Адаптация ставропольской популяции клопа Orius laevigatus (Fieber) (Heteroptera, Anthocoridae) к условиям массового разведения
- Авторы: Перова Т.Д.1,2, Резник С.Я.1,3, Козлова Е.Г.1, Кабак И.И.1, Белякова Н.А.1
-
Учреждения:
- Всероссийский институт защиты растений РАН
- Институт прикладной энтомологии (НПП "ИНАППЕН")
- Зоологический институт РАН
- Выпуск: Том 103, № 4 (2024)
- Страницы: 351-361
- Раздел: Статьи
- URL: https://bakhtiniada.ru/0367-1445/article/view/272554
- DOI: https://doi.org/10.31857/S0367144524040014
- EDN: https://elibrary.ru/LTAEAI
- ID: 272554
Цитировать
Полный текст
Аннотация
Естественный ареал хищного клопа Orius laevigatus, часто используемого в теплицах для борьбы с вредными насекомыми, включает территории Западной, Центральной и Южной Европы, Средиземноморья, Северной Африки и Южной Азии. На территории бывшего СССР этот вид был отмечен на юге Украины, в Крыму, Абхазии, Армении, Азербайджане и Туркмении. В 2020 г. мы обнаружили популяцию O. laevigatus на поле подсолнечника в Ставропольском крае. Для оценки возможности использования ставропольской популяции O. laevigatus в биологической борьбе с вредными насекомыми на протяжении 17 поколений был прослежен процесс ее адаптации к условиям массового разведения. Опыты показали, что особи из ставропольской популяции по нескольким важным параметрам развития и размножения (плодовитость самок, выживаемость преимагинальных стадий и др.) в условиях массового разведения недостоверно отличаются от особей из лабораторной популяции, до опыта разводимой в этих условиях на протяжении десятков поколений. Судя по этим данным, ставропольская популяция O. laevigatus возникла не в результате расселения причерноморских популяций под влиянием глобального потепления, а происходит от единичных особей, убежавших из местных тепличных хозяйств.
Ключевые слова
Полный текст
Хищный клоп Orius laevigatus (Fieber) (Heteroptera, Anthocoridae) уже более 30 лет используется в Европе, Азии и Северной Африке для биологического контроля вредителей (трипсов, тлей, белокрылок, паутинных клещей и др.) в теплицах (Миронова и др., 1998; Мокроусова, 2001; Venzon et al., 2002; Сапрыкин, Пазюк, 2003; Weintraub et al., 2011; Van Lenteren, 2012, 2020; Pazyuk, Binitskaya, 2020; Zuma et al., 2023). Естественный ареал O. laevigatus охватывает Азорские и Канарские острова, Мадейру, южную половину Ирландии и Британских островов, Пиренейский полуостров, север, запад и юг Франции, Швейцарию, Апеннинский и Балканский полуострова, острова Средиземного моря, весь север Африки от Марокко до Египта, Малую и Переднюю Азию. Имеются данные о его наличии в южном Иране, западном Афганистане и Пакистане. В бывшем СССР известен из Крыма, причерноморских районов Украины, из Абхазии, Армении, юго-восточного Азербайджана и западной Туркмении (Péricart, 1972, 1996; Элов, 1976; Farzaneh et al., 2010; Schuldiner-Harpaz, Coll, 2022). В коллекции Зоологического института РАН нами обнаружены экземпляры из окрестностей Одессы и Херсона, Крыма (южный берег: Алушта, Ялта, Оползневое), Абхазии (Новый Афон), Армении (Ереван), Азербайджана (Ленкорань) и западной Туркмении (Кара-Кала).
В 2005–2008 гг. O. laevigatus был отмечен в естественных биотопах на территории Нидерландов, что можно объяснить как расширением естественного ареала на северо-восток, так и расселением из теплиц, где этот хищный клоп часто применяется в качестве агента биологического контроля вредителей. Имаго отмечали в открытом грунте с конца апреля до конца октября. Большинство очагов выявлено в регионах, где сосредоточены тепличные комплексы, что свидетельствует в пользу гипотезы о непреднамеренной интродукции клопов, выпущенных в теплицы, хотя нельзя исключать и возможность расширения исходного ареала на северо-восток из Франции и Швейцарии. Как видно из приведенных выше сведений о естественном ареале O. laevigatus, этот вид широко распространен в зоне умеренного морского климата Западной Палеарктики, даже в регионах с отрицательными зимними температурами, например, во Франции, южной половине Ирландии и Британских островов, поэтому его акклиматизация в Нидерландах была вполне ожидаема (Aukema, Loomans, 2005; Aukema, Hermes, 2009).
