K.E. // ACM Siggraph Comp. Graph. 1981. V. 15. P. 307. https://doi.org/10.1145/965161.806819
- Carr M., Meakins A., Silburn S.A., Karhunen J., Ber-nert M., Bowman C., Callarelli A., Carvalho P., Giroud C., Harrison J.R., Henderson S.S., Huber A., Lipschultz B., Lunt T., Moulton D., Reimold F., ASDEX Upgrade Team, JET Contributors, MAST-Upgrade Team, EUROfusion MST1 Team // Rev. Sci. Instr. 2019. V. 90. P. 043504. https://doi.org/10.1063/1.5092781
- Pshenov A.A., Kukushkin A.S., Marenkov E.D., Gorbu-nov A.E. // Nucl. Mater. Energy. 2023. V. 34. P. 101342. https://doi.org/10.1016/j.nme.2022.101342
- Wiesen S., Reiter D., Kotov V., Baelmans M., Dekeyser W., Kukushkin A.S., Lisgo S.W., Pitts R.A., Rozhansky V., Saibene G., Veselova I., Voskoboynikov S. // J. Nucl. Mater. 2015. V. 463. P. 480. https://doi.org/10.1016/j.jnucmat.2014.10.012
- Verhaegh K., Lipschultz B., Duval B.P., Fil A., Wensing M., Bowman C., Gahle D.S. // Plasma Phys. Control. Fusion. 2019. V. 61. P. 125018. https://doi.org/10.1088/1361-6587/ab4f1e
- Terry J.L., Lipschultz B., Bonnin X., Boswell C., Krasheninnikov S.I., Pigarov A.Y., LaBombard B., Pappas D.A., Scott H.A. // J. Nucl. Mater. 1999. V. 266–269. P. 30. https://doi.org/10.1016/S0022-3115(98)00812-5
- Maggi C.F., Horton L.D., Corrigan G., Jäckel H.J., Loarte A., Monk R.D., Simonini R., Stamp M., Taroni A. // J. Nucl. Mater. 1999. V. 266–269. P. 867. https://doi.org/10.1016/S0022-3115(98)00845-9
- Lomanowski B., Groth M., Coffey I., Karhunen J., Mag-gi C.F., Meigs A.G., Menmuir S., O’Mullane M., JET contributors // Plasma Phys. Control. Fusion. 2020. V. 62. P. 065006. https://doi.org/10.1088/1361-6587/ab7432
- Goldston R.J., Reinke M.L., Schwartz J.A. // Plasma Phys. Control. Fusion. 2017. V. 59. P. 055015. https://doi.org/10.1088/1361-6587/aa5e6e
- Wischmeier M., ASDEX Upgrade team, JET EFDA contributors // J. Nucl. Mater. 2015. V. 463. P. 22. https://doi.org/10.1016/j.jnucmat.2014.12.078
- Krasheninnikov S.I., Batishcheva A.A., Simakov A.N. // Phys. Plasmas. 1998. V. 5. 6. P. 2297. https://doi.org/10.1063/1.872903
- Stepanenko A.A., Krasheninnikov S.I. // Phys. Plasmas. 2018. V. 25. 1. P. 012305. https://doi.org/10.1063/1.5010932
- Pshenov A.A., Kukushkin A.S., Krasheninnikov S.I. // Plasma Phys. Reports. 2020. V. 46. P. 587.https://doi.org/10.1134/S1063780X20060070
- Reimold F., Wischmeier M., Potzel S., Guimarais L., Reiter D., Bernert M., Dunne M., Lunt T. and the ASDEX Upgrade Team // Nucl. Mater. Energy. 2017. Vol. 12. P. 193. https://doi.org/10.1016/j.nme.2017.01.010
