Over 50 Years of Overgrowth of the Ash Dump, The Content of Nitrogen and Phosphorus Changed in Young Soils but it Did Not Change in Plants
- Authors: Betekhtina A.A.1, Nekrasova O.A.1, Uchaev A.P.1, Nekrashevich P.S.1, Malakheeva A.V.1, Radchenko T.A.1, Dubrovin D.I.1, Petrova T.A.1, Veselkin D.V.2
-
Affiliations:
- Ural Federal University
- Institute of Plant and Animal Ecology, Ural Branch, Russian Academy of Sciences
- Issue: No 4 (2023)
- Pages: 281-290
- Section: Articles
- URL: https://bakhtiniada.ru/0367-0597/article/view/139194
- DOI: https://doi.org/10.31857/S0367059723040042
- EDN: https://elibrary.ru/RQCRXX
- ID: 139194
Cite item
Full Text
Abstract
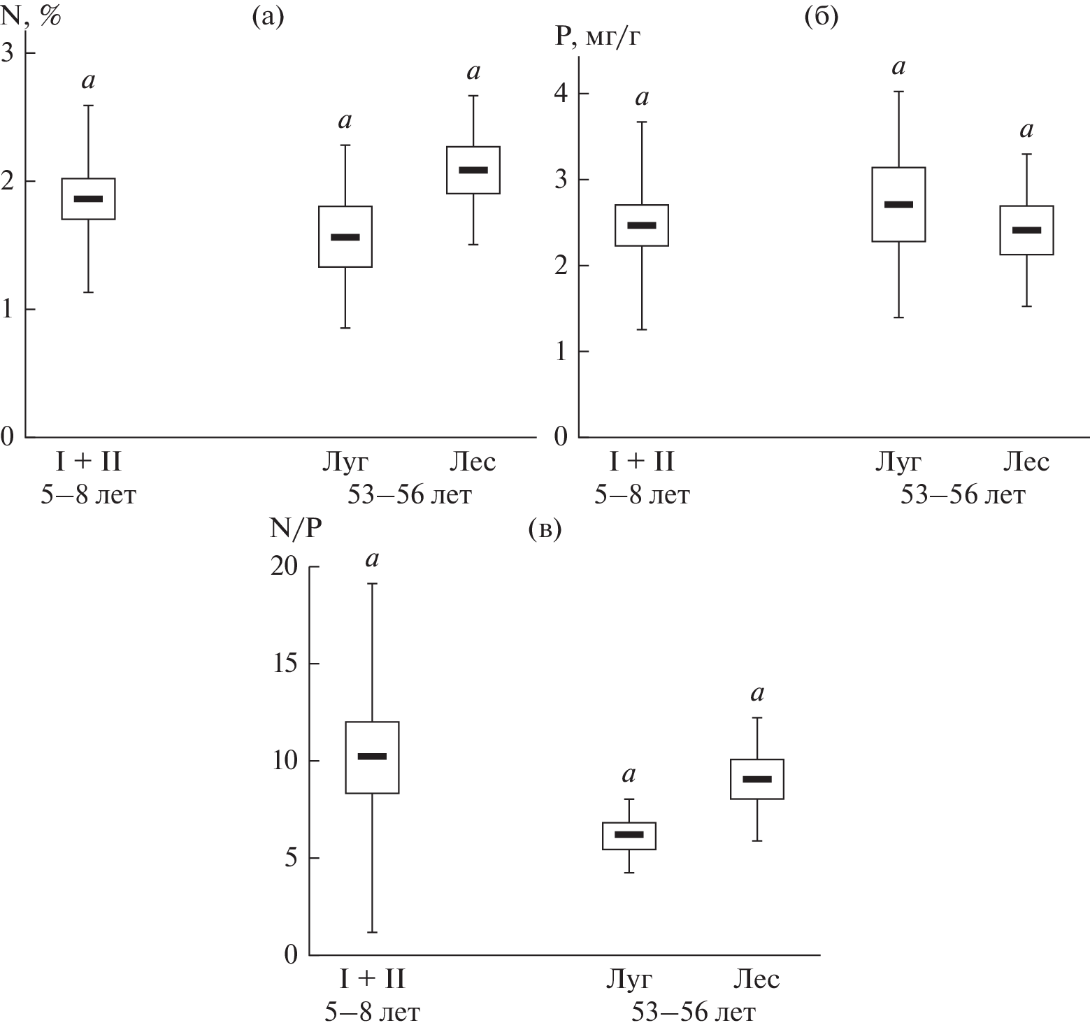
Changes in the nitrogen (N) and phosphorus (P) content in the ash substrate and plant leaves during the primary succession of overgrowing ash dumps of different ages were studied. The work was carried out on the young (overgrowth duration 5–8 years) and old (overgrowth duration 53–56 years; two sites – with meadow and forest vegetation) ash dumps of a thermal power plant in the Middle Urals. In the emerging soil and leaves of model plants, the content of N and P was determined on each dump. In young soils, a predictable and explainable successional dynamics of N and P was established: over 53–56 years, the N content increased 2.4–7.1 times, while the P content decreased 1.1–2.1 times. In plant leaves, the content of N and P at different stages of overgrowth was actually constant: 1.6–2.1% of N and 2.2–2.9 mg/g of P. In general, it has been found that in successionally young habitats, and in more advanced ones with developing forest vegetation, against the background of a multiple increase in the N content in the soil, the N content in plants remains low. With a high probability, on both dumps, the availability of nitrogen is a factor limiting the development of plants. This is evidenced by the results of the analysis of N/P ratio values in leaves and comparison of our array of N values in leaves with global averages of N content in the same species. Thus, the results with respect to the successional dynamics of the content of nitrogen and phosphorus in soils and plants of dumps of different ages turned out to be surprisingly little consistent with each other.
