Effect of weather conditions during post-diapause development of black-veined white aporia crataegi l. (lepidoptera: pieridae) on the variation of wing venation
- Authors: Solonkin I.А.1, Zakharova E.Y.1, Shkurikhin А.О.1
-
Affiliations:
- Institute of Plant and Animal Ecology, Ural Branch, Russian Academy of Sciences
- Issue: No 6 (2024)
- Pages: 470-482
- Section: Articles
- URL: https://bakhtiniada.ru/0367-0597/article/view/272933
- DOI: https://doi.org/10.31857/S0367059724060072
- EDN: https://elibrary.ru/VYHDNK
- ID: 272933
Cite item
Full Text
Abstract
Abstract – The work studied the effects of air temperature and precipitation during the post-diapause development of preimaginal stages, as well as wing size, on the occurrence of deviations from normal wing venation in Aporia crataegi. Samples collected from a natural population in the southern Sverdlovsk region from 2013 to 2022 were analyzed. The occurrence of wing venation abnormalities was shown to be depend on weather conditions during the development of larvae and pupae in spring, as well as the size of the adults. Some variants were more frequent in years with cold and rainy springs, while the occurrence of others was not dependent on the weather. Certain wing venation abnormalities were more common in small adults, while others were more common in larger individuals. The results obtained indicate a variable degree of canalization and sensitivity of wing vein development in Aporia crataegi to the effects of environmental factors.
Full Text
Рост и морфогенез в настоящее время рассматриваются как самостоятельные, хотя и тесно связанные друг с другом процессы [1, 2]. Рост и размер насекомых зависят от внешних условий, особенно от питания личинок и температуры окружающей среды во время развития. В то же время морфогенез и дифференцировка традиционно считаются устойчивыми процессами, относительно независимыми от внешних факторов [1, 3–5]. Например, известно, что нехватка пищи в конце последнего личиночного возраста угнетает рост крыльев у табачного бражника Manduca sexta L., 1763 (Lepidoptera: Sphingidae) и нимфалиды Junonia coenia Hübner, 1822 (Lepidoptera: Nymphalidae), но не оказывает заметного эффекта на развитие жилок и крылового рисунка [6]. Однако наличие регуляторных взаимосвязей, координирующих процессы роста и развития, позволяет ожидать, что условия окружающей среды могут влиять не только на размер, но и на другие аспекты морфологии имаго. К настоящему времени накоплено множество примеров такого влияния. Хорошо известно явление адаптивного полифенизма, когда в зависимости от условий окружающей среды развивается одна из нескольких адаптивных морф [7–9]. Адаптивная пластичность особенно характерна для таких морфологических признаков, как форма крыла [10–12] и крыловой рисунок [7, 13–15]. Детально исследовано воздействие на организмы экстремальных условий, которое часто приводит к дестабилизации морфогенеза и реализации множественных отклонений от фенотипической нормы – фенодевиаций и морфозов [16–20]. Влияние неэкстремальных условий окружающей среды на морфологические признаки, пластичность которых не имеет очевидного адаптивного значения, изучено значительно слабее. В частности, остается неизвестным, влияют ли погодные условия во время преимагинального развития на жилкование крыльев имаго.
Отклонения от нормального жилкования (дополнительные разветвления жилок, лишние жилки, частичное или полное исчезновение присутствующих в норме жилок) известны у многих насекомых, в том числе у активно летающих видов [21–30]. Некоторые исследователи предполагают, что нарушения жилкования формируются вследствие случайных ошибок развития и могут служить маркерами его дестабилизации [31–34]. Данные других авторов указывают на неслучайный характер проявления этих отклонений и свидетельствуют о том, что некоторые из них возникают в результате реализации относительно устойчивых альтернативных путей морфогенеза [26, 28, 35].
В данной работе мы анализируем влияние погодных условий (температуры воздуха и количества осадков) во время развития преимагинальных стадий боярышницы Aporia crataegi (L., 1758) (Lepidoptera: Pieridae) на встречаемость отклонений от нормального жилкования крыльев. Рост гусениц чешуекрылых в периоды между линьками близок к экспоненциальному, в результате чего большую часть своей массы они набирают в течение последнего личиночного возраста [36, 37]. Развитие крыльев из имагинальных дисков, как правило, начинается в последнем личиночном возрасте и продолжается на стадиях предкуколки и куколки [38]. Поэтому мы не рассматриваем погодные условия во время развития гусениц боярышницы младших (I–III) возрастов, и сосредоточиваемся на температуре воздуха и количестве осадков во время постдиапаузного развития гусениц старших возрастов (IV–V) и куколок.
Влияние факторов окружающей среды на возникновение нарушений жилкования может быть как прямым, так и опосредованным через воздействие на рост крыла. Ранее было показано [39], что у боярышницы размеры крыльев зависят от температуры воздуха во время развития гусениц и куколок весной. В связи с этим мы оцениваем взаимосвязь между проявлением нарушений жилкования и размерами крыльев.
Мы проверяли две гипотезы: 1) встречаемость нарушений жилкования крыльев боярышницы зависит от размера крыльев; 2) встречаемость нарушений жилкования крыльев боярышницы зависит от погодных условий во время развития преимагинальных стадий весной.
МАТЕРИАЛ И МЕТОДЫ
Сбор и камеральная обработка материала. В работе использованы выборки имаго боярышницы, собранные в 2013–2022 гг. в окр. дер. Фомино (Свердловская область, Сысертский р-н, 56о36’ с. ш., 61о03’ в. д.). Район сбора материала расположен на территории Зауральской складчатой возвышенности, в таежной зоне, подзоне предлесостепных сосново-березовых лесов [40]. Имаго отлавливали на протяжении всего периода лёта генерации. Объем проанализированных выборок приведен в табл. 1.
