RESIDENTS AND NON-RESIDENTS: DAILY ACTIVITY OF SMALL MAMMALS IN CONTRASTING BIOTOPES
- Авторлар: Kalinin A.A.1, Alexandrov D.Y.1
-
Мекемелер:
- Severtsov Institute of Ecology and Evolution, Russian Academy of Sciences
- Шығарылым: № 5 (2023)
- Беттер: 365-374
- Бөлім: Articles
- URL: https://bakhtiniada.ru/0367-0597/article/view/141812
- DOI: https://doi.org/10.31857/S0367059723050050
- EDN: https://elibrary.ru/HKZQIT
- ID: 141812
Дәйексөз келтіру
Толық мәтін
Аннотация
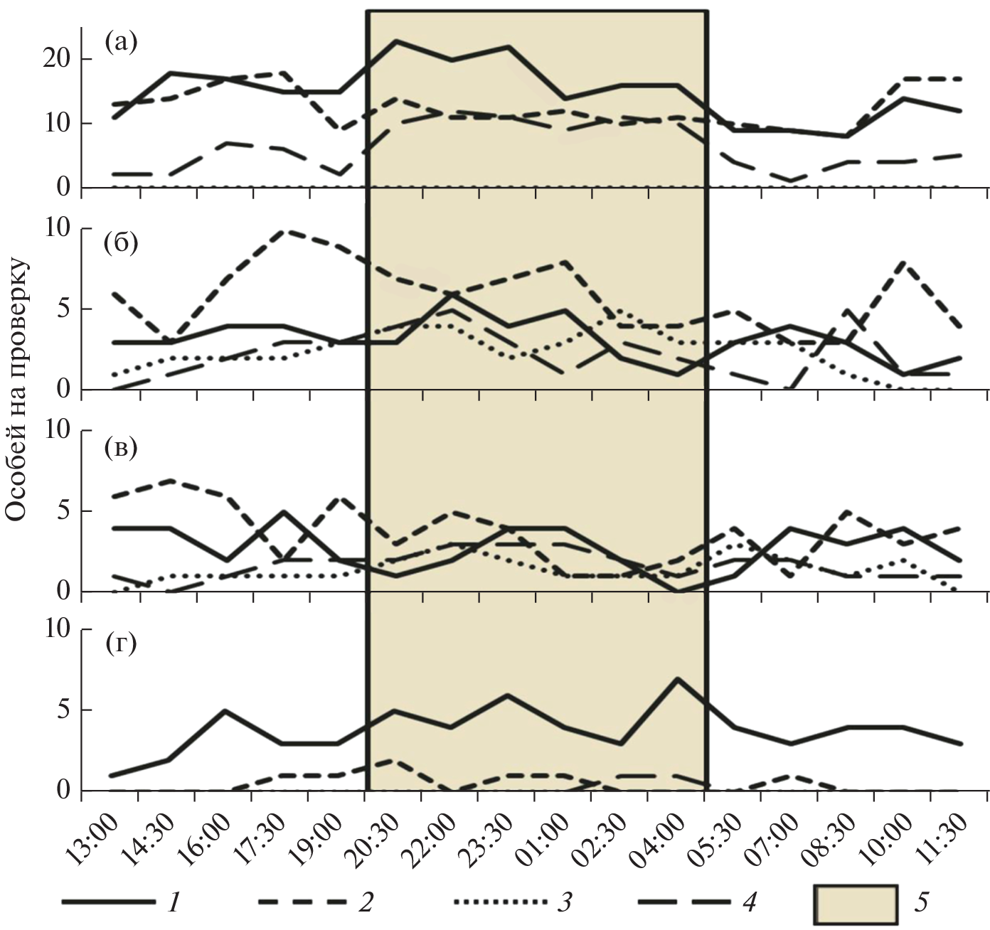
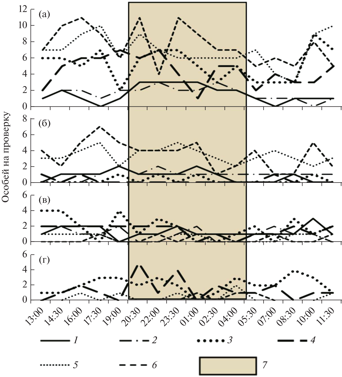
Using the marking and recapture method, we compared the daily activity of four common species of small mammals of the forest zone in three biotopes that differ greatly in their protective properties. Lines of live traps were installed in a dark coniferous forest, on a grassy slope and along a rocky beach along the water's edge on the river. Ilych. The activity of resident and non-resident individuals was assessed with a frequency of checks every 1.5 hours. In the forest, polyphasic activity without pronounced maxima was noted for all species; on the open slope, the maximum activity of resident animals occurred at night, and on the shore only non-resident animals were observed. Non-resident activity in all biotopes is shifted to the night, while in open biotopes the period of activity is shorter and more associated with the dark time of day.
