Fractal Brownian Motion of Colloidal Particles in Plasma
- Authors: Koss K.G.1,2, Lisina I.I.1,2, Vasiliev M.M.1,2, Alekseevskaya A.A.1, Kononov E.A.1,2, Petrov O.F.1,2
-
Affiliations:
- Joint Institute for High Temperatures, Russian Academy of Sciences
- Moscow Institute of Physics and Technology
- Issue: Vol 49, No 1 (2023)
- Pages: 33-41
- Section: ПЫЛЕВАЯ ПЛАЗМА
- URL: https://bakhtiniada.ru/0367-2921/article/view/139525
- DOI: https://doi.org/10.31857/S0367292122600972
- EDN: https://elibrary.ru/BFDZFB
- ID: 139525
Cite item
Full Text
Abstract
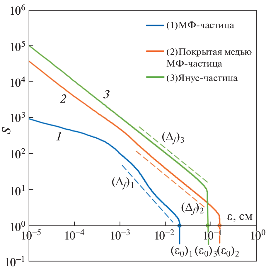
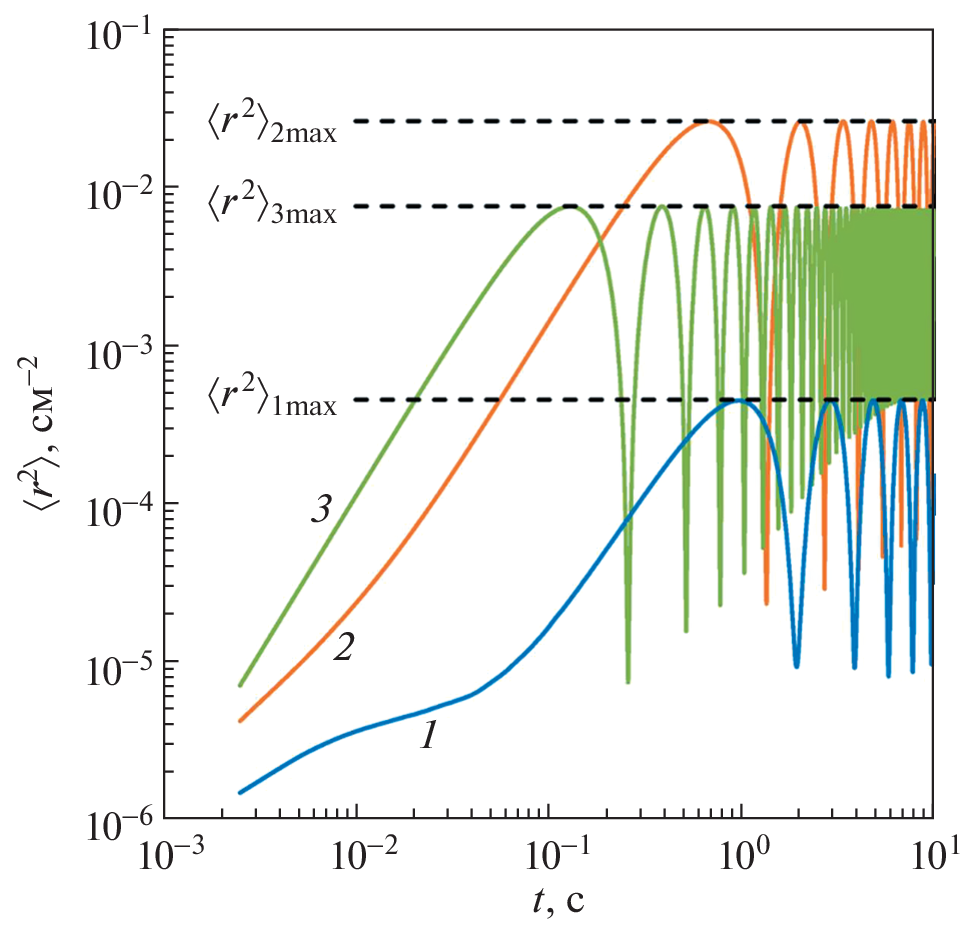
Experimental data on the motion of a single colloidal particle in a trap in the near-electrode layer of an RF-discharge plasma are analyzed. The experiment was conducted with three types of colloids: uncoated melamine-formaldehyde particles, melamine-formaldehyde particles with a thin copper coating, and Janus particles partially coated with iron. The colloids were exposed to a flat wide laser beam, allowing them to be visualized and their kinetic energy changed. To analyze the motion of particles, the functions of their dynamic entropy of the first intersection were constructed and the region of particle localization and the fractal dimension of their trajectories were found. The results obtained indicate a significant difference between colloids of different types, as well as the evolution of their motion with a change in kinetic energy. It is shown that the fractal dimension of the trajectories of all types of particles is fractional and decreases with an increase in their kinetic energy.
