First Experiments on the Investigation of the Generation of Negative Hydrogen Ions with the Use of CW ECR Discharge at the GISMO Facility
- Authors: Lapin R.L.1, Skalyga V.A.1, Izotov I.V.1, Golubev S.V.1, Bokhanov A.F.1, Kiseleva E.M.1, Vybin S.S.1
-
Affiliations:
- Institute of Applied Physics, Russian Academy of Sciences
- Issue: Vol 49, No 2 (2023)
- Pages: 193-197
- Section: LOW TEMPERATURE PLASMA
- URL: https://bakhtiniada.ru/0367-2921/article/view/139532
- DOI: https://doi.org/10.31857/S036729212260090X
- EDN: https://elibrary.ru/NWUITG
- ID: 139532
Cite item
Full Text
Abstract
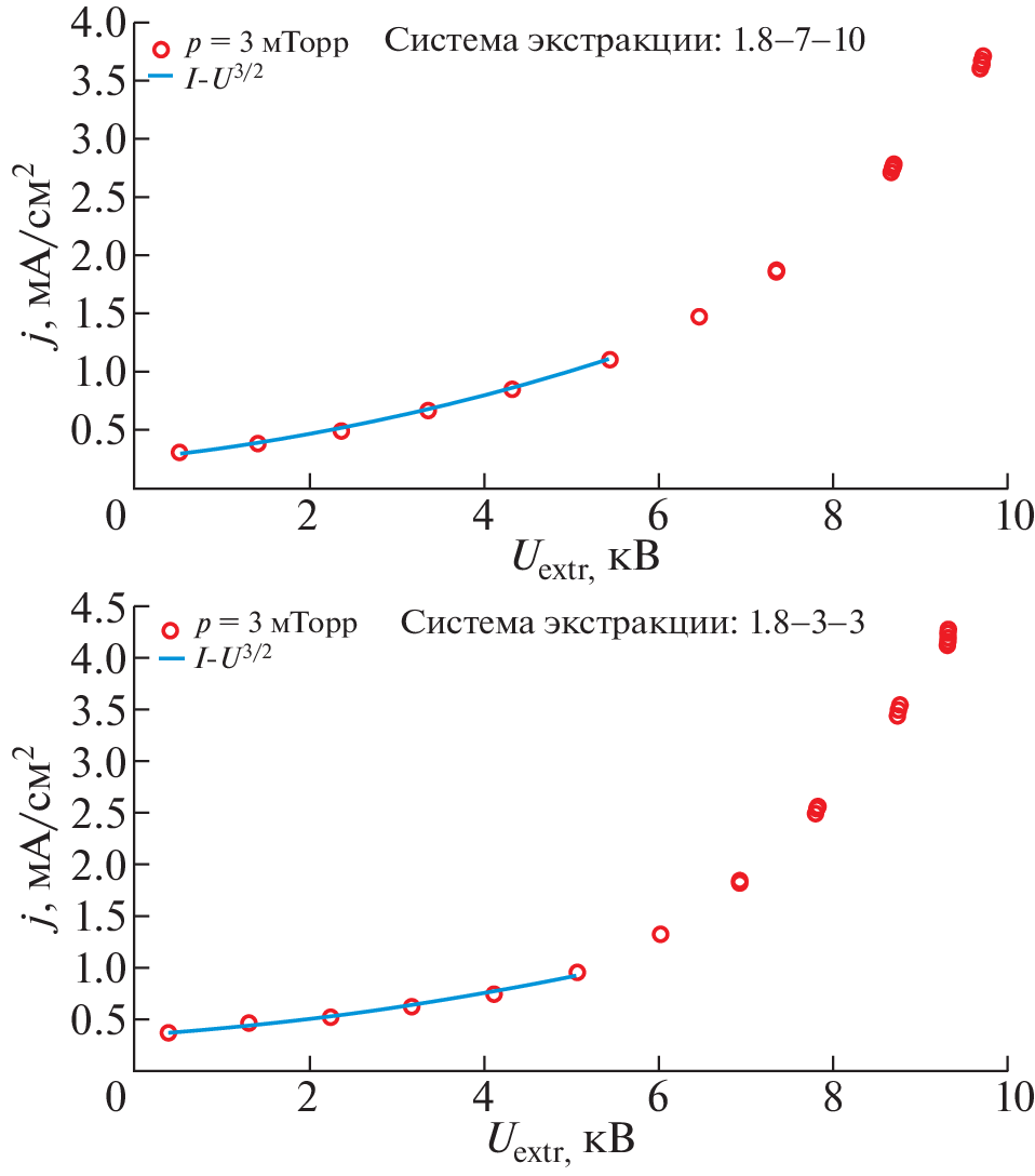
The results of the first experiments on studying the volume production of negative hydrogen ions using a dense gasdynamic plasma of an electron cyclotron resonance (ECR) discharge sustained by continuous wave (CW) microwave radiation from a gyrotron (28 GHz/5 kW) are described. The ECR hydrogen discharge is ignited in a vacuum chamber placed in a magnetic field created by a system of two consecutive magnetic traps. The system parameters are optimized to obtain the maximum average current density of negative ions at the level of j = 25 mA/cm2. The study involves the determination of the negative ion production area, me-asurement of the current density dependences on gas pressure and microwave radiation power, and demonstration of potential optimization opportunities for extraction voltage.
About the authors
R. L. Lapin
Institute of Applied Physics, Russian Academy of Sciences
Email: lapin@ipfran.ru
603950, Nizhny Novgorod, Russia
V. A. Skalyga
Institute of Applied Physics, Russian Academy of Sciences
Email: lapin@ipfran.ru