Осенью 2020 г. O. laevigatus был обнаружен нами на полях подсолнечника в окрестностях г. Михайловск (Ставропольский край). Следует заметить, что, в отличие от всех регионов, где этот вид был отмечен ранее, климат Ставропольского края континентальный, зима там довольно холодная и продолжительная: средняя температура января –2.4 °C, за год отмечается более 100 дней с отрицательными температурами (https://www.weatheronline.co.uk/). Как и в случае нидерландской популяции, найденные особи могут быть либо потомками клопов, расселившихся из местных теплиц, либо мигрантами при расширении ареала O. laevigatus на север от побережья Черного моря в результате потепления климата. Несколько тепличных комбинатов находятся сравнительно недалеко от места обнаружения ставропольской популяции: в 50 км (АО Солнечный, г. Солнечнодольск, Ставропольский край), в 102 км (Андроповский ТК, с. Солуно-Дмитриевское, Ставропольский край), в 135 км (Юг-Агро, станица Ярославская, Краснодарский край) и в 220 км (Агрокомплекс «Весна», пос. Подкумок, Ставропольский край).
К зимней диапаузе у антокорид способны только самки, самцы до весны не доживают (Саулич, Мусолин, 2009). О сезонной циклике O. laevigatus и механизмах ее регуляции известно сравнительно немного. Особи из популяций, обитающих на севере Италии, при коротком дне (11.5–12 ч) и температуре 18 °С не формируют репродуктивную диапаузу, но проявляют количественную фотопериодическую реакцию, выражающуюся в удлинении преимагинального развития и преовипозиционного периода, сокращении доли яйцекладущих самок и уменьшении плодовитости (Tommasini, van Lenteren, 2003).
Как бы то ни было, стабильное существование ставропольской популяции O. laevigatus на протяжении как минимум двух лет свидетельствует о ее успешном приспособлении к новым местообитаниям. Целью нашей работы была оценка возможности адаптации ставропольской популяции к условиям массового разведения, в частности — к использованию нового субстрата для откладки яиц, листьев каланхоэ Kalanchoe daigremontiana Raym.-Hamet et H. Perrier. В ходе исследования проводили также сравнение с особями из лабораторной популяции данного вида, которая ранее была уже адаптирована к разведению на каланхоэ (Трапезникова, 2010а, 2010б).
Материал и методика
В работе были использованы две популяции O. laevigatus. Первая, «ставропольская» популяция происходила от более чем 50 особей, собранных в первой декаде сентября 2020 и 2021 гг. на полях подсолнечника в окрестностях г. Михайловск Ставропольского края (45°08ʹ07ʺ N, 42°04ʹ17ʺ E). Вторая, «популяция ВИЗР» происходила от 250 особей, приобретенных в 1996 г. у бельгийской фирмы Биобест. В лаборатории обе популяции разводили при температуре воздуха 26 ± 1 °С, относительной влажности 70 ± 10 % и длине дня 16 час. Для содержания имаго использовали пластиковые контейнеры объемом 3 л, в каждый из которых помещали около 100 особей. В качестве субстрата для откладки яиц использовали проростки фасоли (Phaseolus vulgaris L.) или листья каланхоэ Kalanchoe daigremontiana. Замену имаго проводили через 14 дней. Субстрат для яйцекладки заменяли 3 раза в неделю. Субстрат с кладками помещали в пластиковые контейнеры объемом 2 л для выкармливания личинок. Для вентиляции крышки контейнеров имели боковые отверстия диаметром 5 см, затянутые мельничным газом. В качестве наполнителя в контейнеры помещали пластиковую фатин-сетку, собранную в виде гармошки. Наличие наполнителя позволяло снизить частоту каннибализма и структурировать пространство в контейнере. В качестве корма использовали яйца зерновой моли Sitotroga cerealella (Oliv.), которые рассыпали на фатин-сетку и субстрат для откладки яиц (расход яиц зерновой моли для выращивания до стадии имаго 1000 личинок составлял около 6 г). Кормили клопов 3 раза в неделю. Воду подавали на ватном тампоне, помещенном в чашку Петри диаметром 6 см. Яйца клопа считали под бинокуляром. При отрождении личинок 1-го возраста их также подсчитывали и определяли процентную долю яиц, из которых вышли личинки. При появлении имаго их собирали с помощью энтомологического эксгаустера и рассчитывали процент выживаемости личинок клопа.