About the authors
K. G. Koss
Joint Institute for High Temperatures, Russian Academy of Sciences; Moscow Institute of Physics and Technology
Email: Xeniya.Koss@gmail.com
125412, Moscow, Russia; 141701, Dolgoprudny, Moscow oblast, Russia
I. I. Lisina
Joint Institute for High Temperatures, Russian Academy of Sciences; Moscow Institute of Physics and Technology
Email: Xeniya.Koss@gmail.com
125412, Moscow, Russia; 141701, Dolgoprudny, Moscow oblast, Russia
M. M. Vasiliev
Joint Institute for High Temperatures, Russian Academy of Sciences; Moscow Institute of Physics and Technology
Email: Xeniya.Koss@gmail.com
125412, Moscow, Russia; 141701, Dolgoprudny, Moscow oblast, Russia
A. A. Alekseevskaya
Joint Institute for High Temperatures, Russian Academy of Sciences
Email: Xeniya.Koss@gmail.com
125412, Moscow, Russia
E. A. Kononov
Joint Institute for High Temperatures, Russian Academy of Sciences; Moscow Institute of Physics and Technology
Email: Xeniya.Koss@gmail.com
125412, Moscow, Russia; 141701, Dolgoprudny, Moscow oblast, Russia
O. F. Petrov
Joint Institute for High Temperatures, Russian Academy of Sciences; Moscow Institute of Physics and Technology
Author for correspondence.
Email: Xeniya.Koss@gmail.com
125412, Moscow, Russia; 141701, Dolgoprudny, Moscow oblast, Russia
References
- Bechinger C., Di Leonardo D., Löwen H., Reichhardt C., Volpe G., Volpe G. // Rev. Mod. Phys. 2016. V. 88. P. 045006.
- Sriram R. // Ann. Rev. Condensed Matter Phys. 2010. V. 1. P. 323.
- Schweitzer F. Brownian agents and active particles: Collective dynamics in the natural and social sciences. Heidelberg, Germany: Springer-Verlag, 2007.
- Friedrich B.M., Julicher F. // New J. Phys. 2008. V. 10(12). P. 123025.
- Sokolov A., Aranson I.S., Kessler J.O., Goldstein R.E. // Phys. Rev. Lett. 2007. V. 98(15). P. 158102–4.
- Drescher K., Goldstein R.E., Michel N., Polin M., Tu-val I. // Phys. Rev. Lett. 2010. V. 105(16). P. 168101.
- Kareiva P.M., Shigesada N. // Oecologia. 1983. V. 56(2–3). P. 234.
- Devereux H.L., Twomey C.R., Turner M.S., Thutupal-li S. // J. Royal Soc. Interface. 2021. V. 18. P. 20210114.
- Bartumeus F., da Luz M.G.E., Viswanathan G.M., Catalan J. // Ecology. 2005. V. 86(11). P. 3078.
- Humphries N.E., Queiroz N., Dyer J.R.M., Pade N.G., Musyl M.K., Schaefer K.M., Fuller D.W., Brunnschwei-ler J.M., Doyle T.K., Houghton J.D.R., Hays G.C., Jones C.S., Noble L.R., Wearmouth V.J., Southall E.J., Sims D.W. // Nature. 2010. 465(7301) P. 1066.
- Kummel F., ten Hagen B., Wittkowski R., Buttinoni I., Eichhorn R., Volpe G., Löwen H., Bechinger C. // Phys. Rev. Lett. 2013. V. 110. P. 198302.
- Kurzthaler C., Devailly C., Arlt J., Franosch T., Poon W.C., Martinez V.A., Brown A.T. // Phys. Rev. Lett. 2018. V. 121. P. 078001.
- Ismagilov R.F., Schwartz A., Bowden N., Whitesides G.M. // Angew. Chem. Int. Ed. 2002. V. 41. P. 652.
- Howse J.R., Jones R.A.L., Ryan A.J., Gough T., Vafabakhsh R., Golestanian R. // Phys. Rev. Lett. 2007. V. 99. P. 048102.
- Liebchen B., Löwen H. // Acc. Chem. Res. 2018. V. 51(12). P. 2982.
- Weber C.A., Hanke T., Deseigne J., Léonard S., Dau-chot O., Frey E., Chaté H. // Phys. Rev. Lett. 2013. V. 110. P. 208001.
- Scholz C., Engel M., Pöschel T. // Nature Commun. 2018. V. 9. 931.
- Patterson G.A., Fierens P.I., Jimka F.S., König P., Garcimartín A., Zuriguel I., Pugnaloni L.A., Parisi D.R. // Phys. Rev. Lett. 2017. V. 119. P. 248301.
- Scholz C., Jahanshahi S., Ldov A., Löwen H. // Nature Commun. 2018. V. 9. P. 5156.
