Тяжелые металлы в листьях березы в период сокращения выбросов крупного медеплавильного завода
- Авторы: Бельская Е.А.1, Замшина Г.А.1
 - 
							Учреждения: 
							
- Институт экологии растений и животных УрО РАН
 
 - Выпуск: № 6 (2023)
 - Страницы: 446-452
 - Раздел: Статьи
 - URL: https://bakhtiniada.ru/0367-0597/article/view/232842
 - DOI: https://doi.org/10.31857/S0367059723060112
 - EDN: https://elibrary.ru/VCHTDF
 - ID: 232842
 
Цитировать
Полный текст
Аннотация
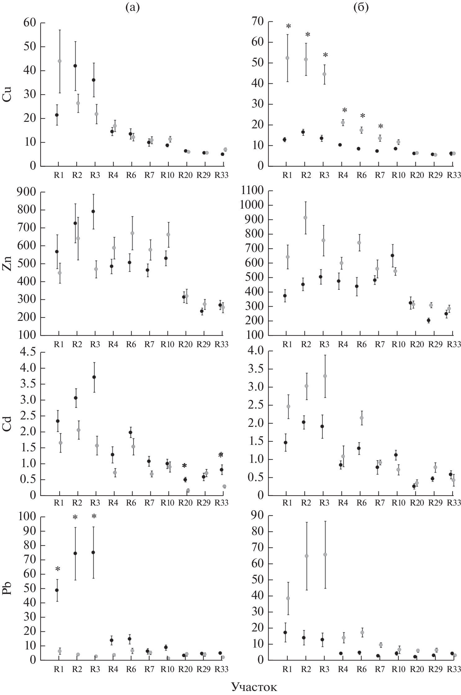
Проанализированы концентрации тяжелых металлов Cu, Zn, Cd и Pb в листьях Betula pubescens на 10 участках вдоль градиента загрязнения выбросами Среднеуральского медеплавильного завода. Исследования проведены в период умеренных выбросов (2009 г.) и после их сокращения до минимума (2019 г.). Образцы листьев собраны в начале и конце лета. Сильная отрицательная корреляция с расстоянием до завода отмечена у Cu и Cd. Межгодовые различия наиболее выражены у Pb, концентрация которого существенно снизилась в 2019 г. на ближайших к заводу участках по сравнению с 2009 г. В годы исследования концентрации металлов в листьях увеличивались к концу периода вегетации.
Ключевые слова
Об авторах
Е. А. Бельская
Институт экологии растений и животных УрО РАН
														Email: belskaya@ipae.uran.ru
				                					                																			                												                								Россия, 620144, Екатеринбург, ул. 8 Марта, 202						
Г. А. Замшина
Институт экологии растений и животных УрО РАН
							Автор, ответственный за переписку.
							Email: belskaya@ipae.uran.ru
				                					                																			                												                								Россия, 620144, Екатеринбург, ул. 8 Марта, 202						
Список литературы
- Everett J.L., Day C.L., Reynolds D. Comparative survey of lead at selected sites in the British Isles in relation to air pollution // Food Cosmet. Toxicol. 1967. V. 5. P. 29−35.
 - Weiss P., Offenthaler I., Öhlinger R., Wimmer J. Higher plants as accumulative bioindicators // Bioindicators and biomonitors, principles, concepts and applications / Eds. Markert B.A., Breure A.M., Zechmeister H.G. Amsterdam: Elsevier, 2003. P. 465–500. https://doi.org/10.1016/S0927-5215(03)80143-1
 - Tomašević M., Aničić M., Jovanović Lj. et al. Deciduous tree leaves in trace elements biomonitoring: A contribution to methodology // Ecol. Indicators. 2011. V. 11. P. 1689–1695. https://doi.org/10.1016/j.ecolind.2011.04.017
 - Hoodaji M., Ataabadi M., Najafi P. Biomonitoring of airborne heavy metal contamination // Air pollution – monitoring, modelling, health and control / Ed. Khare M. Rijeka: InTechOpen, 2012. P. 97–122.
 - Есенжолова А.Ж., Панин Н.С. Биоиндикационная способность листьев древесных и кустарниковых насаждений для оценки загрязнения среды тяжелыми металлами в зоне действия металлургического комплекса // Экология и промышленность России. 2013. № 7. С. 49–53.
 - Little P. A study of heavy metal contamination of leaf surfaces // Environ. Pollut. 1973. V. 5. № 3. P. 159–172. https://doi.org/10.1016/0013-9327(73)90085-2
 - Лицуков С.Д., Акинчин А.В. Транслокация тяжелых металлов в системе почва—растение. Белгород: Изд-во БелГСХА, 2013. 201 с.
 - Коротеева Е.В., Веселкин Д.В., Кудрявцева Н.Б. и др. Накопление тяжелых металлов в разных органах березы повислой возле Карабашского медеплавильного комбината // Агрохимия. 2015. № 3. С. 88–96.
 - Медведев И.Ф., Деревягин С.С. Тяжелые металлы в экосистемах. Саратов: Ракурс, 2017. 178 с.
 - Kozlov M.V., Haukioja E., Bakhtiarov A.V., Stroganov D.N. Heavy metals in birch leaves around a nickel-copper smelter at Monchegorsk, Northwestern Russia // Environ Pollut. 1995. V. 90. №3. P. 291–299. https://doi.org/10.1016/0269-7491(95)00027-O