Таблица 1. Объем проанализированных выборок и характеристика погодных условий во время развития преимагинальных стадий боярышницы весной в окр. дер. Фомино (2013–2022 гг.)
Год | Самцы | Самки | Температура, оC | Количество осадков, мм/день |
2013 | 264 | 271 | 12.9 | 2.4 |
2014 | 286 | 231 | 15.0 | 0.6 |
2015 | 359 | 366 | 14.4 | 2.5 |
2016 | 223 | 185 | 12.4 | 0.9 |
2017 | 526 | 285 | 11.5 | 1.6 |
2018 | 359 | 197 | 11.7 | 1.4 |
2019 | 521 | 369 | 13.9 | 1.5 |
2020 | 425 | 265 | 14.1 | 0.5 |
2021 | 407 | 380 | 13.6 | 0.4 |
2022 | 281 | 365 | 12.0 | 2.2 |
Крылья имаго препарировали и фотографировали с вентральной стороны фотоаппаратом Canon Eos 600D, высота и угол наклона которого были фиксированы с помощью штатива. Площадь переднего крыла измеряли, расставляя метки (landmarks) по контуру левого переднего крыла в программе tpsDig 2.32 [41]. Схема расстановки меток приведена на рис. 1. Площадь крыла рассчитывали в программе tpsUtil 1.81 [42] как площадь поверхности, ограниченную метками. Если левое переднее крыло отсутствовало или было повреждено, то метки расставляли на правом переднем крыле.
Рис. 1. Схема расстановки меток и поиска нарушений жилкования на крыльях боярышницы. Черными точками обозначены границы анализируемых жилок, красными крестиками – места расстановки меток, арабскими цифрами – номера ячеек крыла. Прерывистыми линиями выделены жилки, исключенные из анализа. Строчными буквами обозначены отдельные участки жилок: a – радиальный ствол (R stem); b – дистальная часть радиального ствола (R1–М1+R(4+5)); c – жилка M2–М1+R(4+5); d – жилка М1+R(4+5); e – жилка R(4+5); f – кубитальный ствол (Cu stem); g – дистальная часть кубитального ствола (Cu1–M3).
Учет нарушений жилкования. Нарушения жилкования искали, просматривая отпрепарированные крылья боярышницы с вентральной стороны под микроскопом МБС-10 (увеличение ×8). Нарушения учитывали отдельно на каждой жилке и в каждой ячейке крыла. Некоторые жилки были исключены из анализа (на рис. 1 они показаны прерывистой линией). В частности, жилку 2А заднего крыла пришлось исключить, поскольку она слабо выражена с вентральной стороны. Кроме того, мы не учитывали изменчивость слабо развитых поперечных жилок, замыкающих дискальную ячейку (между жилками M2 и М3), на переднем и заднем крыльях.
Нарушениями считали все возможные отклонения от нормального для боярышницы жилкования крыльев. В соответствии с ранее разработанной классификацией [28, 35] большинство нарушений жилкования были отнесены к четырем основным типам: I – дополнительное разветвление присутствующей в норме жилки (рис. 2а–в); II – дополнительная жилка, расположенная посреди ячейки крыла (рис. 2г); III – частичная или полная редукция присутствующей в норме жилки (рис. 2д); IV – частичное слияние двух присутствующих в норме жилок (рис. 2е). В отдельный тип (V) нами выделены нарушения, предположительно связанные с неполным срастанием медиальной жилки М1 и радиальной R(4+5). В первичном жилковании куколок эти жилки отделены друг от друга (рис. 3а). В дальнейшем при формировании дискальной ячейки медиальный ствол редуцируется, и жилка М1 на части своего протяжения соединяется с жилкой R(4+5), образуя в норме жилку М1+R(4+5) (рис. 3б). В некоторых случаях срастание этих жилок происходит не полностью (жилка М1+R(4+5) оказывается частично разделенной, рис. 3в, е), неправильно (частично сохраняется жилка, соединяющая М1 с М2, рис. 3г, ж) или отсутствует (рис. 3д, з).
Рис. 2. Основные типы нарушения жилкования крыльев боярышницы: а–в – дополнительные разветвления жилок (тип I): а – дополнительная ветвь направлена к переднему краю крыла, б – дополнительная ветвь направлена к заднему краю крыла, в – обе ветви разветвления развиты одинаково, среди них нельзя выделить основную и дополнительную; г – дополнительные жилки, расположенные внутри ячеек крыла (тип II); д – случаи редукции присутствующих в норме жилок (тип III); е – слияние присутствующих в норме жилок (тип IV). Прямоугольники указывают на местоположение соответствующих нарушений жилкования.
Рис. 3. Нарушения жилкования крыльев боярышницы, связанные с неполным срастанием медиальной жилки М1 и радиальной R(4+5) (тип V): а – жилкование крыльев белянок на стадии куколки [61]: жилка M1 (выделена красным) не срощена с жилкой R(4+5) и отходит от медиального ствола; б – нормальное жилкование имаго боярышницы: жилки M1 и R(4+5) образуют единую жилку M1+R(4+5) (ее границы обозначены черными точками); в–д – схематичные изображения нарушений жилкования, связанных с неполным срастанием жилок M1 и R(4+5); е–з – примеры соответствующих нарушений жилкования.
Дополнительные разветвления жилок (тип I) отличаются значительным разнообразием. В связи с этим они были разделены на подтипы по признаку направления дополнительной ветви. Дополнительной считали ту ветвь, которая выражена слабее и по расположению не соответствует присутствующей в норме жилке (см. рис. 2а, б). Разветвления, у которых дополнительная ветвь направлена к переднему (костальному) краю крыла, были отнесены к подтипу 1 (см. рис. 2а), а разветвления, у которых дополнительная ветвь направлена к заднему (анальному) краю крыла, – к подтипу 2 (см. рис. 2б). Случаи, когда две ветви расположены симметрично и одинаково развиты, были объединены в подтип 3 (см. рис. 2в).