- Palacci J., Sacanna S., Steinberg A.P., Pine D.J., Chaikin P.M. // Science. 2013. V. 339. P. 936.
- Caprini L., Marconi U.M.B., Puglisi A. // Phys. Rev. Lett. 2020. V. 124 (7). P. 078001.
- Caporusso C.B., Digregorio P., Levis D., Cugliandolo L.F., Gonnella G. // Phys. Rev. Lett. 2020. V. 125 (17). P. 178004.
- Kaiser A., Wensink H.H., Löwen H. // Phys. Rev. Lett. 2012. V. 108. P. 268307.
- Mijalkov M., Volpe G. // Soft Matter. 2013. V. 9. P. 6376.
- Grünwald M., Tricard S., Whitesides G.M., Geissler P.L. // Soft Matter. 2016. V. 12(5). P. 1517.
- Hu J., Zhou S., Sun Y., Fang X., Wu L. // Chem. Soc. Rev. 2012. V. 41 (11). P. 4356.
- Walther A., Mueller A.H.E. // Chem. Rev. 2013. V. 113 (7). P. 5194.
- Su H., Hurd Price C.-A., Jing L., Tian Q., Liu J., Qian K. // Materials Today Bio. 2019. V. 4. P. 100033.
- Koss X.G., Kononov E.A., Lisina I.I., Vasiliev M.M., Petrov O.F. // Molecules. 2022. V. 27. P. 1614.
- Petrov O.F., Statsenko K.B., Vasiliev M.M. // Sci. Rep. 2022. V. 12. P. 8618.
- Косс К.Г., Петров О.Ф., Мясников М.И., Стацен-ко К.Б., Васильев М.М. // ЖЭТФ. 2016. Т. 150. С. 111.
- Koss X.G., Petrov O.F., Statsenko K.B., Vasiliev M.M. // European Phys. Lett. 2018. V. 124. P. 45001.
- Petrov O.F., Boltnev R.E., Vasiliev M.M. // Sci. Rep. 2022. V. 12. P. 6085.
- Lisin E.A., Kononov E.A., Sametov E.A., Vasiliev M.M., Petrov O.F. // Molecules. 2021. V. 26. P. 7535.
- Löwen H. // J. Chem. Phys. 2020. V. 152. P. 040901.
- Mukundarajan H., Bardon T. C., Kim D. H., Prakash M. // J. Exp. Biol. 2016. V. 219. P. 752.
- Lisin E.A., Vaulina O.S., Lisina I.I., Petrov O.F. // Phys. Chem. Chem. Phys. 2021. V. 23. P. 16248.
- Nosenko V., Luoni F., Kaouk A., Rubin-Zuzic M., Tho-mas H. // Phys. Rev. Res. 2020. V. 2. P. 033226.
- Arkar K., Vasiliev M.M., Petrov O.F., Kononov E.A., Trukhachev F.M. // Molecules. 2021. V. 26(3). P. 561.
- Lloyd S. // IEEE Control Systems Magazine. 2001. V. 21(4). P. 7.
- Azua-Bustos A., Vega-Martínez C. // Internat. J. Astrobiology. 2013. V. 12. P. 314.
- Gaspard P., Wang X.-J. // Phys. Rep. 1993. V. 235. P. 291.
- Allegrini P., Douglas J.F., Glotzer S.C. // Phys. Rev. E. 1999. V. 60. P. 5714.
- https://microparticles.de/
- Kononov E.A., Vasiliev M.M., Vasilieva E.V., Petrov O.F. // Nanomaterials. 2021. V. 11. P. 2931.
- Schmidt C., Piel A. // Phys. Rev. E. 2015. V. 92(4). P. 043106.
- Ваулина О.С., Лисин Е.А., Гавриков А.В., Петров О.Ф., Фортов В.Е. // ЖЭТФ. 2010. Т. 137. С. 751.
- Feng Y., Goree J., Liu B. // Rev. Sci. Instruments. 2011. V. 82(5). P. 053707.
- Du C.-R., Nosenko V., Thomas H.M., Müller A., Lipaev A.M., Molotkov V.I., Fortov V.E., Ivlev A.V. // New J. Phys. 2017. V. 19. P. 073015.
- Dellago Ch., Posch H.A. // Physica A. 1996. V. 230. P. 364.
- Mandelbrot B.B. The fractal geometry of nature. San Francisco: W.H. Freeman and co., 1982.
- Uhlenbeck G.E., Ornstein L.S. // Phys. Rev. 1930. V. 36(5). P. 823.
- Фортов В.Е., Петров О.Ф., Ваулина О.С., Косс К.Г. // Письма ЖЭТФ. 2013. Т. 97. С. 366.
Supplementary files