 - Ветчинникова Л.В., Кузнецова Т.Ю., Титов А.Ф. Особенности накопления тяжелых металлов в листьях древесных растений на урбанизированных территориях в условиях севера // Труды КарНЦ РАН. 2013. № 3. С. 68–73.
 - Zakrzewska M., Klimek B. Trace element concentrations in tree leaves and lichen collected along a metal pollution gradient near Olkusz (Southern Poland) // Bull. Hist. Chem. 2018. V. 100. P. 245–249. https://doi.org/10.1007/s00128-017-2219-y
 - Heliövaara K., Väisänen R. Air pollution levels and abundance of forest insects // Acidification in Finland / Eds. Kauppi K. et al. Berlin: Springer, 1990. P. 447–467.
 - Koricheva J., Haukioja E. Effects of air pollution on host plant quality, individual performance, and population density of Eriocrania miners (Lepidoptera: Eriocraniidae) // Environ. Entomol. 1992. V. 21. № 6. P. 1386–1392. https://doi.org/10.1093/ee/21.6.1386
 - Ruohomaki K., Kaitaniemi P., Kozlov M. et al. Density and performance of Epirrita autumnata (Lepidoptera: Geometridae) along three air pollution gradients in northern Europe // J. Appl. Ecol. 1996. V. 33. № 4. P. 773–785. https://doi.org/10.2307/2404947
 - Kozlov M.V., Zvereva E.L., Zverev V.E. Impacts of point polluters on terrestrial biota. Berlin etc.: Springer, 2009. 466 p. https://doi.org/10.1007/978-90-481-2467-1
 - Бельская Е.А., Воробейчик Е.Л. Реакция филлофагов осины на выбросы Среднеуральского медеплавильного завода // Экология. 2013. № 2. С. 99–109. [Belskaya E.A., Vorobeichik E.L. Responses of leaf-eating insects feeding on aspen to emissions from the Middle Ural copper smelter // Russ. J. Ecol. 2013. V. 44. № 2. P. 108−117.] https://doi.org/10.1134/S1067413613020045
 - Бельская Е.А., Воробейчик Е.Л. Изменение трофической активности филлофагов березы в градиенте загрязнения выбросами Среднеуральского медеплавильного завода // Сиб. экол. журн. 2015. № 3. С. 486–495. [Belskaya E.A., Vorobeichik E.L. Changes in the trophic activity of leaf-eating insects in birch along the pollution gradient near the Middle Ural copper smelter // Contemp. Probl. Ecol. 2015. V. 8. № 3. P. 397−404.] https://doi.org/10.7868/S0367059713020042
 - Smith P.N., Cobb G.P., Godard-Codding C. et al. Contaminant exposure in terrestrial vertebrates // Environ. Pollut. 2007. V. 150. P. 41–64. https://doi.org/doi.org/10.1016/j.envpol.2007.06.009
 - Luyssaert S., Raitio H., Vervaeke P. et al. Sampling procedure for the foliar analysis of deciduous trees // J. Environ. Monit. 2002. V. 4. № 6. P. 858–864. https://doi.org/10.1039/B208404J
 - Kozlov M.V. Sources of variation in concentrations of nickel and copper in mountain birch foliage near a nickel-copper smelter at Monchegorsk, north-western Russia: results of long-term monitoring // Environ. Pollut. 2005. V. 135. P. 91–99. https://doi.org/10.1016/j.envpol.2004.10.005
 - Бельская Е.А. Динамика трофической активности филлофагов березы в период снижения атмосферных выбросов медеплавильного завода // Экология. 2018. № 1. С. 74–80. [Belskaya E.A. Dynamics of trophic activity of leaf-eating insects on birch during reduction of emissions from the Middle Ural copper smelter // Russ. J. Ecol. 2018. V. 49. № 1. P. 87−92.] https://doi.org/10.7868/S0367059718010092
 - Воробейчик Е.Л., Трубина М.Р., Хантемирова Е.В. и др. Многолетняя динамика лесной растительности в период сокращения выбросов медеплавильного завода // Экология. 2014. № 6. С. 448–458. [Vorobeichik E.L., Trubina M.R., Khantemirova E.V. et al. Long-term dynamic of forest vegetation after reduction of copper smelter emissions // Russ. J. Ecol. 2014. V. 45. № 6. P. 498–507]. https://doi.org/10.7868/S0367059714060158
 - Государственный доклад о состоянии и об охране окружающей среды Свердловской области (2019) [Электронный ресурс]. – URL: https://ipae.uran.ru/library/publications_pdf/gos_doklady (дата обращения 27.12.2022).
 - Freedman B., Hutchinson T.C. Pollutant inputs from the atmosphere and accumulations in soils and vegetation near a nickel-copper smelter at Sudbury, Ontario, Canada // Can. J. Bot. 2011. V. 58. P. 108–132. https://doi.org/10.1139/b80-014