Нарушение жилкования определенного типа и подтипа, расположенное в конкретном месте (на жилке или в ячейке) крыла, далее мы будем называть вариантом нарушения жилкования.
Некоторые варианты нарушений были исключены из дальнейшего анализа, поскольку в ряде случаев их было сложно отличить от состояния нормы. Так, мы не учитывали случаи редукции жилок M2–M1+R(4+5) на переднем и R1 на заднем крыльях. Кроме того, мы не рассматривали небольшие выросты, расположенные на поперечных жилках и обращенные внутрь дискальной ячейки, и расположенные внутри дискальной ячейки дополнительные жилки.
В соответствии с изложенной выше методикой можно выделить 165 вариантов нарушений жилкования крыльев, из которых в анализируемых выборках было обнаружено 103.
Характеристика погодных условий. Среднюю температуру и среднее количество осадков рассчитывали по данным метеостанции г. Екатеринбурга (56о50’ с. ш., 60о38’ в. д., в 36 км к северо-западу от окр. дер. Фомино) [43] за время постдиапаузного развития боярышницы (см. табл. 1). Согласно литературным данным [44–48], реактивация гусениц боярышницы после осенне-зимней диапаузы происходит при установлении среднесуточной температуры 6–9 оC. Началом постдиапаузного развития считали период со среднесуточной температурой выше 8 оC длительностью не менее 4 дней и отделенный от следующего такого периода промежутком не более 4 дней. Окончанием постдиапаузного развития считали день вылета первых имаго.
Статистический анализ данных. У 43% обследованных имаго обнаружили хотя бы одно отклонение от нормального жилкования. Как правило, нарушения встречались в небольшом количестве, и их число на одной особи не превышало 14. Только одно имаго из 6565 проанализированных имело необычно большое число нарушений (42) и в связи с этим было исключено из дальнейшего анализа.
Анализ данных проводили с помощью аппарата обобщенных линейных моделей со смешанными эффектами (generalized linear mixed models, GLMM), реализованного в пакете “glmmTMB” [49]. Для анализа суммарной встречаемости всех нарушений жилкования построили полную модель, в которую были включены следующие предикторы: пол, температура воздуха и количество осадков во время развития гусениц и куколок весной, площадь переднего крыла имаго и их взаимодействия второго и третьего порядков. Год взятия выборки учитывали как случайный фактор. Континуальные предикторы предварительно стандартизировали [50].
Для моделирования дискретных количественных величин могут использоваться разные статистические распределения. При выборе оптимального распределения строили следующие модели: с распределением Пуассона, обобщенным распределением Пуассона, отрицательным биномиальным распределением с линейной зависимостью дисперсии от среднего и отрицательным биномиальным распределением с квадратичной зависимостью дисперсии от среднего. Для каждой модели рассчитывали значение информационного критерия Акаике (AIC) [51, 52]. Лучшей (имеющей минимальную величину AIC) оказалась модель с обобщенным распределением Пуассона.
Затем проводили упрощение полной модели с выбранным типом распределения путем пошагового удаления взаимодействий третьего порядка. Параметры сравниваемых моделей оценивали методом максимального правдоподобия. Лучшей считали модель, величина AIC которой была минимальной. Параметры полученной таким образом итоговой модели оценивали методом ограниченного максимального правдоподобия (restricted maximum likelihood). Диагностику модели проводили путем анализа рандомизированных квантильных остатков с помощью пакета “DHARMa” [53]. Значимость регрессионных коэффициентов рассчитывали с помощью z-теста Вальда, их доверительные интервалы определяли по методу Вальда. Оценки регрессионных коэффициентов отдельно для самцов и самок были получены с помощью пакета “emmeans” [54].
Ранее было показано [35], что разные нарушения жилкования крыльев боярышницы существенно отличаются по закономерностям своего проявления. В связи с этим мы проанализировали не только суммарную встречаемость всех нарушений жилкования, но и встречаемость отдельных вариантов. Для дальнейшего анализа выбрали 20 наиболее часто встречающихся вариантов, которые в совокупности составляют более 82% всех обнаруженных нарушений.
Для анализа встречаемости отдельных вариантов нарушений жилкования была построена полная модель, которая включала следующие предикторы: пол, вариант нарушения жилкования, температура воздуха и количество осадков во время развития преимагинальных стадий весной, площадь переднего крыла имаго, а также их взаимодействия второго и третьего порядков. В качестве случайных факторов в модель были включены год взятия выборки и особь. Затем проводили выбор оптимального распределения и пошаговое упрощение модели в соответствии с описанной выше методикой. Лучшей (имеющей минимальную величину AIC) оказалась модель, использующая негативное биномиальное распределение с линейной зависимостью дисперсии от среднего.
Оценку и диагностику итоговой модели проводили так же, как и в случае анализа суммарной встречаемости всех нарушений жилкования. Значимость влияния предикторов оценивали с помощью теста χ2 Вальда (аналог дисперсионного анализа для обобщенных линейных моделей), реализованного в пакете “car” [55]. Регрессионные коэффициенты и их доверительные интервалы отдельно для каждого варианта нарушений были получены с помощью пакета “emmeans” [54]. Значимость регрессионных коэффициентов проверяли с учетом поправки на множественность сравнений Бенджамини–Хохберга.
Статистический анализ выполняли в программной среде R [56].