- Wensing M., Reimerdes H., Fevrier O., Colandrea C., Martinelli L., Verhaegh K., Bagnato F., Blanchard P., Vincent B., Perek A., Gorno S., de Oliveira H., Thei-ler C., Duval B.P., Tsui C.K., Baquero-Ruiz M., Wischmeier M., TCV Team and MST1 Team // Phys. Plasmas. 2021. V. 28. P. 082508. https://doi.org/10.1063/5.0056216
- Senichenkov I.Y., Kaveeva E.G., Sytova E.A., Rozhan-sky V.A., Voskoboynikov S.P., Veselova I.Yu., Shtyrkhu-nov N.V., Coster D.P., Bonnin X., Reimold F. and the A-SDEX Upgrade Team // Plasma Phys. Control. Fusion. 2019. Vol. 61. P. 045013. https://doi.org/10.1088/1361-6587/ab04d0
- Pericoli Ridolfini V., Ambrosino R., Chmielewski P., Crisanti F., Poradziński M., Zagórski R. // Nucl. Fusion. 2019. V. 59. P. 126008. https://doi.org/10.1088/1741-4326/ab3969
- Pericoli Ridolfini V., Ambrosino R., Mastrostefano S., Chmielewski P., Poradziński M., Zagórski R. // Phys. Plasmas. 2019. V. 26. P. 012507. https://doi.org/10.1063/1.5055017
- Doerner R.P., Baldwin M.J., Conn R.W., Grossman A.A., Luckhardt S.C., Seraydarian R., Tynan G.R., Whyte D.G. // J. Nucl. Mater. 2001. V. 290–293. P. 166. https://doi.org/10.1016/S0022-3115(00)00568-7
- Allain J.P., Nieto M., Coventry M.D., Stubbers R., Ru-zic D.N. // Fusion Eng. Des. 2004. V. 72. P. 93. https://doi.org/10.1016/j.fusengdes.2004.07.006
- Morgan T.W., Rindt P., Van Eden G.G., Kvon V., Jawork-si M.A., Cardozo N.J.L. // Plasma Phys. Control. Fusion. 2018. V. 60. P. 016022. https://doi.org/10.1088/1361-6587/aa86cd
- Van Eden G.G., Morgan T.W., Aussems D.U.B., Van Den Berg M.A., Bystrov K., Van De Sanden M.C.M. // Phys. Rev. Lett. 2016. V. 116. P. 135002. https://doi.org/10.1103/PhysRevLett.116.135002
- Van Eden G.G., Kvon V., Van De Sanden M.C.M., Morgan T.W. // Nat. Commun. 2017. V. 8. P. 192. https://doi.org/10.1038/s41467-017-00288-y
- Skovorodin D.I., Pshenov A.A., Arakcheev A.S., Eksae-va E.A., Marenkov E.D., Krasheninnikov S.I. // Phys. Plasmas. 2016. V. 23. P. 022501. https://doi.org/10.1063/1.4939537
- Marenkov E., Pshenov A. // Nucl. Fusion. 2020. V. 60. P. 026011. https://doi.org/10.1088/1741-4326/ab5eb5
- Lunsford R., Bortolon A., Roquemore A.L., Mansfield D.K., Nagy A., Maingi R., Parks P.B., Jackson G., Gilson E., Chrobak C.P. // Fusion Eng. Des. 2016. V. 112. P. 621. https://doi.org/10.1016/j.fusengdes.2016.04.041
- Osborne T.H., Jackson G.L., Yan Z., Maingi R., Mansfield D.K., Grierson B.A., Chrobak C.P., McLean A.G., Allen S.L., Battaglia D.J., Briesemeister A.R., Fenstermacher M.E., McKee G.R., Snyder P.B. and the DIII-D Team // Nucl. Fusion 2015. V. 55. P. 063018. https://doi.org/10.1088/0029-5515/55/6/063018
