Thermodynamic Stability of a Multicomponent Non-Ideal Plasma
- Authors: Filippov A.V.1,2
-
Affiliations:
- Joint Institute for High Temperatures, Russian Academy of Sciences
- Troitsk Institute for Innovation and Fusion Research
- Issue: Vol 49, No 1 (2023)
- Pages: 25-32
- Section: ПЫЛЕВАЯ ПЛАЗМА
- URL: https://bakhtiniada.ru/0367-2921/article/view/139523
- DOI: https://doi.org/10.31857/S0367292122601321
- EDN: https://elibrary.ru/KNEUSR
- ID: 139523
Cite item
Full Text
Abstract
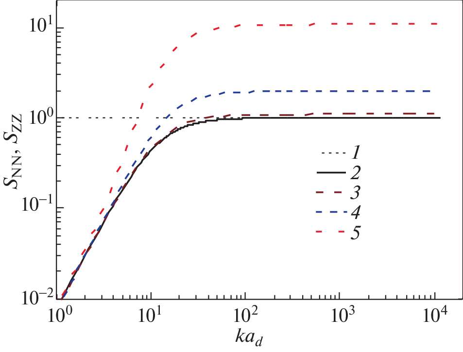
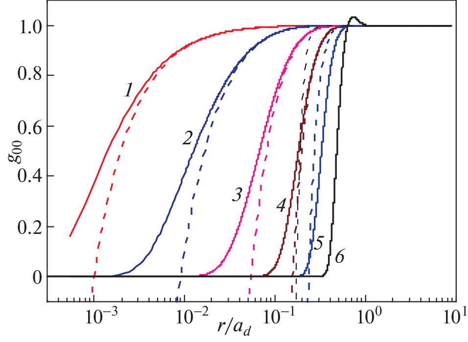
The thermodynamic stability of a multicomponent plasma is studied on the basis of the Ornstein–Zernike integral equations for a multicomponent fluid. A transition is made to the one-component Ornstein–Zernike equation for the most non-ideal subsystem for a plasma with any number of components under the conditions of applicability of the Debye approximation for direct correlation functions for all plasma components, except for the most non-ideal subsystem. It is shown that all pair correlation functions, charge–charge and number–number structure factors remain positive for all argument values in the entire studied range of the non-ideality parameter of the most non-ideal subsystem. The conditions for the violation of the thermodynamic stability of a three-component dusty plasma are studied for different signs of the charge of dust particles and their different number density.
About the authors
A. V. Filippov
Joint Institute for High Temperatures, Russian Academy of Sciences; Troitsk Institute for Innovation and Fusion Research
Author for correspondence.
Email: fav@triniti.ru
Moscow, Russia; Moscow, Russia
References
- Цытович В.Н. // УФН. 1997. Т. 167. С. 57.
- Фортов В.Е., Храпак А.Г., Храпак С.А., Молотков В.И., Петров О.Ф. // УФН. 2004. Т. 174. С. 495.
- Fortov V.E., Ivlev A.V., Khrapak S.A., Khrapak A.G., Morfill G.E. // Phys. Rep. 2005. V. 421. P. 1.
- Mann I., Meyer-Vernet N., Czechowski A. // Phys. Rep. 2014. V. 536. P. 1.
- Ivlev A.V., Khrapak S.A., Molotkov V.I., Khrapak A.G. Introduction to the Physics of Dust and Complex Plasma. M.: Intellect Publishing House, 2017.
- Shukla P.K., Mamun A.A. Introduction to dusty plasma physics. CRC Press, 2015.
- Greiner F., Melzer A., Tadsen B., Groth S., Killer C., Kirchschlager F., Wieben F., Pilch I., Kruger H., Block D., Piel A., Wolf S. // Eur. Phys. J. D. 2018. V. 72. P. 81.https://doi.org/10.1140/epjd/e2017-80400-7
- Ivlev A., Lowen H., Morfill G., Royall C.P. Complex plasmas and colloidal dispersions: particle-resolved studies of classical liquids and solids. Series in Soft Condensed Matter, vol. 5. Singapore: World Scientific, 2012.
- Филиппов А.В., Старостин А.Н., Паль А.Ф. // ЖЭТФ. 2015. Т. 148. С. 1039.
- Babick F. // Suspensions of Colloidal Particles and Aggregates / Eds. J. Manuel, V. Millan. V. 20 of the series Particle Technology Serie. Cham: Springer International Publishing, 2016. P. 75.
- Ohshima H. // Encyclopedia of Biocolloid and Biointerface Science. Hoboken, NJ, USA: John Wiley & Sons, Inc., 2016.https://doi.org/10.1002/9781119075691.ch34
- Филиппов А.В., Дербенев И.Н. // ЖЭТФ. 2016. Т. 150. С. 1262.