РЕЗУЛЬТАТЫ
Суммарная встречаемость всех нарушений жилкования статистически значимо зависит как от погодных условий (температуры воздуха и количества осадков) во время развития преимагинальных стадий весной, так и от площади переднего крыла (табл. 2). Отклонения от нормального жилкования чаще встречаются у самок с мелкими крыльями, у самцов эта закономерность отсутствует (см. табл. 2 и рис. 4а). Нарушения встречаются чаще в годы с холодной весной (эта закономерность значима только у самок, а у самцов присутствует в виде статистически незначимой тенденции) и с бо́льшим количеством осадков (рис. 4б, в).
Рис. 4. Встречаемость нарушений жилкования крыльев боярышницы в зависимости от площади переднего крыла (а), температуры воздуха (б) и количества осадков (в) во время развития преимагинальных стадий весной. На двух нижних графиках размер кругов пропорционален доле особей с данным количеством нарушений жилкования в выборке за год. Самцы обозначены синим цветом, самки – красным.
Таблица 2. Результаты анализа (GLMM) суммарной встречаемости нарушений жилкования крыльев боярышницы
Предиктор | Регрессионный коэффициент и 95%-ные доверительные интервалы (нижний – верхний) | Статистика z | p |
Свободный член | –0.30 (–0.46… –0.14) | –3.62 | <0.001 |
Пол (самцы) | 0.11 (0.02–0.21) | 2.44 | 0.015 |
Температура (самки) | –0.18 (–0.32… –0.04) | –2.59 | 0.010 |
Температура (самцы) | –0.11 (–0.24–0.02) | –1.65 | 0.100 |
Количество осадков (самки) | 0.23 (0.05–0.40) | 2.52 | 0.012 |
Количество осадков (самцы) | 0.21 (0.04–0.38) | 2.38 | 0.017 |
Площадь переднего крыла (самки) | –0.07 (–0.14… –0.01) | –2.41 | 0.016 |
Площадь переднего крыла (самцы) | 0.04 (–0.02–0.11) | 1.25 | 0.213 |
Пол × температура | 0.07 (–0.01–0.15) | 1.68 | 0.094 |
Пол × количество осадков | –0.03 (–0.13–0.07) | –0.55 | 0.581 |
Пол × площадь переднего крыла | 0.11 (0.03–0.20) | 2.60 | 0.009 |
Температура × количество осадков | –0.03 (–0.20–0.14) | –0.30 | 0.764 |
Температура × площадь переднего крыла | 0.04 (0.00–0.08) | 2.17 | 0.030 |
Количество осадков × площадь переднего крыла | –0.02 (–0.07–0.03) | –0.68 | 0.498 |
Пол × температура × количество осадков | 0.13 (0.03–0.22) | 2.62 | 0.009 |
Температура × количество осадков × площадь переднего крыла | 0.08 (0.03–0.13) | 3.14 | 0.002 |
Все анализируемые предикторы (температура воздуха, количество осадков и площадь переднего крыла) статистически значимо влияют на встречаемость отдельных вариантов нарушений (табл. 3).
Таблица 3. Результаты анализа (GLMM, тест χ2 Вальда) встречаемости отдельных вариантов нарушений жилкования крыльев боярышницы
Предиктор | χ2 Вальда | df | p |
Свободный член | 2055.06 | 1 | <0.001 |
Вариант нарушения жилкования | 1266.40 | 19 | <0.001 |
Пол | 4.94 | 1 | 0.026 |
Температура | 10.18 | 1 | 0.001 |
Количество осадков | 6.77 | 1 | 0.009 |
Площадь переднего крыла | 5.12 | 1 | 0.024 |
Вариант нарушения жилкования × пол | 157.94 | 19 | <0.001 |
Вариант нарушения жилкования × температура | 92.65 | 19 | <0.001 |
Вариант нарушения жилкования × количество осадков | 82.18 | 19 | <0.001 |
Вариант нарушения жилкования × площадь переднего крыла | 132.22 | 19 | <0.001 |
Пол × температура | 3.86 | 1 | 0.049 |
Пол × количество осадков | 1.10 | 1 | 0.294 |
Пол × площадь переднего крыла | 0.27 | 1 | 0.601 |
Температура × количество осадков | 0.63 | 1 | 0.428 |
Температура × площадь переднего крыла | 0.45 | 1 | 0.501 |
Количество осадков × площадь переднего крыла | 0.49 | 1 | 0.485 |
Вариант нарушения жилкования × пол × количество осадков | 49.33 | 19 | <0.001 |
Вариант нарушения жилкования × пол × площадь переднего крыла | 46.64 | 19 | <0.001 |
Вариант нарушения жилкования × температура × количество осадков | 66.04 | 19 | <0.001 |
Пол × температура × количество осадков | 3.08 | 1 | 0.079 |
Температура × количество осадков × площадь переднего крыла | 8.04 | 1 | 0.005 |
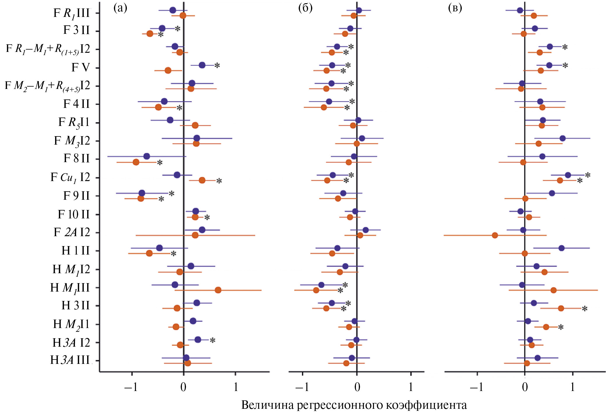
Разные варианты нарушений по-разному зависят от площади переднего крыла (рис. 5а). Дополнительные жилки в ячейках № 3, 4, 8, 9 переднего крыла и в ячейке № 1 заднего крыла чаще встречаются у самцов и самок с мелкими крыльями (в выборках самцов эта тенденция выражена слабее и в ряде случаев статистически незначима). Дополнительные жилки в ячейке № 10 и дополнительные разветвления жилки Cu1 переднего крыла чаще встречаются у крупных самок, дополнительные разветвления жилки 3A заднего крыла и случаи неполного слияния жилок M1 и R(4+5) переднего крыла – у крупных самцов. Встречаемость остальных нарушений жилкования не зависит от размера крыла.