- Bortolon A., Maingi R., Mansfield D.K., Nagy A., Roquemore A.L., Baylor L.R., Commaux N., Jackson G.L., Gilson E.P., Lunsford R., Parks P.B., Chrystal C., Grier-son B.A., Groebner R., Haskey S.R., Makowski M.J., Lasnier C.J., Nazikian R., Osborne T., Shiraki D., Van Zeeland M.A. // Nucl. Fusion. 2016. V. 56. P. 056008. https://doi.org/10.1088/0029-5515/56/5/056008
- Sun Z., Lunsford R., Maingi R., Hu J.S., Mansfield D.K., Diallo A., Tritz K., Canik J., Wang Z., Andruczyk D., Wang Y.M., Zuo G.Z., Huang M., Xu W., Meng X.C. // IEEE Trans. Plasma Science. 2018. V. 46. P. 1076. https://doi.org/10.1109/TPS.2017.2773095
- Mansfield D.K., Roquemore A.L., Carroll T., Sun Z., Hu J.S., Zhang L., Liang Y.F., Gong X.Z., Li J.G., Guo G.Z., Zuo H.Y., Parks P., Wu W., Maingi R. // N-ucl. Fusion. 2013. V. 53. P. 113023. https://doi.org/10.1088/0029-5515/53/11/113023
- Mansfield D.K., Kugel H.W., Maingi R., Bell M.G., Bell R., Kaita R., Kallman J., Kaye S., LeBlanc B., Mueller D., Paul S., Raman R., Roquemore L., Sabbagh S., Schneider H., Skinner C.H., Soukhanovskii V., Timberlake J., Wilgen J., Zakharov L. // J. Nucl. Mater. 2009. V. 390–391. P. 764. https://doi.org/10.1016/j.jnucmat.2009.01.203
- Maingi R., Boyle D.P., Canik J.M., Kaye S.M., Skin-ner C.H., Allain J.P., Bell M.G., Bell R.E., Gerhardt S.P., Gray T.K., Jaworski M.A., Kaita R., Kugel H.W., LeBlanc B.P., Manickam J., Mansfield D.K., Menard J.E., Osborne T.H., Raman R., Roquemore A.L., Sabbagh S.A., Snyder P.B., Soukhanovskii V.A. // Nucl. Fusion. 2012. V. 52. P. 083001. https://doi.org/10.1088/0029-5515/52/8/083001
- Maingi R., Hu J.S., Sun Z., Diallo A., Tritz K., Qian Y.Z., Xu W., Zuo G.Z., Li C.L., Huang M., Ye Y., Bortolon A., Gilson E.P., Lunsford R., Mansfield D.K., Nagy A., Qian J.P., Gong X.Z. // J. Fusion Energy. 2020. V. 39. P. 429–435. https://doi.org/10.1007/s10894-020-00256-3
- Abrams T., Jaworski M.A., Chen M., Carter E.A., Kaita R., Stotler D.P., De Temmerman G., Morgan T.W., Van Den Berg M.A., Van Der Meiden H.J. // Nucl. Fusion. 2016. V. 56. P. 016022. https://doi.org/10.1088/0029-5515/56/1/016022
- Doerner R.P., Krasheninnikov S.I., Schmid K. // J. Appl. Phys. 2004. V. 95. P. 4471. https://doi.org/10.1063/1.1687038
- Doerner R.P., Baldwin M.J., Krasheninnikov S.I., Schmid K. // J. Nucl. Mater. 2005. V. 337. P. 877. https://doi.org/10.1016/j.jnucmat.2004.09.025
- Allain J.P., Coventry M.D., Ruzic D.N. // Phys. Rev. B. 2007. V. 76. P. 205434. https://doi.org/10.1103/PhysRevB.76.205434
- Fussmann G., Engelhardt W., Naujoks D. // Plasma physics and controlled nuclear fusion research 1994. V. 2. Proceedings of the fifteenth international conference. 1995. P. 143.