Негізгі сөздер
Авторлар туралы
A. Kalinin
Severtsov Institute of Ecology and Evolution, Russian Academy of Sciences
Email: benguan@yandex.ru
Moscow, Russia
D. Alexandrov
Severtsov Institute of Ecology and Evolution, Russian Academy of Sciences
Хат алмасуға жауапты Автор.
Email: benguan@yandex.ru
Moscow, Russia
Әдебиет тізімі
- Ashby K.R. Patterns of daily activity in mammals // Mammal Rev. 1972. V. 1. № 7–8. P. 171–185. https://doi.org/10.1111/j.1365-2907.1972.tb00088.x
- Roll U., Dayan T., Kronfeld-Schor N. On the role of phylogeny in determining activity patterns of rodents // Evolutionary Ecology. 2006. V. 20. № 5. P. 479–490. http:// www.dx.doi.org/10.1007/s10682-006-0015-y
- Saarikko J., Hanski I. Timing of rest and sleep in foraging shrews // Animal Behaviour. 1990. V. 40. № 5. P. 861–869.https://doi.org/10.1016/S0003-3472(05)80987-X
- Halle S. Polyphasic activity patterns in small mammals // Folia Primatologica. 2006. V. 77. № 1–2. P. 15–26. https://doi.org/10.1159/000089693
- Щипанов Н.А., Калинин А.А., Олейниченко В.Ю. и др. К методике изучения использования пространства землеройками-бурозубками // Зоол. журн. 2000. Т. 79. Вып. 3. С. 362–371.
- Ивантер Э.В., Макаров А.М. Суточная активность и подвижность обыкновенной бурозубки (Sorex araneus L.) // Экология. 2002. № 4. С. 298–303. [Ivanter E.V., Makarov A.M. Daily activity and mobility of the common shrew (Sorex araneus L.) // Russ. J. of Ecology. 2002. V. 33. № 4. P. 280–285.] https://doi.org/10.1023/A:1016224522263
- Сергеев В.Е., Лучникова Е.М. Этолого-биоритмологические факторы организации сообществ землероек // Сиб. экол. журн. 2002. Т. 9. № 6. С. 785–790.
- Rychlik L. Overlap of temporal niches among four sympatric species of shrews // Acta Theriol. 2005. V. 50. № 2. P. 175–188.
- Tavernier R.J., Largen A.L., Bult-Ito A. Circadian organization of a subarctic rodent, the northern red-backed vole (Clethrionomys rutilus) // J. of Biological Rhythms. 2004. V. 19. № 3. P. 238–247. https://doi.org/10.1177/0748730404264200
- Gliwicz J., Dąbrowski M.J. Ecological factors affecting the diel activity of voles in a multi-species community // Annales Zoologici Fennici. 2008. V. 45. № 4. P. 242–247. https://doi.org/10.5735/086.045.0401
- Wasserberg G.P., Kotler B., Abramsky Z. The role of site, habitat, seasonality and competition in determining the nightly activity patterns of psammophilic gerbils in a centrifugally organized community // Oikos. 2006. V. 112. № 3. P. 573–579. https://doi.org/10.1111/j.0030-1299.2006.14302.x
- Pita R., Mira A., Beja P. Circadian activity rhythms in relation to season, sex and interspecific interactions in two Mediterranean voles // Animal Behaviour. 2011. V. 81. № 5. P. 1023–1030. https://doi.org/10.1016/j.anbehav.2011.02.007
- Shuai L.Y., Ren C.L., Cao C. et al. Shifts in activity patterns of Microtus gregalis: a role of competition or temperature? // J. of Mammalogy. 2014. V. 95. № 5. P. 960–967. https://doi.org/10.1644/13-MAMM-A-303
- Ziv Y., Abramsky Z., Kotler B.P. et al. Interference competition and temporal and habitat partitioning in two gerbil species // Oikos. 1993. V. 66. № 2. P. 237–246. https://doi.org/10.2307/3544810
- Тихонов И.А., Тихонова Г.Н., Осипова О.В. Влияние внутри- и межвидовой конкуренции на суточную активность обыкновенной (Microtus arvalis) и восточно-европейской (Microtus rossiaemeridionalis) полевок в условиях эксперимента // Экология. 2009. № 1. С. 60–65. [Tikhonov I.A., Tikhonova G.N., Osipova O.V. Influence of intra- and interspecific competition on daily activity of common (Microtus arvalis) and east European (Microtus rossiaemeridionalis) voles in experiments // Russ. J. of Ecology. 2009. V. 40. № 1. P. 55–60.] https://doi.org/10.1134/S1067413609010093
- Fenn M.G.P., Macdonald D.W. Use of middens by red foxes: risk reverses rhythms of rats // J. of Mammalogy. 1995. V. 76. № 1. P. 130–136. https://doi.org/10.2307/1382321