Рис. 5. Регрессионные коэффициенты (± 95%-ные доверительные интервалы), характеризующие влияние площади переднего крыла (а), температуры воздуха (б) и количества осадков (в) во время постдиапаузного развития боярышницы на встречаемость отдельных вариантов нарушений жилкования крыльев. Названия вариантов нарушений жилкования: F – переднее крыло, H – заднее; номера ячеек и названия жилок приведены в соответствии с рис. 1. Римскими цифрами (I–V) обозначен тип нарушения жилкования, арабскими (1–3) – подтип. Самцы обозначены синим, самки – красным; * – регрессионные коэффициенты значимо (p < 0.05) отличаются от нуля с учетом поправки Бенджамина–Хохберга.
Дополнительные разветвления жилок R1–М1+R(4+5), M2–М1+R(4+5) и Cu1 переднего крыла, дополнительные жилки в ячейках № 4 переднего крыла и № 3 заднего крыла, случаи редукции жилки М1 заднего крыла и неполного слияния жилок M1 и R(4+5) переднего крыла встречаются чаще в годы с холодной весной (рис. 5б). Такая же, но статистически незначимая тенденция характерна для дополнительных жилок, расположенных в ячейках № 3 и № 9 переднего крыла и в ячейке № 1 заднего крыла (выражена только у самок). Встречаемость остальных нарушений не зависит от температуры воздуха во время постдиапаузного развития.
Количество осадков не оказывает статистически значимого влияния на встречаемость большинства вариантов нарушения жилкования. Исключение составляют дополнительные разветвления жилок R1–М1+R(4+5) и Cu1 переднего крыла, жилки M2 заднего крыла; дополнительные жилки в ячейке № 3 заднего крыла (последние два варианта – только у самок), а также случаи неполного слияния жилок M1 и R(4+5) (только у самцов). Все эти варианты отклонений встречаются значимо чаще в годы с дождливой весной (рис. 5в). Сходная тенденция на границе статистической значимости характерна для дополнительных разветвлений жилки M3 переднего крыла и дополнительных жилок в ячейке № 1 заднего крыла (выражена только у самцов).
ОБСУЖДЕНИЕ
Полученные результаты подтверждают гипотезу о том, что у боярышницы вероятность возникновения некоторых нарушений жилкования зависит от размера крыльев. Большинство вариантов дополнительных жилок встречается преимущественно у мелких имаго. Ранее было показано [35], что для таких нарушений характерно совместное и симметричное проявление на одной особи. Можно предположить, что формирование дополнительных жилок в ячейках крыла у мелких имаго связано с недостаточным питанием гусениц. Известно, что нормальный рост и развитие крыльев чешуекрылых определяются балансом гормонов – инсулиноподобного фактора роста и экдизона. Инсулиноподобный пептид стимулирует синтез белка преимущественно в ячейках крыла, в то время как экдизон и в жилках, и между ними [57]. Дефицит питательных веществ приводит к снижению выработки инсулина [6]. Возможно, что низкая концентрация инсулина недостаточна для нормального развития участков между жилками и способствует формированию дополнительных жилок посреди ячеек крыла.
Некоторые нарушения жилкования, наоборот, чаще встречаются у крупных имаго. Известно, что у боярышницы крупные имаго вылетают раньше и растут быстрее мелких [58]. Предполагается, что высокая скорость роста может сопровождаться дестабилизацией процессов развития [59, 60], что и приводит к увеличению вероятности возникновения нарушений жилкования у крупных имаго. Однако, согласно полученным результатам, к дестабилизирующему эффекту скорости роста чувствительно развитие лишь некоторых жилок. Например, два таких нарушения (дополнительные жилки в ячейке № 10 и случаи неполного слияния жилок M1 и R(4+5) переднего крыла) являются рудиментами куколочного жилкования (см. рис. 3а) [61]. Их проявление может быть обусловлено неполным завершением процессов развития жилкования крыла у крупных быстро растущих особей.
Гипотеза о зависимости встречаемости нарушений жилкования от погодных условий во время постдиапаузного развития также подтвердилась. Известно, что погодные условия влияют на размеры крыльев чешуекрылых [62–64]. В частности, у боярышницы крылья крупнее в годы с теплой весной [39]. Мы предполагали, что погодные условия влияют на вероятность формирования нарушений жилкования крыльев не прямо, а опосредованно – через изменение темпов и продолжительности роста. Однако в таком случае изменчивость количества нарушений жилкования полностью объяснялась бы изменчивостью размеров крыла, а влияние погодных условий было бы незначимым. Поскольку полученные результаты это не подтверждают, то влияние погодных условий на встречаемость нарушений жилкования не сводится к изменчивости размеров крыла.
Морфогенез и дифференцировка жилок крыла рассматриваются как относительно устойчивые и независимые от воздействия внешних факторов (т. е. канализованные) процессы [4, 6]. Многочисленные примеры влияния условий окружающей среды на форму крыла, крыловой рисунок и другие морфологические признаки чешуекрылых в большинстве случаев касаются устойчивых модификаций, сформированных отбором [7, 8, 10, 14, 65 и др.]. Формирование нарушений жилкования крыла едва ли может быть адаптивной реакцией на изменение условий развития. Более вероятно, что высокая частота проявления нарушений является результатом относительно низкой канализованности процессов морфогенеза и дифференцировки жилок крыла у боярышницы. Низкая канализованность развития, как правило, характерна для признаков, слабо влияющих на приспособленность [66]. По-видимому, нарушения жилкования крыльев не оказывают значительного эффекта на приспособленность имаго боярышницы. На это указывает сравнительно высокая частота встречаемости отклонений от нормального жилкования в природных популяциях боярышницы.