- Rindt P., Morgan T.W., Jaworski M.A., Lopes Cardozo N.J. // Nucl. Fusion. 2018. V. 58. P. 104002. https://doi.org/10.1088/1741-4326/aad290
- Marenkov E., Pshenov A. // Nucl. Fusion. 2020. V. 60. P. 026011. https://doi.org/10.1088/1741-4326/ab5eb5
- Rindt P., Morgan T.W., van Eden G.G., Jaworski M.A., Lopes Cardozo N.J. // Nucl. Fusion. 2019. V. 59. P. 056003. https://doi.org/10.1088/1741-4326/ab0560
- Marenkov E.D., Pshenov A.A., Kukushkin A.S. // Phys. Plasmas. 2020. V. 27. P. 062514. https://doi.org/10.1063/5.0006509
- Goldston R.J., Hakim A., Hammett G.W., Jaworski M.A., Schwartz J. // Nucl. Mater. Energy. 2017. Vol. 12. P. 1118. https://doi.org/10.1016/j.nme.2017.03.020
- Rindt P., van den Eijnden J.L., Morgan T.W., Lopes Cardozo N.J. // Fusion Eng. Des. 2021. V. 173. P. 112812. https://doi.org/10.1016/j.fusengdes.2021.112812
- Pshenov A.A., Kukushkin A.S. // Plasma Phys. Reports. 2018. V. 44. P. 641. https://doi.org/10.1134/S1063780X18070048
- Marenkov E.D., Pshenov A.A., Kukushkin A.S. // Plasma Phys. Control. Fusion. 2022. V. 64. P. 115006. https://doi.org/10.1088/1361-6587/ac91a3
- Pericoli Ridolfini V., Chmielewski P., Ivanova-Stanik I., Poradziński M., Zagórski R., Ambrosino R., Crisanti F. // Phys. Plasmas. 2020. V. 27. P. 112506. https://doi.org/10.1063/5.0012743
- Nallo G.F., Moscheni M., Subba F., Zanino R. // Nucl. Fusion. 2022. V. 62. P. 036008. https://doi.org/10.1088/1741-4326/ac4867
- Marenkov E.D., Kukushkin A.S., Pshenov A.A. // Nucl. Fusion. 2021. V. 61. P. 034001. https://doi.org/10.1088/1741-4326/abd642
- Rognlien T.D., Rensink M.E., Emdee E., Goldston R.J., Schwartz J., Stotler D.P. // Nucl. Mater. Energy. 2019. V. 18. P 233–238. https://doi.org/10.1016/j.nme.2018.12.030
- Emmert G.A., Donhowe J.M., Mense A.T. // J. Nucl. Mater. 1974. V. 53. P. 39. https://doi.org/10.1016/0022-3115(74)90217-7
- Eich T., Kallenbach A., Fundamenski W., Herrmann A., Naulin V. // J. Nucl. Mater. 2009. V. 390–391. P. 760. https://doi.org/10.1016/j.jnucmat.2009.01.202
- Rozhansky V., Molchanov P., Veselova I., Voskoboyni-kov S., Kirk A., Coster D. // Nucl. Fusion. 2012. V. 52. P. 103017. https://doi.org/10.1088/0029-5515/52/10/103017
- Kuteev B.V., Shpanskiy Y.S. // Nucl. Fusion. 2017. V. 57. P. 076039. https://doi.org/10.1088/1741-4326/aa6dcb
- Kukushkin A.S., Krasheninnikov S.I. // Plasma Phys. Control. Fusion. 2019. V. 61. P. 074001. https://doi.org/10.1088/1361-6587/ab1bba
- Kukushkin A.S. // Plasma Phys. Reports. 2019. V. 45. P. 637. https://doi.org/10.1134/S1063780X19070067
- Neuhauser J., Schneider W., Wunderlich R. // Nucl. Fusion. 1986. V. 26. P. 1679. https://doi.org/10.1088/0029-5515/26/12/009
- Smirnov R.D., Kukushkin A.S., Krasheninnikov S.I., Pigarov A.Yu., and Rognlien T.D. // Phys. Plasmas. 2016. V. 23. P. 012503. https://doi.org/10.1063/1.4939539
- Loarte A., Monk R.D., Kukushkin A.S., Righi E., Campbell D.J., Conway G.D., and Maggi C.F. // Phys. Rev. Letters. 1999. V. 83. P. 3657. https://doi.org/10.1103/PhysRevLett.83.3657
- Heinrich P., Manz P., Bernert M., Birkenmeier G., Bri-da D., Cavedon M., David P., Griener M., Haas G., Happel T., Plank U., Reimold F., Stroth U., Wischmeier M., Zhang W. and ASDEX Upgrade team. // Nucl. Fusion. 2020. V. 60. P. 076013. https://doi.org/10.1088/1741-4326/ab8a05
- Schneider R., Bonnin X., Borrass K., Coster D.P., Kas-telewicz H., Reiter D., Rozhansky V.A., Braams B.J. // Contrib. Plasma Physics. 2006. V. 46. P. 3. https://doi.org/10.1002/ctpp.200610001
- Lipschultz B. // J. Nucl. Mater. 1987. V. 145–147. P. 15. https://doi.org/10.1016/0022-3115(87)90306-0
- Drake J.F. // Phys. Fluids. 1987. V. 30. P. 2429. https://doi.org/10.1063/1.866133
- Chen X.P., Shi B.R., Gao Q.D. // Phys. Plasmas. 1996. V. 3. P. 4507. https://doi.org/10.1063/1.871588
- McCarthy D., Drake J.F. // Phys. Fluids B: Plasma Phys. 1991. V. 3. P. 22. https://doi.org/10.1063/1.859941
- Morozov D.Kh., Herrera J.J.E. // Phys. Rev. Lett. 1996. V. 76. P. 760. https://doi.org/10.1103/PhysRevLett.76.760
- Pshenov A.A., Morozov D.Kh. // Contrib. Plasma Physics. 2010. V. 50. P. 380. https://doi.org/10.1002/ctpp.201010062
- Kukushkin A. // Third IAEA Technical Meeting on Divertor Concepts. Report of Abstracts. 2019. V. 52. P. 44.