Объемы выборок, исследованных в каждом поколении, как правило, были достаточно велики (от 10 до 300 пар особей в зависимости от поколения и изучаемого параметра). Чтобы избежать появления псевдоповторностей, для статистического анализа результатов использовали не данные по отдельным парам особей, а средние по поколениям и повторностям. Для выявления динамики в ряду поколений применяли регрессионный анализ; попарное сравнение средних проводили с помощью критерия Стьюдента; в качестве описательной статистики на рисунках и в таблицах использовали средние арифметические и ошибки средних.
Результаты
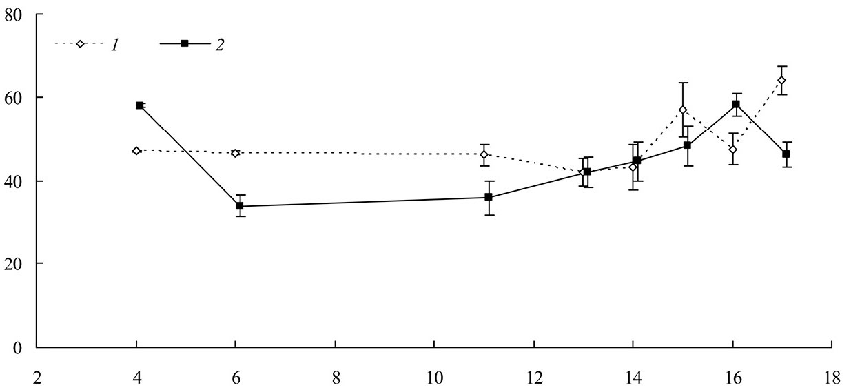
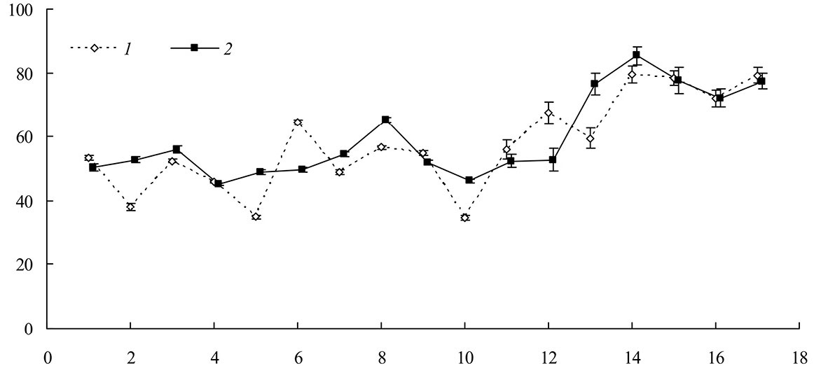
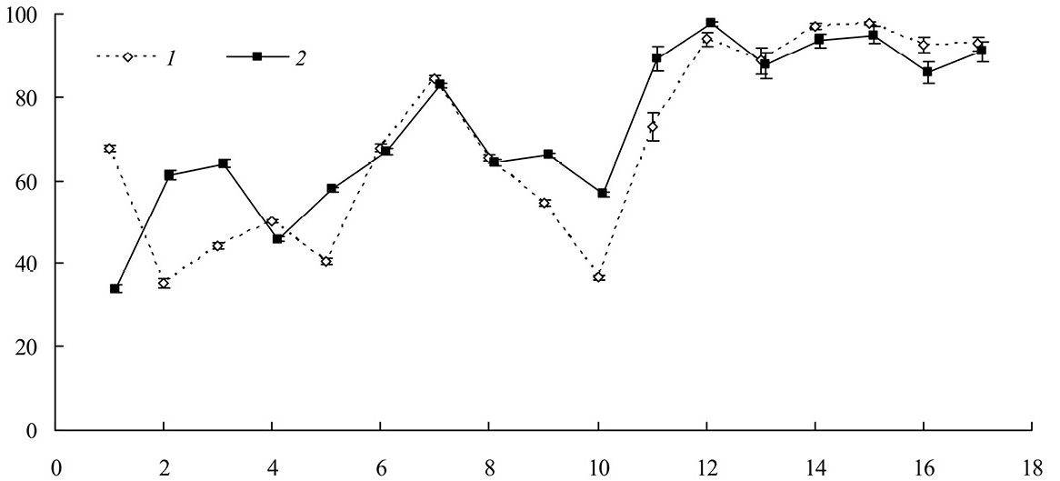
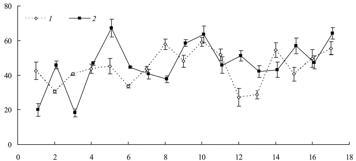
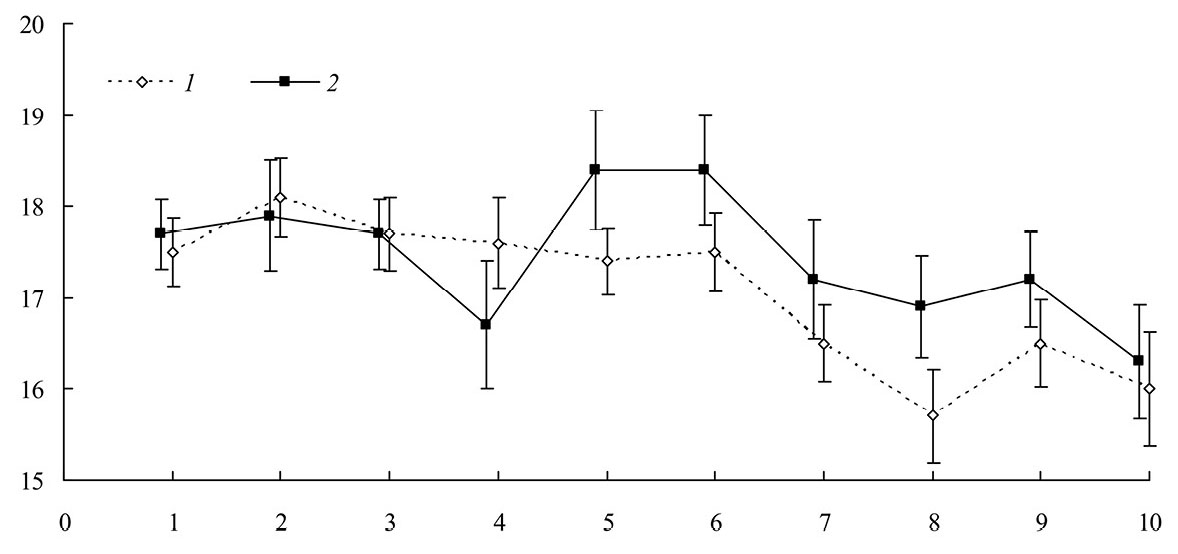
В качестве первого параметра для оценки степени адаптации ставропольской популяции O. laevigatus к разведению в лаборатории использовали плодовитость (среднее число яиц, отложенных одной самкой). Величина этого параметра была весьма изменчива в ряду поколений (рис. 1). Средние значения при использовании в качестве субстрата для откладки яиц фасоли и каланхоэ различались недостоверно, но при использовании каланхоэ наблюдался некоторый (на грани статистической достоверности) рост плодовитости, в то время как при использовании фасоли какая-либо достоверная тенденция отсутствовала (табл. 1). Средние значения