В годы с холодной и дождливой весной не происходит общей дестабилизации процессов морфогенеза жилок: отдельные варианты нарушений жилкования крыльев встречаются чаще, в то время как проявление других не зависит от погодных условий. Ранее мы показали [28, 35], что на разных жилках у боярышницы устойчиво реализуются определенные варианты отклонений от нормального жилкования. Таким образом, процессы развития разных жилок относительно самостоятельны и в разной степени чувствительны к воздействию экологических факторов.
ЗАКЛЮЧЕНИЕ
Тестируемые в нашей работе гипотезы о влиянии погодных условий во время постдиапаузного развития преимагинальных стадий и размеров крыла на встречаемость нарушений жилкования крыльев у боярышницы подтвердились. Хотя считается, что морфогенез и дифференцировка жилок крыльев насекомых относительно устойчивы и независимы от воздействия внешних факторов, полученные результаты свидетельствуют о сравнительно низкой канализованности этих процессов у исследованного вида. При этом развитие отдельных жилок оказалось в разной степени чувствительно к влиянию погодных условий и по-разному зависело от размеров крыла. Остается неизвестным и требует дальнейшего изучения вопрос, насколько широко такая неадаптивная или нейтральная пластичность жилкования распространена среди активно летающих насекомых.
Финансирование работы
Данная работа финансировалась за счет средств бюджета Института экологии растений и животных УрО РАН (проект № 122021000091-2). Дополнительных грантов на проведение или руководство данным конкретным исследованием получено не было.
Соблюдение этических стандартов
Сбор и анализ беспозвоночных проводился с одобрения комиссии по биоэтике Института экологии растений и животных УрО РАН (протокол № 14 от 12.05.2023).
Конфликт интересов
Авторы данной работы заявляют, что у них нет конфликта интересов.
About the authors
I. А. Solonkin
Institute of Plant and Animal Ecology, Ural Branch, Russian Academy of Sciences
Author for correspondence.
Email: igorsolonkin@yandex.ru
Russian Federation, Ekaterinburg
E. Yu. Zakharova
Institute of Plant and Animal Ecology, Ural Branch, Russian Academy of Sciences
Email: igorsolonkin@yandex.ru
Russian Federation, Ekaterinburg
А. О. Shkurikhin
Institute of Plant and Animal Ecology, Ural Branch, Russian Academy of Sciences
Email: igorsolonkin@yandex.ru
Russian Federation, Ekaterinburg
References
- Mirth C.K., Shingleton A.W. Coordinating development: how do animals integrate plastic and robust developmental processes? // Front. Cell Dev. Biol. 2019. V. 7. Art. 8.
- Alves A.N., Oliveira M.M., Koyama T. et al. Ecdysone coordinates plastic growth with robust pattern in the developing wing // eLife. 2022. V. 11. Art. e72666.
- Nijhout H.F., Grunert L.W. The cellular and physiological mechanism of wing-body scaling in Manduca sexta // Science. 2010. V. 330. № 6011. P. 1693–1695.
- Chauhan N., Shrivastava N.K., Agrawal N., Shakarad M.N. Wing patterning in faster developing Drosophila is associated with high ecdysone titer and wingless expression // Mech. Dev. 2020. V. 163. Art. 103626.
- Mirth C.K., Saunders T.E., Amourda C. Growing up in a changing world: environmental regulation of development in insects // Annu. Rev. Entomol. 2021. V. 66. P. 81–99.
- McKenna K.Z., Tao D., Nijhout H.F. Exploring the role of insulin signaling in relative growth: a case study on wing-body scaling in Lepidoptera // Integr. Comp. Biol. 2019. V. 59. № 5. P. 1324–1337.
- Brakefield P.M., Frankino W.A. Polyphenisms in Lepidoptera: Multidisciplinary approaches to studies of evolution and development // Phenotypic plasticity of insects: mechanisms and consequences / Eds. Whitman D.W., Ananthakrishnan T. N. Enfield: Science Publ., 2009. P. 337–368.
- Simpson S.J., Sword G.A., Lo N. Polyphenism in insects // Curr. Biol. 2011. V. 21. № 18. P. R738–R749.
- Richard G., Jaquiéry J., Le Trionnaire G. Contribution of epigenetic mechanisms in the regulation of environmentally-induced polyphenism in insects // Insects. 2021. V. 12. № 7. Art. 649.
- Frazier M.R., Harrison J.F., Kirkton S.D., Roberts S.P. Cold rearing improves cold-flight performance in Drosophila via changes in wing morphology // J. Exp. Biol. 2008. V. 211. № 13. P. 2116–2122.
- Fraimout A., Jacquemart P., Villarroel B. et al. Phenotypic plasticity of Drosophila suzukii wing to developmental temperature: implications for flight // J. Exp. Biol. 2018. V. 221. № 13. Art. jeb166868.
- Rohner P.T., Roy J., Schäfer M.A. et al. Does thermal plasticity align with local adaptation? An interspecific comparison of wing morphology in sepsid flies // J. Evolution. Biol. 2019. V. 32. № 5. P. 463–475.
- Solensky M.J., Larkin E. Temperature-induced variation in larval coloration in Danaus plexippus (Lepidoptera: Nymphalidae) // Ann. Entomol. Soc. Am. 2003. V. 96. № 3. P. 211–216.