- Sun Z., Diallo A., Maingi R., Qian Y.Z., Tritz K., Wang Y.F., Wang Y.M., Bortolon A., Nagy A., Zhang L., Duan Y.M., Ye Y., Zhao H.L., Wang H.Q., Gu X., Zuo G.Z., Xu W., Huang M., Li C.L., Meng X.C., Zhou C., Liu H.Q., Zang Q., Wang L., Qian J.P., Xu G.S., Gong X.Z., Hu J.S., EAST team // Nucl. Fusion. 2021. V. 61. P. 014002. https://doi.org/10.1088/1741-4326/abc763
- Ye Y., Xu G.S., Tao Y.Q., Chen R., Wang L., Guo H.Y., Wang H.Q., Li K.D., Meng L.Y., Yang Q.Q., Wang Y.F., Lin X., Sun Z., Wu K., Yuan Q.P., Xu J.C., Duan Y.M., Zhang L., Liu H.Q., Wan B.N. // Nucl. Fusion. 2021. V. 61. P. 116032.https://doi.org/10.1088/1741-4326/ac26eb
- Potzel S., Wischmeier M., Bernert M., Dux R., Müller H.W., Scarabosio A. // Nucl. Fusion. 2014. V. 54. P. 013001. https://doi.org/10.1088/0029-5515/54/1/013001
- Wang H.Q., Watkins J.G., Guo H.Y., Leonard A.W., Thomas D.M., Stepanenko A.A., Krasheninnikov S.I. // Phys. Plasmas. 2020. V. 27. P. 022504. https://doi.org/10.1063/1.5140354
- Krasheninnikov S.I., Smolyakov A.I. // Phys. Plasmas. 2016. V. 23. P. 092505. https://doi.org/10.1063/1.4962568
- Stepanenko A.A., Wang H.Q. // Plasma Phys. Reports. 2019. V. 45. P. 627. https://doi.org/10.1134/S1063780X19070110
- Stepanenko A.A., Wang H.Q., Krasheninnikov S.I. // Phys. Plasmas. 2019. V. 26. P. 122303. https://doi.org/10.1063/1.5123388
- Stepanenko A.A., Wang H.Q., Krasheninnikov S.I. // The 46th European Physical Society Conference on Plasma Physics. 2019. http://ocs.ciemat.es/EPS2019ABS/pdf/O2.106.pdf
- Stepanenko A.A. Effects of magnetic geometry on dynamics of current-convective turbulence in tokamak divertor plasma // Phys. Plasmas. 2022. V. 29. P. 122309. https://doi.org/10.1063/5.0119629
- Petrov V.G. // Proc. of the International Symposium on Plasma Wall Interaction. 1977. P. 229.
- Nedospasov A.V. // Contrib. Plasma Physics. 1996. V. 36. P. 197.