другого параметра, доли яиц, из которых вышли личинки, также не различались между двумя использованными в опытах видами растений, но и на фасоли, и на каланхоэ наблюдался статистически достоверный рост этого параметра в ряду последовательных поколений (рис. 2, табл.1). Та же картина (отсутствие различий между средними и достоверный рост в последовательности поколений) наблюдалась и для доли личинок, развившихся до стадии имаго (рис. 3, табл. 1). Интересно, что продолжительность преимагинального развития (также при отсутствии различий между средними для всей совокупности поколений) в ходе опыта достоверно снижалась при разведении на фасоли, но не на каланхоэ (рис. 4, табл. 1). И, наконец, выживаемость самок за период с 5-го по 19-й день после отрождения заметно варьировала в последовательности поколений (рис. 5), но какой-либо статистически достоверный тренд в этой изменчивости отсутствовал (см. табл. 1). Зато различия между двумя сравниваемыми видами растений для этого параметра были достоверны: на каланхоэ доля выживших самок была почти вдвое выше, чем на фасоли (табл. 1).
Рис. 1. Динамика плодовитости самок Orius laevigatus (Fieber) в ряду поколений при разведении с использованием разных субстратов для откладки яиц. По горизонтальной оси — последовательные поколения; по вертикальной оси — плодовитость (число яиц на 1 самку, среднее и его ошибка). Субстраты для откладки яиц: 1 – фасоль, 2 – каланхоэ.