603950, Nizhny Novgorod, Russia
I. V. Izotov
Institute of Applied Physics, Russian Academy of Sciences
Email: lapin@ipfran.ru
603950, Nizhny Novgorod, Russia
S. V. Golubev
Institute of Applied Physics, Russian Academy of Sciences
Email: lapin@ipfran.ru
603950, Nizhny Novgorod, Russia
A. F. Bokhanov
Institute of Applied Physics, Russian Academy of Sciences
Email: lapin@ipfran.ru
603950, Nizhny Novgorod, Russia
E. M. Kiseleva
Institute of Applied Physics, Russian Academy of Sciences
Email: lapin@ipfran.ru
603950, Nizhny Novgorod, Russia
S. S. Vybin
Institute of Applied Physics, Russian Academy of Sciences
Author for correspondence.
Email: lapin@ipfran.ru
603950, Nizhny Novgorod, Russia
References
- Bacal M., Sasao M., Wada M. // J. Appl. Phys. 2021. V. 129. P. 221101. https://doi.org/10.1063/5.0049289
- Браун Я. Физика и технология источников ионов. М.: Мир, 1998.
- Leung K.N., Ehlers K.W., Bacal M. // Rev. Sci. Instrum. 1983. V. 54. P. 56. https://doi.org/10.1063/1.1137215
- Lapin R.L., Skalyga V.A., Izotov I.V., Golubev S.V., Razin S.V., Bokhanov A.F., Kazakov M.Yu., Shaposhni-kov R.A., Kiseleva E.M., Tarvainen O. // J. Phys.: Conf. Ser. 2020. V. 1647. P. 012012. https://doi.org/10.1088/1742-6596/1647/1/012012
- Lapin R.L., Izotov I.V., Skalyga V.A., Razin S.V., Shaposhnikov R.A., Tarvainen O. // JINST. 2018. V. 13. P. C12007. https://doi.org/10.1088/1748-0221/13/12/C12007
- Dougar-Jabon V.D., Chacon Velasco A.J., Vivas F.A. // Rev. Sci. Instrum. 1998. V. 69. P. 950. https://doi.org/10.1063/1.1148618
- Dougar-Jabon V.D. // Phys. Scr. 2001. V. 63. № 4. P. 322. https://doi.org/10.1238/Physica.Regular.063a00322
Supplementary files