- Rozhansky V., Kaveeva E., Senichenkov I., Sytova E., Veselova I., Voskoboynikov S., Coster D. // Contrib. Plasma Physics. 2018. V. 58. P. 540. https://doi.org/10.1002/ctpp.201700119
- Manz P., Potzel S., Reimold F., Wischmeier M., Team Asdex Upgrade // Nucl. Mat. Energy. 2017. V. 12. P. 1152. https://doi.org/10.1016/j.nme.2016.10.002
- Krasheninnikov S.I. // Phys. Plasmas. 1997. V. 4. P. 3741. https://doi.org/10.1063/1.872539
- Krasheninnikov S.I., Rensink M., Rognlien T.D., Ku-kushkin A.S., Goetz J.A., LaBombard B., Lipschultz B., Terry J.L., Umansky M. // J. Nucl. Mater. 1999. V. 266–269. P. 251. https://doi.org/10.1016/S0022-3115(98)00577-7
- Smirnov R.D., Kukushkin A.S., Krasheninnikov S.I., Pigarov A.Yu., Rognlien T.D. // Phys. Plasmas. 2016. V. 23. P. 012503. https://doi.org/10.1063/1.4939539
- Krasheninnikov S.I., Soboleva T.K. // Phys. Plasmas. 2006. V. 13. 9. P. 094502. https://doi.org/10.1063/1.2344931
- Marenkov E.D., Krasheninnikov S.I., Pisarev A.A., Tsvetkov I.V. // Plasma Phys. Reports. 2012. V. 38. P. 352. https://doi.org/10.1134/S1063780X1203004X
- Tokar M.Z., Kelly F.A. // Phys. Plasmas. 2003. V. 10. P. 4378. https://doi.org/10.1063/1.1613963
- Pigarov A.Y., Krasheninnikov S.I. // J. Nucl. Mater. 2009. V. 390–391. P. 192. https://doi.org/10.1016/j.jnucmat.2009.01.165
- Halpern F.D., Ricci P., Jolliet S., Loizu J., Morales J., Mosetto A., Musil F., Riva F., Tran T.M., Wersal C. // J. Comput. Phys. 2016. V. 315. P. 388. https://doi.org/10.1016/j.jcp.2016.03.040
- Stegmeir A., Coster D., Ross A., Maj O., Lackner K., Poli E. // Plasma Phys. Control. Fusion. 2018. V. 60. P. 035005. https://doi.org/10.1088/1361-6587/aaa373
- Tamain P., Bufferand H., Ciraolo G., Colin C., Galas-si D., Ghendrih Ph., Schwander F., Serre E. // J. Comput. Phys. 2016. V. 321. P. 606. https://doi.org/10.1016/j.jcp.2016.05.038
- Dudson B.D., Umansky M.V., Xu X.Q., Snyder P.B., Wilson H.R. // Comput. Phys. Commun. 2009. V. 180. P. 1467. https://doi.org/10.1016/j.cpc.2009.03.008
- Umansky M.V., Rognlien T.D., Xu X.Q., Cohen R.H., Nevins W.M. // Contrib. Plasma Physics. 2004. V. 44. P. 182. https://doi.org/10.1002/ctpp.200410025
- Umansky M.V., Rognlien T.D., Xu X.Q. // J. Nucl. Mater. 2005. V. 337–339. P. 266. https://doi.org/10.1016/j.jnucmat.2004.10.021
- Riva F., Militello F., Elmore S., Omotani J.T., Dudson B., Walkden N.R. // Plasma Phys. Control. Fusion. 2019. V. 61. P. 095013. https://doi.org/10.1088/1361-6587/ab3561
- Walkden N.R., Riva F., Dudson B.D., Ham C., Militel-lo F., Moulton D., Nicholas T., Omotani J.T. // Nucl. Mater. Energy. 2019. V. 18. P. 111. https://doi.org/10.1016/j.nme.2018.12.005
- Walkden N., Riva F., Harrison J., Militello F., Farley T., Omotani J., Lipschultz B. // Commun. Phys. 2022. V. 5. P. 139. https://doi.org/10.1038/s42005-022-00906-2
- Chen B., Xu X.Q., Xia T.Y., Li N.M., Porkolab M., Edlund E., LaBombard B., Terry J., Hughes J.W., Ye M.Y., Wan Y.X. // Phys. Plasmas. 2018. V. 25. P. 055905. https://doi.org/10.1063/1.5016582