- Stoehr A.M., Goux H. Seasonal phenotypic plasticity of wing melanisation in the cabbage white butterfly, Pieris rapae L. (Lepidoptera: Pieridae) // Ecol. Entomol. 2008. V. 33. № 1. P. 137–143.
- Sourakov A. Temperature-dependent phenotypic plasticity in wing pattern of Utetheisa ornatrix bella (Erebidae, Arctiinae) // Trop. Lepid. Res. 2015. V. 25. № 1. P. 34–45.
- Шмальгаузен И.И. Факторы эволюции: теория стабилизирующего отбора. М.: Наука, 1968. 452 c.
- Vermeulen A.C. Elaborating chironomid deformities as bioindicators of toxic sediment stress: the potential application of mixture toxicity concepts // Ann. Zool. Fennici. 1995. V. 32. P. 265–285.
- Imasheva A.G., Loeschcke V., Zhivotovsky L.A., Lazebny O.E. Effects of extreme temperatures on phenotypic variation and developmental stability in Drosophila melanogaster and Drosophila buzzatii // Biol. J. Linn. Soc. 1997. V. 61. № 1. P. 117–126.
- Polak M., Tomkins J.L. Developmental instability as phenodeviance in a secondary sexual trait increases sharply with thermal stress // J. Evolution. Biol. 2012. V. 25. № 2. P. 277–287.
- Zhu X., Xu X., Zhou S. et al. Low temperature exposure (20оC) during the sealed brood stage induces abnormal venation of honey bee wings // J. Apicult. Res. 2018. V. 57. № 3. P. 458–465.
- Yablokov A.V., Eatin V. J., Pritikina L.N. Variability of wing venation of the dragonfly // Beitrage zur Entomologie. 1970. V. 5. № 6. P. 503–526.
- Орлов Л.М. Жилкование крыла златоглазки Chrysopa adspersa Wesm. (Chrysopidae, Neuroptera) как модель микроэволюционных исследований // Журн. общ. биол. 1975. Т. 35. № 6. С. 902–913.
- Фролов А.Н. Влияние характера питания на изменчивость жилкования крыла у бабочек кукурузного мотылька // Экология. 1983. Т. 14. №1. С. 87–88.
- Козлов М.В. Функциональная морфология крыльев и изменчивость их жилкования у низших чешуекрылых (Lepidoptera: Micropterigidae – Tischeriidae) // Журн. общ. биол. 1987. Т. 48. № 2. С. 238–247.
- Perfil’eva K.S. Wing venation anomalies in sexual individuals of ants (Hymenoptera, Formicidae) with different strategies of mating behavior // Entomol. Rev. 2000. V. 80. № 9. С. 1181–1188.
- Łopuch S., Tofilski A. The relationship between asymmetry, size and unusual venation in honey bees (Apis mellifera) // Bull. Entomol. Res. 2016. V. 106. № 3. P. 304–313.
- Eligül H., Koca A.Ö., Kandemir İ. Forewing deformations in Turkish honey bee populations // Uludag Bee Journal. 2017. V. 17. № 2. P. 72–81.
- Солонкин И.А., Захарова Е.Ю., Шкурихин А.О., Ослина Т.С. Классификация и закономерности проявления нарушений жилкования крыльев белянок (Lepidoptera: Pieridae) на примере боярышницы Aporia crataegi L. // Евразиатский энтомол. журн. 2017. Т. 16. № 6. С. 579–589.
- Gülmez Y. Teratology in the solitary wasp family Sphecidae (Insecta: Hymenoptera) // Biologia. 2019. V. 74. № 10. P. 1349–1357.
- Can İ. Wing venation abnormalities in the solitary wasp family Crabronidae (Insecta: Hymenoptera) // J. Entomol. Res. Soc. 2022. V. 24. № 2. P. 219–232.
- Ross K.G., Robertson J.L. Developmental stability, heterozygosity, and fitness in two introduced fire ants (Solenopsis invicta and S. richteri) and their hybrid // Heredity. 1990. V. 64. № 1. P. 93–103.
- Clarke G.M. Patterns of developmental stability of Chrysopa perla L. (Neuroptera: Chrysopidae) in response to environmental pollution // Environ. Entomol. 1993. V. 22. № 6. P. 1362–1366.
- Smith D.R., Crespi B.J., Bookstein F.L. Fluctuating asymmetry in the honey bee, Apis mellifera: effects of ploidy and hybridization // J. Evolution. Biol. 1997. V. 10. № 4. P. 551–574.
- Padró J., Carreira V., Corio C. et al. Host alkaloids differentially affect developmental stability and wing vein canalization in cactophilic Drosophila buzzatii // J. Evolution. Biol. 2014. V. 27. № 12. P. 2781–2797.
- Solonkin I.A., Zakharova E.Yu., Shkurikhin A.O. Wing venation abnormalities in the black-veined white Aporia crataegi L. (Lepidoptera, Pieridae): insight in terms of modern phenetics // Entomol. Rev. 2021. V. 101. № 6. P. 778–791.
- Tammaru T., Esperk T. Growth allometry of immature insects: larvae do not grow exponentially // Funct. Ecol. 2007. V. 21. № 6. P. 1099–1105.
- Grunert L.W., Clarke J.W., Ahuja C. et al. A quantitative analysis of growth and size regulation in Manduca sexta: the physiological basis of variation in size and age at metamorphosis // PlOS One. 2015. V. 10. № 5. Art. e0127988.
- Nijhout H.F., Cinderella M., Grunert L.W. The development of wing shape in Lepidoptera: mitotic density, not orientation, is the primary determinant of shape // Evol. Dev. 2014. V. 16. № 2. P. 68–77.
- Solonkin I.A., Shkurikhin A.O., Oslina T.S., Zakharova E.Y. Changes in the body size of black-veined white, Aporia crataegi (Lepidoptera: Pieridae), recorded in a natural population in response to different spring weather conditions and at different phases of an outbreak // Eur. J. Entomol. 2021. V. 118. P. 214–224.