Таблица 1. Основные параметры развития и размножения особей из ставропольской популяции Orius laevigatus (Fieber) в ряду поколений при разведении с использованием разных субстратов для откладки яиц
Параметр и объем выборки | Средние по совокупности данных для всех поколений | Динамика в ряду поколений 3 | |||
При разведении на фасоли 1 | При разведении на каланхоэ 1 | Достоверность различия 2 | При разведении на фасоли | При разведении на каланхоэ | |
Плодовитость (число яиц на 1 самку), n = 17 | 44.3 ± 2.4 | 46.7 ± 3.3 | t = –0.585, df = 32, p = 0.563 | r = 0.278, p = 0.281 | r = 0.486, p = 0.048 |
Доля яиц, из которых вышли личинки (%), n = 17 | 57.5 ± 3.6 | 59.7 ± 3.2 | t = –0.469, df = 32, p = 0.642 | r = 0.734, p = 0.001 | r = 0.740, p = 0.001 |
Доля личинок, развившихся до стадии имаго (%), n = 17 | 69.6 ± 5.5 | 72.9 ± 4.6 | t = –0.472, df = 32, p = 0.640 | r = 0.754, p < 0.001 | r = 0.831, p < 0.001 |
Продолжительность преимагинального развития (дни), n = 10 | 17.05 ± 0.26 | 17.44 ± 0.22 | t = –1.151, df = 18, p = 0.256 | r = –0.859, p = 0.001 | r = –0.523, p = 0.121 |
Выживаемость самок за период с 5-го по 19-й день после отрождения (%,), n = 10 | 22.0 ± 5.9 | 40.2 ± 6.0 | t = –2.149, df = 18, p = 0.045 | r = 0.392, p = 0.262 | r = 0.435, p = 0.209 |
Примечание. 1 Среднее и его ошибка; 2 по критерию Стьюдента; 3 корреляция с номером поколения: коэффициент корреляции Пирсона и его достоверность.
Рис. 2. Динамика доли яиц Orius laevigatus (Fieber), из которых вышли личинки, в ряду поколений при разведении с использованием разных субстратов для откладки яиц. По горизонтальной оси — последовательные поколения; по вертикальной оси — доля яиц, из которых вышли личинки (%, среднее и его ошибка). Обозначения как на рис. 1.
Рис. 3. Динамика доли личинок Orius laevigatus (Fieber), развившихся до стадии имаго, в ряду поколений при разведении с использованием разных субстратов для откладки яиц. По горизонтальной оси — последовательные поколения; по вертикальной оси — доля личинок, развившихся до стадии имаго (%, среднее и его ошибка). Обозначения как на рис. 1, 2.
Рис. 4. Продолжительность преимагинального развития Orius laevigatus (Fieber) в ряду поколений при разведении с использованием разных субстратов для откладки яиц. По горизонтальной оси — последовательные поколения; по вертикальной оси — продолжительность преимагинального развития (дни, среднее и его ошибка). Обозначения как на рис. 1–3.
Рис. 5. Динамика выживаемости самок ставропольской популяции Orius laevigatus (Fieber) за период с 5-го по 19-й день после отрождения в ряду поколений при разведении с использованием разных субстратов для откладки яиц. По горизонтальной оси — последовательные поколения; по вертикальной оси — выживаемость имаго (%, среднее и его ошибка). Обозначения как на рис. 1–4.
По трем из перечисленных выше параметров (плодовитость, доля яиц, из которых вышли личинки, и доля личинок, развившихся до стадии имаго) было проведено сравнение ставропольской популяции с популяцией ВИЗР (рис. 6–8). Судя по средним для совокупности поколений, при разведении на каланхоэ различия между популяциями по всем трем параметрам были статистически недостоверными (табл. 2). Доля яиц, из которых вышли личинки, и доля личинок, развившихся до стадии имаго, также достоверно увеличивались по мере разведения обеих сравниваемых популяций, хотя у ставропольской популяции положительная корреляция с номером поколения была выражена немного сильнее (см. табл. 2).
Рис. 6. Плодовитость самок из ставропольской и ВИЗР популяций Orius laevigatus (Fieber) в ряду поколений при разведении на каланхоэ. По горизонтальной оси — последовательные поколения; по вертикальной оси — плодовитость (число яиц на 1 самку, среднее и его ошибка). Популяции: 1 – ставропольская, 2 – ВИЗР.
Рис. 7. Доля яиц, из которых вышли личинки у ставропольской и ВИЗР популяций Orius laevigatus (Fieber) в ряду поколений при разведении на каланхоэ. По горизонтальной оси — последовательные поколения; по вертикальной оси — доля яиц, из которых вышли личинки (%, среднее и его ошибка). Обозначения как на рис. 6.
Рис. 8. Доля личинок, развившихся до стадии имаго у ставропольской и ВИЗР популяций Orius laevigatus (Fieber) в ряду поколений при разведении на каланхоэ. По горизонтальной оси — последовательные поколения; по вертикальной оси — доля личинок, развившихся до стадии имаго (%, среднее и его ошибка). Обозначения как на рис. 6, 7.