- Deng G.Z., Xu X.Q., Li N.M., Liu X.J., Liu X., Xu J.C., Feng W., Liu J.B., Gao S.L., Liu S.C., Xia T.Y., Wang L. // Nucl. Fusion. 2020. V. 60. P. 082007. https://doi.org/10.1088/1741-4326/ab70d6
- Wang X., Xu X., Snyder P.B., Li Z. // Nucl. Fusion. 2022. V. 62. P. 026024. https://doi.org/10.1088/1741-4326/ac3b8a
- Xu X.Q., Li N.M., Li Z.Y., Chen B., Xia T.Y., Tang T.F., Zhu B., Chan V.S. // Nucl. Fusion. 2019. V. 59. P. 126039. https://doi.org/10.1088/1741-4326/ab430d
- Goldston R.J. // Nucl. Fusion. 2011. V. 52. P. 013009. https://doi.org/10.1088/0029-5515/52/1/013009
- Eich T., Leonard W., Pitts R.A., Fundamenski W., Goldston R.J., Gray T.K., Herrmann A., Kirk A., Kallen-bach A., Kardaun O., Kukushkin A.S., LaBombard B., Maingi R., Makowski M.A., Scarabosio A., Sieglin B., Terry J., Thornton A. and ASDEX Upgrade Team and JET EFDA Contributors // Nucl. Fusion. 2013. V. 53. P. 093031. https://doi.org/10.1088/0029-5515/53/9/093031
- Chang C.S., Ku S., Loarte A., Parail V., Köchl F., Romanelli M., Maingi R., Ahn J.-W., Gray T., Hughes J. // Nucl. Fusion. 2017. V. 57. P. 116023. https://doi.org/10.1088/1741-4326/aa7efb
- Chang C.S., Churchill M., Hager R., Ku S., Maingi R., Menard J., Loarte A., Pitts R., Parail V., Romanelli M., Köchl F. // 27th IAEA Fusion Energy Conference, CN. 2018. V. 258. P7. URL https://nucleus.iaea.org/sites/fusionportal/Shared%20Documents/FEC%202018/fec2018-preprints/preprint0304.pdf
- Chang C.S., Ku S., Hager R., Churchill R.M., Hug-hes J., Koechl F., Loarte A., Parail V. and Pitts R.A. // Phys. Plasmas. 2021. V. 28. P. 022501. https://doi.org/10.1063/5.0027637
- Rozhansky V., Kaveeva E., Molchanov P., Veselova I., Voskoboynikov S., Coster D., Counsell G., Kirk A., Lis-go S., the ASDEX-Upgrade Team, the MAST Team // Nucl. Fusion. 2009. V. 49. P. 025007. https://doi.org/10.1088/0029-5515/49/2/025007
- Kukushkin A.S., Pacher H.D., Kotov V., Pacher G.W., Reiter D. // Fusion Eng. Des. 2011. V. 86. P. 2865. https://doi.org/10.1016/j.fusengdes.2011.06.009
- Krasheninnikov S.I., Kukushkin A.S., Pshenov A.A. // Plasma Phys. Control. Fusion. 2022. V. 64. P. 125011. https://doi.org/10.1088/1361-6587/ac9b8e
- Krasheninnikov S.I., Kukushkin A.S. // Phys. Plasmas. 2022. V. 29. P. 122502. https://doi.org/10.1063/5.0129131
- Krasheninnikov S., Smolyakov A., Kukushkin A. On the Edge of Magnetic Fusion Devices. Switzerland: Springer Nature AG, 2020. https://doi.org/10.1007/978-3-030-49594-7
- Krasheninnikov S.I., Kukushkin A.S., Pistunovich V.I., Pozharov V.A. // Nucl. Fusion. 1987. V. 27. P. 1805. https://doi.org/10.1088/0029-5515/27/11/006
- Pshenov A.A., Kukushkin A.S., Krasheninnikov S.I. // Nucl. Mater. Energy. 2017. V. 12. P. 948. https://doi.org/10.1016/j.nme.2017.03.019
- Pshenov A.A., Kukushkin A.S., Krasheninnikov S.I. // Phys. Plasmas. 2017. V. 24. P. 072508. https://doi.org/10.1063/1.4991402
Supplementary files
