- Куликов П.В., Золотарева Н.В., Подгаевская Е.Н. Эндемичные растения Урала во флоре Свердловской области. Екатеринбург: Гощицкий, 2013. 610 с.
- Rohlf F.J. TpsDig Version 2.32. 2021. URL: http://sbmorphometrics.org
- Rohlf F.J. TpsUtil Version 1.81. 2021. URL: http://sbmorphometrics.org
- Погода и климат. URL: http://www.pogodaiklimat.ru/monitor.php?id=28440
- Blunck H., Wilbert H. Der Baumweißling Aporia crataegi (L.) (Lep., Pieridae) und sein Massenwechsel // Zeitschrift für angewandte Entomologie. 1962. V. 50. № 1/4. P. 166–221.
- Тураев Н.С. Паразиты и их роль в подавлении массового размножения боярышницы // Труды Свердловского СХИ. 1964. Т. 11. C. 331–335.
- Надзор, учет и прогноз массовых размножений хвое- и листогрызущих насекомых в лесах СССР / Ред. Ильинский А.И., Тропин И.В. М.: Лесная промышленность, 1965. 524 с.
- Бабенко З.С. Насекомые-фитофаги плодовых и ягодных растений лесной зоны Приобья. Томск: Изд-во Томского ун-та, 1982. 270 с.
- Осипенко Т.И. Листогрызущие чешуекрылые-вредители яблони (листовертки, боярышница) и биологическое обоснование мер борьбы с ними в условиях Центральной степи Украины: Автореф. дис… канд. биол. наук. Умань, 1984. 15 с.
- Brooks M.E., Kristensen K., van Benthem K.J. et al. glmmTMB: balances speed and flexibility among packages for zero-inflated generalized linear mixed modeling // The R Journal. 2017. V. 9. № 2. P. 378–400.
- Schielzeth H. Simple means to improve the interpretability of regression coefficients // Methods Ecol. Evol. 2010. V. 1. № 2. P. 103–113.
- Ver Hoef J.M., Boveng P.L. Quasi‐Poisson vs. negative binomial regression: how should we model overdispersed count data? // Ecology. 2007. V. 88. № 11. P. 2766–2772.
- Lindén A., Mäntyniemi S. Using the negative binomial distribution to model overdispersion in ecological count data // Ecology. 2011. V. 92. № 7. P. 1414–1421.
- Hartig F. DHARMa: Residual Diagnostics for Hierarchical (Multi-Level / Mixed) Regression Models. R package version 0.4.6. 2022. URL: https://CRAN.R-project.org/package=DHARMa
- Lenth R.V. Estimated Marginal Means, aka Least-Squares Means. R package version 1.8.8. 2023. URL: https://CRAN.R-project.org/package=emmeans
- Fox J., Weisberg S. An R Companion to Applied Regression. 2019. URL: https://socialsciences.mcmaster.ca/jfox/Books/Companion/
- R Core Team. R: A language and environment for statistical computing. Vienna: R Foundation for Statistical Computing. 2023. URL: https://www.R-project.org/
- Nijhout H.F., Laub E., Grunert L.W. Hormonal control of growth in the wing imaginal disks of Junonia coenia: the relative contributions of insulin and ecdysone // Development. 2018. V. 145. № 6. Art. dev160101.
- Шкурихин А.О., Захарова Е.Ю., Ослина Т.С., Солонкин И.А. Изменчивость морфофизиологических признаков самцов и самок Aporia crataegi L. (Lepidoptera: Pieridae) в зависимости от времени вылета имаго // Экология. 2018. № 4. С. 325–330. [Shkurikhin A.O., Zakharova E.Y., Oslina T.S., Solonkin I.A. Variation in morphophysiological traits of male and female Aporia crataegi L. (Lepidoptera: Pieridae) depending on the timing of adult emergence // Russ. J. of Ecology. 2018. V. 49. № 4. P. 356–361]. doi: 10.1134/S1067413618040124
- Arendt J.D. Adaptive intrinsic growth rates: an integration across taxa // Quart. Rev. Biol. 1997. V. 72. № 2. P. 149–177.
- De Block M., Campero M., Stoks R. Developmental costs of rapid growth in a damselfly // Ecol. Entomol. 2008. V. 33. № 2. P. 313–318.
- Yata O. Comparative morphology of the pupal forewing tracheation in some Japanese species of the family Pieridae (Lepidoptera) // Kontyû. 1981. V. 49. № 2. P. 245–257.
- Fischer K., Karl I. Exploring plastic and genetic responses to temperature variation using copper butterflies // Clim. Res. 2010. V. 43. № 1/2. P. 17–30.
- Gibbs M., Wiklund C., Van Dyck H. Temperature, rainfall and butterfly morphology: does life history theory match the observed pattern? // Ecography. 2011. V. 34. № 2. P. 336–344.
- Wilson R.J., Brooks S.J., Fenberg P.B. The influence of ecological and life history factors on ectothermic temperature–size responses: Analysis of three Lycaenidae butterflies (Lepidoptera) // Ecol. Evol. 2019. V. 9. № 18. P. 10305–10316.
- Whitman D.W., Agrawal A.A. What is phenotypic plasticity and why is it important // Phenotypic plasticity of insects: mechanisms and consequences / Eds. Whitman D.W., Ananthakrishnan T. N. Enfield: Science Publ., 2009. P. 1–63.
- Stearns S.C., Kaiser M., Kawecki T.J. The differential genetic and environmental canalization of fitness components in Drosophila melanogaster // J. Evolution. Biol. 1995. V. 8. № 5. P. 539–557.
Supplementary files