Таблица 2. Репродуктивные показатели самок Orius laevigatus (Fieber) из ставропольской популяции и популяции ВИЗР в ряду поколений при разведении на каланхоэ
Параметр и объем выборки | Средние по совокупности данных для всех поколений | Динамика в ряду поколений 3 | |||
Ставропольская популяция 1 | Популяция ВИЗР 1 | Достоверность различия 2 | Ставропольская популяция | Популяция ВИЗР | |
Плодовитость (число яиц на 1 самку), n = 8 | 49.1 ± 2.7 | 45.9 ± 3.2 | t = 0.788, df = 14, p = 0.444 | r = 0.437, p = 0.279 | r = 0.120, p = 0.777 |
Доля яиц, из которых вышли личинки (%), n = 8 | 65.6 ± 6.2 | 67.5 ± 6.8 | t = –0.203, df = 14, p = 0.842 | r = 0.877, p = 0.004 | r = 0.827, p = 0.011 |
Доля личинок, развившихся до стадии имаго (%), n = 8 | 76.9 ± 9.0 | 80.3 ± 9.8 | t = –0.251, df = 14, p = 0.805 | r = 0.876, p = 0.004 | r = 0.506, p = 0.029 |
Примечание. 1 Среднее и его ошибка; 2 по критерию Стьюдента; 3 корреляция с номером поколения: коэффициент корреляции Пирсона и его достоверность.
Обсуждение
В целом результаты нашего исследования свидетельствуют о том, что ставропольская популяция O. laevigatus уже к началу опыта была в значительной степени преадаптирована не только к откладке яиц в определенные виды растений (фасоль и каланхоэ), но и ко всей совокупности условий массового разведения в лаборатории. Действительно, никакой существенной динамики в ряду последовательных поколений по таким важным показателям, как плодовитость самок и их выживаемость, не обнаружено. Другие, не менее существенные параметры (доля яиц, из которых вышли личинки, и доля личинок, развившихся до стадии имаго) с высокой степенью достоверности росли по мере разведения. Однако этот рост наблюдался не только у представителей ставропольской популяции, но и у особей из популяции ВИЗР, которые до начала опыта развивались в условиях массового разведения на протяжении многих десятков поколений. По-видимому, наблюдаемая в опытах динамика различных параметров развития и размножения O. laevigatus была детерминирована не только изменениями в ряду последовательных поколений насекомого, но также меняющимся в ходе опыта влиянием каких-то неконтролируемых внешних факторов. К тому же прямое сравнение двух популяций не выявило достоверных различий между средними величинами, да и характер динамики в ряду поколений был примерно одинаковым. В совокупности эти данные подтверждают гипотезу о том, что обнаруженная нами ставропольская популяция не возникла в результате обусловленного глобальным потеплением климата естественного расселения вида за пределы изначального ареала, но происходит от особей, разводимых на биофабриках и используемых для биологической борьбы с вредителями в теплицах.
Различия в степени пригодности двух использованных в опытах видов растений (фасоли и каланхоэ) для массового разведения ставропольской популяции O. laevigatus, судя по средним величинам, также не были существенными. Динамика некоторых параметров в ряду поколений немного различалась, но и в этих различиях отсутствовала какая-либо закономерность: например, средняя плодовитость достоверно увеличивалась только при разведении на каланхоэ, а скорость преимагинального развития — только при разведении на фасоли. В аналогичном исследовании, проведенном О. В. Трапезниковой (2010а), также был отмечен рост плодовитости самок O. laevigatus в ряду последовательных поколений при разведении на каланхоэ, в то время как при разведении на фасоли плодовитость практически не менялась, и, таким образом, различия в плодовитости самок, разводимых на этих двух растениях, в начале селекции бывшие весьма существенными (более чем в 4 раза), уже к 5-му поколению практически исчезли. Следует, впрочем, заметить, что в нашей работе рост плодовитости самок, разводимых на каланхоэ, был гораздо менее значительным, а средняя плодовитость самок, разводимых на каланхоэ, уже во втором поколении опыта была выше, чем при разведении на фасоли. Эти противоречия между результатами двух исследований, скорее всего, объясняются различиями между исходными популяциями ориуса.
Селекция лабораторных линий с целью их лучшей адаптации к условиям массового разведения — стандартный прием поиска и выбора потенциальных агентов биометода, и в большинстве случаев такие исследования приводят к положительному результату (Hoffmann, Ross, 2018; Kruitwagen et al., 2018; Bielza et al., 2020; Sentis et al., 2022). В частности, это относится и к объекту нашего исследования: были отобраны линии O. laevigatus, характеризующиеся высокой устойчивостью к инсектицидам (Balanza et al., 2019, 2021). Аналогичные процессы адаптации к различным параметрам окружающей среды происходят и в естественных условиях после интродукции агентов классического биометода в новые для них условия обитания (Wright, Bennett, 2018; Sethuraman et al., 2020; Thompson et al., 2022). Отсутствие в результатах нашего исследования признаков результатов отбора по способности к развитию и размножению в условиях массового разведения представляет собой скорее исключение, чем правило. Объяснением этого исключения, как уже упоминалось, могут быть малая внутрипопуляционная изменчивость и преадаптация к условиям массового разведения использованной в нашей работе ставропольской популяции O. laevigatus, которая произошла от единичных особей, убежавших из теплиц или биофабрик.