- Derbenev I.N., Filippov A.V., Stace A.J., Besley E. // J. Chem. Phys. 2016. V. 145. P. 084103.https://doi.org/10.1063/1.4961091
- Chen C., Huang W. // Environ. Sci. Technol. 2017. V. 51. P. 2077.https://doi.org/10.1021/acs.est.6b04575
- Fortov V.E., Morfill G.E. Complex and Dusty Plasmas. London: Taylor Francis, 2009.
- Ваулина О.С., Петров О.Ф., Фортов В.Е., Храпак А.Г., Храпак С.А. Пылевая плазма. Эксперимент и теория. М.: Физматлит, 2009. 316 с.
- Hamaguchi S., Farouki R.T. // J. Chem. Phys. 1994. V. 101. P. 9876.
- Farouki W.T., Hamaguchi S. // J. Chem. Phys. 1994. V. 101. P. 9885
- Hamaguchi S., Farouki R.T., Dubin D.H.E. // Phys. Rev. E. 1997. V. 56. P. 4671.
- Totsuji H. // Phys. Plasmas. 2008. V. 15. P. 072111.
- Totsuji H. // Microgravity Sci. Technol. 2011. V. 23. P. 159.
- Khrapak S.A., Khrapak A.G., Ivlev A.V., Morfill G.E. // Phys. Rev. E. 2014. V. 89. P. 023102.
- Khrapak S.A., Morfill G.E., Ivlev A.V., Thomas H.M., Beysens D.A., Zappoli B., Fortov V.E., Lipaev A.M., Molotkov V.I. // Phys. Rev. Lett. 2006. V. 96. P. 015001.
- Debye P., Huckel E. // Phys. Zeitschr. 1923. V. 24. S. 185.
- Филиппов А.В., Решетняк В.В., Старостин А.Н., Ткаченко И.М., Фортов В.Е. // Письма в ЖЭТФ. 2019. Т. 110. С. 651.https://doi.org/10.1134/S0370274X19220041
- Filippov A.V., Fortov V.E., Reshetniak V.V., Staros-tin A.N., Tkachenko I.M. // AIP Advances. 2020. V. 10. P. 045232.https://doi.org/10.1063/1.5144901
- Hansen J.-P., McDonald I.R. Theory of Simple Liquids. London: Elsevier, 2006.
- Саркисов Г.Н. // УФН. 1999. Т. 169. С. 625.
- Решетняк В.В., Старостин А.Н., Филиппов А.В. // ЖЭТФ. 2018. V. 154. С. 1258.
- Решетняк В.В., Филиппов А.В. // ЖЭТФ. 2019. V. 156. С. 545.
- Зеленер Б.В., Норман Г.Э., Филинов В.С. Теория возмущений и псевдопотенциалов в статистической термодинамике. М.: Наука, 1981.
- Kelbg G. // Ann. Phys. V. 1964. V. 12. P. 219.
- Kelbg G. // Ann. Phys. 1964. V. 12. P. 354.
- Климонтович Ю.Л., Крэфт В.Д. // ТВТ. 1974. V. 12. P. 239.
- Deutsch C. // Phys. Lett. 1977. V. 60A. P. 317.
- Deutsh C., Gombert M.M., Minoo H. // Phys. Lett. 1978. V. 66A. P. 381; 1979. V. 72A. P. 481.
- Schwarz V., Bornath T., Kraeft W.D., Glenzer S.H., Holl A., Redmer R. // Contrib. Plasma Phys. 2007. V. 47. P. 324.
- Wunsch K., Hilse P., Schlanges M., Gericke D.O. // Phys. Rev. E. 2008. V. 77. P. 05640.
- Fushiki M. // J. Chem. Phys. 1988. V. 89. P. 7445.https://doi.org/10.1063/1.455275
- Davletov A.E., Yerimbetova L.T., Arkhipov Yu.V., Mukhametkarimov Ye.S., Kissan A., Tkachenko I.M. // J. Plasma Phys. 2018. V. 84. P. 905840410.
- Yerimbetova L.T., Davletov A.E., Arkhipov Y.V., Tka-chenko I.M. // Contrib. Plasma Phys. 2019. V. 59. P. e201800160.https://doi.org/10.1002/ctpp.201800160
- Beresford-Smith B., Chan D.Y., Mitchell D.J. // J. Colloid Interface Sci. 1985. V. 105. P. 216.
- Stillinger F.H., Lovett B. // J. Chem. Phys. 1968. V. 49. P. 1991.
- Prigogine I., Defay R. Chemical Thermodynamics. London, Ney York, Toronto: Longmans Green and Co., 1954.
- Норман Г.Э., Старостин А.Н. // ТВТ. 1968. Т. 6. С. 410.
- Норман Г.Э., Старостин А.Н. // ТВТ. 1970. V. 8. P. 413.
- Mahaffey D.W., Jerde D.A. // Rev. Mod. Phys. 1968. V. 40. P. 710.
Supplementary files