- Jacob J., Brown J.S. Microhabitat use, giving-up densities and temporal activity as short- and long-term anti-predator behaviors in common voles // Oikos. 2000. V. 91. № 1. P. 131–138. https://doi.org/10.1034/j.1600-0706.2000.910112.x
- Connolly B.M., Orrock J.L. Habitat-specific capture timing of deer mice (Peromyscus maniculatus) suggests that predators structure temporal activity of prey // Ethology. 2018. V. 124. № 2. P. 105–112. https://doi.org/10.1111/eth.12708
- Paise G., Vieira E.M. Daily activity of a neotropical rodent (Oxymycterus nasutus): seasonal changes and influence of environmental factors // J. of Mammalogy. 2006. V. 87. № 4. P. 733–739. https://doi.org/10.1644/05-MAMM-A-158R5.1
- Rotics S., Dayan T., Kronfeld-Schor N. Effect of artificial night lighting on temporally partitioned spiny mice // J. of Mammalogy. 2011. V. 92. № 1. P. 159–168. https://doi.org/10.1644/10-MAMM-A-112.1
- Hoffmann J., Palme R., Eccard J.A. Long-term dim light during nighttime changes activity patterns and space use in experimental small mammal populations // Environmental Pollution. 2018. V. 238. P. 844–851. https://doi.org/10.1016/j.envpol.2018.03.107
- Meijer J.H., Robbers Y. Wheel running in the wild. Proceedings of the Royal Society B: Biological Sciences, 2014. 281(1786):20140210. https://doi.org/10.1098/rspb.2014.0210
- Щипанов Н.А., Купцов А.В. Нерезидентность у мелких млекопитающих и ее роль в функционировании популяции // Успехи соврем. биол. 2004. Вып. 124. № 1. С. 28–43.
- Щипанов Н.А., Купцов А.В., Калинин А.А. и др. Конуса и живоловки ловят разных землероек-бурозубок (Insectivora, Soricidae) // Зоол. журн. 2003. Т. 82. Вып. 10. С. 1258–1265.
- Щипанов Н.А., Купцов А.В., Демидова Т.Б. и др. Нерезидентность и расселение у обыкновенных бурозубок (Sorex araneus, Insectivora) // Зоол. журн. 2008. Т. 87. Вып. 3. С. 331–343.
- Greenwood P.J. Mating systems, philopatry and dispersal in birds and mammals // Animal behaviour. 1980. V. 28. № 4. P. 1140–1162.https://doi.org/10.1016/S0003-3472(80)80103-5
- Matthysen E. Density-dependent dispersal in birds and mammals // Ecography. 2005. V. 28. № 3. P. 403–416.
- Григоркина Е.Б., Оленев Г.В. Дальние перемещения малой лесной мыши (Sylvaemus uralensis, Muridae): скорость и дистанция, выявленные при групповом мечении // Зоол. журн. 2022. Т. 101. Вып. 11. С. 1300–1304. https://doi.org/10.31857/S0044513422110046
- Калинин А.А. Преодоление водных преград мелкими млекопитающими лесной зоны (количественные характеристики) // Зоол. журн. 2022. Т. 101. Вып. 4. С. 461–470. [Kalinin A.A. The traversing of water barriers by small mammals of the forest zone: quantitative characteristics // Biol. Bull. 2022. V. 49. № 9. P. 1543–1551.] https://doi.org/10.31857/S0044513422020040
- Щипанов Н.А. К экологии малой белозубки (Crocidura suaveolens) // Зоол. журн. 1986. Т. 66. Вып. 7. С. 1051–1060.
- Щипанов Н.А., Литвинов Ю.Н., Шефтель Б.И. Экспресс-метод оценки локального биологического разнообразия сообщества мелких млекопитающих // Сиб. экол. журн. 2008. Т. 15. № 5. С. 783–791.
- Калинин А.А. Оседлая и нерезидентная составляющая численности массовых видов мелких млекопитающих по данным учета на линиях живоловок // Зоол. журн. 2012. Т. 91. Вып. 6. С. 759–768.
- Щипанов Н.А. Мечение на линиях живоловок для мониторинга мелких млекопитающих. Способы расчета популяционной плотности и индексов нерезидентности // Зоол. журн. 2020. Т. 99. Вып. 9. С. 1062–1076. https://doi.org/10.31857/S0044513420090159
- Олейниченко В.Ю., Калинин А.А., Купцов А.В. и др. Колебания активности мелких млекопитающих: погодные факторы или случайные процессы? // Бюл. МОИП. 2018. Т. 123. Вып. 6. С. 22–30.
- Hanski I., Peltonen A. Island colonization and peninsulas // Oikos. 1988. V. 51. P. 105–106. https://doi.org/10.2307/3565813
- Ралль Ю.М. Динамическая плотность грызунов и некоторые методы ее изучения // Бюл. МОИП. 1945. Т. 50. Вып. 5–6. С. 62–64.
- Калинин А.А. Плотность оседлого и нерезидентного населения мелких лесных млекопитающих // Зоол. журн. 2023. Т. 102. Вып. 1. С. 106–114.
Қосымша файлдар