Благодарности
Авторы благодарны К. Г. Барыльнику (ИНАППЕН) за предоставленные материалы полевых сборов клопов.
Финансирование
Работа была выполнена при финансовой поддержке Российского научного фонда (грант № 24-46-00024).
Об авторах
Т. Д. Перова
Всероссийский институт защиты растений РАН; Институт прикладной энтомологии (НПП "ИНАППЕН")
Email: perova1996@list.ru
шоссе Подбельского, 3, С.-Петербург–Пушкин, 196608; ул. Летчика Паршина, 9, С.-Петербург, 197350
С. Я. Резник
Всероссийский институт защиты растений РАН; Зоологический институт РАН
Автор, ответственный за переписку.
Email: reznik1952@mail.ru
Россия, шоссе Подбельского, 3, С.-Петербург–Пушкин, 196608; Университетская наб., 1, С.-Петербург, 199034
Е. Г. Козлова
Всероссийский институт защиты растений РАН
Email: kategen_vizr@mail.ru
Россия, шоссе Подбельского, 3, С.-Петербург–Пушкин, 196608
И. И. Кабак
Всероссийский институт защиты растений РАН
Email: ilkabak@yandex.ru
Россия, шоссе Подбельского, 3, С.-Петербург–Пушкин, 196608
Н. А. Белякова
Всероссийский институт защиты растений РАН
Email: biocontrol@vizr.spb.ru
Россия, шоссе Подбельского, 3, С.-Петербург–Пушкин, 196608
Список литературы
- Миронова М. К., Ижевский С. С., Ахатов А. К. 1998. Перспективы использования Orius laevigatus (Fieb.) (Heteroptera, Anthocoridae) против трипса Frankliniella occidentalis (Perg.) (Thysanoptra, Thripidae). В кн.: Г. С. Медведев (ред.). Проблемы энтомологии в России. Т. 2. СПб.: Зоологический институт РАН, с. 34–35.
- Мокроусова Е. П. 2001. Возможность использования в борьбе с оранжерейной белокрылкой Trialeurodes vaporariorum Westw. хищного клопа Orius laevigatus Fieb. Вестник защиты растений 1: 76.
- Сапрыкин А. А., Пазюк И. М. 2003. Биологическая борьба с трипсами: применение и разведение хищных клопов ориусов. Гавриш 3: 26–29.
- Саулич А. Х., Мусолин Д. Л. 2009. Сезонное развитие и экология антокорид (Heteroptera, Anthocoridae). Энтомологическое обозрение 88 (2): 257–291.
- Трапезникова О. В. 2010а. Селекция хищного клопа Orius laevigatus Fieb. на повышение плодовитости при разведении на растении-суккуленте Kalanchoe daigremontiana Hamet & Perrier. Вестник защиты растений 1: 52–56.
- Трапезникова О. В. 2010б. Оптимизация массового разведения клопов рода Orius. Защита и карантин растений 1: 48–49.
- Элов Э. С. 1976. Полужесткокрылые сем. Anthocoridae (Heteroptera) Средней Азии и Казахстана. Энтомологическое обозрение 55 (2): 369–380.
- Aukema B., Hermes D. 2009. Nieuwe en interessante Nederlandse wantsen III (Hemiptera: Heteroptera). Nederlandse Faunistische Mededelingen 31: 53–87.
- Aukema B., Loomans A. 2005. De wants Orius laevigatus in Nederland (Heteroptera: Anthocoridae). Nederlandse Faunistische Mededelingen 23: 125–127.
- Balanza V., Mendoza J. E., Bielza P. 2019. Variation in susceptibility and selection for resistance to imidacloprid and thiamethoxam in Mediterranean populations of Orius laevigatus. Entomologia Experimentalis et Applicata 167 (7): 626–635. https://doi.org/10.1111/eea.12813
- Balanza V., Mendoza J. E., Cifuentes D., Bielza P. 2021. Selection for resistance to pyrethroids in the predator Orius laevigatus. Pest Management Science 77 (5): 2539–2546. https://doi.org/10.1002/ps.6288
- Bielza P., Balanza V., Cifuentes D., Mendoza J. E. 2020. Challenges facing arthropod biological control: identifying traits for genetic improvement of predators in protected crops. Pest Management Science 76 (11): 3517–3526. https://doi.org/10.1002/ps.5857
- Farzaneh M. 2010. The faunistic survey of Orius species (Hemiptera: Anthocoridae) in Shiraz and Marvdasht region. In: M. Farzaneh, H. Ostovan, M. Haghani (eds). Natural Enemies and Biological Control. 19th Iranian Plant Protection Congress, 31 July — 3 August 2010. Tehran: Iranian Research Institute of Plant Protection, p. 144.