 - Лянгузова И.В. Динамика содержания никеля и меди в растениях сосновых лесов Кольского полуострова в условиях аэротехногенного загрязнения // Растит. ресурсы. 2008. Т. 44. Вып. 4. С. 91–98.
 - Лянгузова И.В. Динамические тренды содержания тяжелых металлов в растениях и почвах при разном режиме аэротехногенной нагрузки // Экология. 2017. № 4. С. 250–260. [Lyanguzova I.V. Dynamic trends of heavy metal contents in plants and soil under different industrial air pollution regimes // Russ. J. of Ecol. 2017.V. 48. № 4. P. 311–320.] https://doi.org/ 10. 1134/ S1067413617040117.
 - Kloke A., Sauerbeck D., Vetter H. The contamination of plants and soils with heavy metals and the transport of metals in terrestrial food chains // Changing metal cycles and human health / Ed. Nriagu J.O. Berlin: Springer, 1984. P. 113–141. https://doi.org/10.1007/978-3-642-69314-4_7
 - Radojevic A.A., Serbula S.M., Kalinovic T.S. et al. Metal/metalloid content in plant parts and soils of Corylus spp. influenced by mining-metallurgical production of copper // Environ. Sci. Pollut. Res. 2017. V. 24. № 11. P. 10 326–10 340. https://doi.org/10.1007/s11356-017-8520-9
 - Нестерков А.В. Поверхностное загрязнение луговых растений в период снижения атмосферных выбросов медеплавильного завода // Экология. 2019. № 4. С. 316–320. [Nesterkov A.V. Surface pollution of meadow plants during the period of reduction of atmospheric emissions from a copper smelter // Russ. J. Ecol. 2019. V. 50. № 4. P. 408–412.] https://doi.org/10.1134/S0367059719040127
 - Мухачева С.В. Многолетняя динамика концентраций тяжелых металлов в корме и организме рыжей полевки (Myodes clareolus) в период снижения выбросов медеплавильного завода // Экология. 2017. № 6. С. 461–471. [Mukhacheva S.V. Long-term dynamics of heavy metal concentrations in the food and liver of bank voles (Myodes glareolus) in the period of reduction of emissions from a copper smelter // Russ. J. Ecol. 2017. V. 48. № 6. P. 559–568.] https://doi.org/10.7868/S0367059717060087
 - Воробейчик Е.Л., Кайгородова С.Ю. Многолетняя динамика содержания тяжелых металлов в верхних горизонтах почв в районе воздействия медеплавильного завода в период сокращения объемов его выбросов // Почвоведение. 2017. № 8. С 1009–1024. https://doi.org/10.1134/S1064229317080130
 - Сморкалов И.А., Воробейчик Е.Л. Почвенное дыхание лесных экосистем в градиентах загрязнения среды выбросами медеплавильных заводов // Экология. 2011. № 6. С. 429–435. [Smorkalov I.A., Vorobeichik E.L. Soil respiration of forest ecosystems in gradients of environmental pollution by emissions from copper smelters // Russ. J. Ecol. 2011. V. 42. № 6, P. 464–470.] https://doi.org/10.1134/S1067413611060166
 - Pulford I.D., Watson C. Phytoremediation of heavy metal-contaminated land by trees–a review // Environ. Int. 2003. V. 29. P. 529–540. https://doi.org/10.1016/S0160-4120(02)00152-6
 - Riddell-Black D. Heavy metal uptake by fast growing willow species // Willow vegetation filters for municipal wastewaters and sludges: A biological purification system /Eds.: Ansson P., Perttu K. Uppsala: Swedish Univ. of Agricultural Sci., 1994. P. 145–151.
 - Ross S.M. Toxic metals: fate and distribution in contaminated ecosystems // Toxic metals in soil – plant systems / Ed. Ross S.M. Chicheer: Wiley, 1994. P. 189–243.
 - Ehlin P.O. Seasonal variations in metal contents of birch // Geol. Foren. Stockh. Forh. 1982. V. 104. P. 63–67. https://doi.org/10.1080/11035898209454538
 - Ветчинникова Л.В., Кузнецова Т.Ю., Титов А.Ф. Особенности накопления тяжелых металлов в листьях древесных растений на урбанизированных территориях в условиях севера // Труды Карел. НЦ РАН. 2013. № 3.С. 68–73.
 
Дополнительные файлы
				
			
						
						
						
					
						
									