- Hoffmann A. A., Ross P. A. 2018. Rates and patterns of laboratory adaptation in (mostly) insects. Journal of Economic Entomology 111 (2): 501–509. https://doi.org/10.1093/jee/toy024
- Kruitwagen A., Beukeboom L. W., Wertheim B. 2018. Optimization of native biocontrol agents, with parasitoids of the invasive pest Drosophila suzukii as an example. Evolutionary Applications 11 (9): 1473–1497. https://doi.org/10.1111/eva.12648
- Pazyuk I. M., Binitskaya N. V. 2020. Laboratory assessment of the suitability of predatory bugs Orius laevigatus and Orius majusculus as natural enemies of seed potato pests in greenhouses. Plant Protection News 103 (4): 274–276. https://doi.org/10.31993/2308-6459-2020-103-4-13984
- Péricart J. 1972. Hémiptères. Anthocoridae, Cimicidae et Microphysidae de lʹOuest-Paléarctique. Faune de lʹEurope et du bassin méditarranéen. Vol. 7. Paris: Masson et Cie, 402 p.
- Péricart J. 1996. Fam. Anthocoridae. In: B. Aukema, Ch. Rieger (eds). Catalogue of the Heteroptera of the Palaearctic region. Vol. 2. Cimicomorpa I. Amsterdam: The Netherlands Entomological Society, p. 108–141.
- Schuldiner-Harpaz T., Coll M. 2022. Considering the geographic diversity of natural enemy traits in biological control: A quantitative approach using Orius predators as an example. Diversity 14 (11): 963.
- Sentis A., Hemptinne J. L., Magro A., Outreman Y. 2022. Biological control needs evolutionary perspectives of ecological interactions. Evolutionary Applications 15 (10): 1537–1554. https://doi.org/10.1111/eva.13457
- Sethuraman A., Janzen F. J., Weisrock D. W., Obrycki J. J. 2020. Insights from population genomics to enhance and sustain biological control of insect pests. Insects 11 (8): 462. https://doi.org/10.3390/insects11080462
- Thompson M. N., Medina R. F., Helms A. M., Bernal J. S. 2022. Improving natural enemy selection in biological control through greater attention to chemical ecology and host-associated differentiation of target arthropod pests. Insects 13 (2): 160. https://doi.org/10.3390/insects13020160
- Tommasini M. G., van Lenteren J. C. 2003. Occurrence of diapause in Orius laevigatus. Bulletin of Insectology 56 (2): 225–251.
- Van Lenteren J. C. [Интернет-документ] 2012. IOBC internet book of biological control [URL: https://www.iobc-global.org/publications_iobc_internet_book_of_biological_control.html]
- Van Lenteren J. C., Alomar O., Ravensberg W. J., Urbaneja A. 2020. Biological control agents for control of pests in greenhouses. In: M. L. Gullino, R. Albajes, P. C. Nicot (eds). Integrated Pest and Disease Management in Greenhouse Crops. Cham, Switzerland: Springer, p. 409–439.
- Venzon M., Janssen A., Sabelis M. W. 2002. Prey preference and reproductive success of the generalist predator Orius laevigatus. Oikos 97 (1): 116– 24. https://doi.org/10.1034/j.1600-0706.2002.970112.x
- Weintraub P. G., Pivonia S., Steinberg S. 2011. How many Orius laevigatus are needed for effective western flower thrips, Frankliniella occidentalis, management in sweet pepper? Crop Protection 30 (11): 1443–1448. https://doi.org/10.1016/j.cropro.2011.07.015
- Wright M. G., Bennett G. M. 2018. Evolution of biological control agents following introduction to new environments. BioControl 63: 105–116. https://doi.org/10.1007/s10526-017-9830-z
- Zuma M., Njekete C., Konan K. A. J., Bearez P., Amiens-Desneux E., Desneux N., Lavoir A.-V. 2023. Companion plants and alternative prey improve biological control by Orius laevigatus on strawberry. Journal of Pest Science 96 (2): 711–721. https://doi.org/10.1007/s10340-022-01570-9
Дополнительные файлы