About the authors
A. A. Betekhtina
Ural Federal University
Email: A.A.Betekhtina@urfu.ru
Yekaterinburg, Russia
O. A. Nekrasova
Ural Federal University
Email: A.A.Betekhtina@urfu.ru
Yekaterinburg, Russia
A. P. Uchaev
Ural Federal University
Email: A.A.Betekhtina@urfu.ru
Yekaterinburg, Russia
P. S. Nekrashevich
Ural Federal University
Email: A.A.Betekhtina@urfu.ru
Yekaterinburg, Russia
A. V. Malakheeva
Ural Federal University
Email: A.A.Betekhtina@urfu.ru
Yekaterinburg, Russia
T. A. Radchenko
Ural Federal University
Email: A.A.Betekhtina@urfu.ru
Yekaterinburg, Russia
D. I. Dubrovin
Ural Federal University
Email: A.A.Betekhtina@urfu.ru
Yekaterinburg, Russia
T. A. Petrova
Ural Federal University
Email: A.A.Betekhtina@urfu.ru
Yekaterinburg, Russia
D. V. Veselkin
Institute of Plant and Animal Ecology, Ural Branch, Russian Academy of Sciences
Author for correspondence.
Email: A.A.Betekhtina@urfu.ru
Yekaterinburg, Russia
References
- Elser J.J., Bracken M.E.S., Cleland E.E. et al. Global analysis of nitrogen and phosphorus limitation of primary producers in freshwater, marine and terrestrial ecosystems // Ecol Lett. 2007. V. 10. № 12. P. 1135–1142. https://doi.org/10.1111/j.1461-0248.2007.01113.x
- Bui E.N., Henderson B.L. C : N : P stoichiometry in Australian soils with respect to vegetation and environmental factors // Plant and Soil. 2013. V. 373. P. 553–568. https://doi.org/10.1007/s11104-013-1823-9
- Chapin F.S. III, Vitousek P.M., Van Cleve K. The nature of nutrient limitation in plant communities // American Naturalist. 1986. V. 127. P. 48–58.
- Aerts R., Chapin F.S. The mineral nutrition of wild plants revisited: a re-evaluation of processes and patterns // Adv. Ecol. Res. 2000. V. 30. P. 1–67. https://doi.org/10.1016/S0065-2504(08)60016-1
- Wang G. Leaf trait co-variation, response and effect in a chronosequence // J. Vegatation Sci. 2007. V. 18. № 4. P. 563–570. https://doi.org/10.1111/j.1654-1103.2007.tb02570.x
- He M., Dijkstra F.A., Zhang K. Leaf nitrogen and phosphorus of temperate desert plants in response to climate and soil nutrient availability // Scientific Reports. 2014. V. 4. P. 1–7.
- Soudzilovskaia N.A., Onipchenko V.G., Cornelissen J.H.C. et al. Biomass production, N : P ratio and nutrient limitation in a Caucasian alpine tundra plant community // J. Vegetation Sci. 2005. V. 16. P. 399–406.https://doi.org/10.1111/j.1654-1103.2005.tb02379.x
- von Oheimb G., Power S.A., Falk K. et al. N : P Ratio and the nature of nutrient limitation in Calluna-dominated heathlands // Ecosystems. 2010. V. 13. P. 317–327. https://doi.org/10.1007/s10021-010-9320-y
- Liu B., Han F., Ning P. et al. Root traits and soil nutrient and carbon availability drive soil microbial diversity and composition in a northern temperate forest // Plant and Soil. 2022. V. 479. P. 281–299. https://doi.org/10.1007/s11104-022-05516-z
- Ning Z., Zhao X., Yulin L. et al. Plant community C : N : P stoichiometry is mediated by soil nutrients and plant functional groups during grassland desertification // Ecol Eng. 2021. V. 162. № 1. P. 106–179. https://doi.org/10.1016/j.ecoleng.2021.106179
- Yan T., Lu X.-T., Zhu J.-J. et al. Changes in nitrogen and phosphorus cycling suggest a transition to phosphorus limitation with the stand development of larch plantations // Plant and Soil. 2018. V. 422. P. 385–396. https://doi.org/10.1007/s11104-017-3473-9
- Peltzer D.A., Wardle D.A., Allison V.J. et al. Understanding ecosystem retrogression // Ecol. Monogr. 2010. V. 80. № 4. P. 509–529. https://doi.org/10.1890/09-1552.1
- Махонина Г.И. Экологические аспекты почвообразования в техногенных экосистемах Урала. Екатеринбург: Изд-во Урал. ун-та, 2003. 355 с.
- Vitousek P.M. Nutrient cycling and limitation: Hawaii as a model system. Princeton, N. J.: Princeton University Press, 2004. 232 p.
- Laliberte E., Turner B. L., Costes T. et al. Experimental assessment of nutrient limitation along a 2-million year dune chronosequence in the south-western Australia biodiversity hotspot // J. Ecol. 2012. V. 100. P. 631–642. https://doi.org/10.1111/j.1365-2745.2012.01962.x
- Coomes D.A., Bentley W.A., Tanentzap A.J. et al. Soil drainage and phosphorus depletion contribute to retrogressive succession along a New Zealand chronosequence // Plant Soil. 2013. V. 367. P. 77–91. https://doi.org/10.1007/s11104-013-1649-5
- Olde Venterink H., Gusewell S. Competitive interactions between two meadow grasses under nitrogen and phosphorus limitation // Funct Ecol. 2010. V. 24. P. 877–886. https://doi.org/10.1111/j.1365-2435.2010.01692.x
- Darcy J.L., Schmidt S.K., Knelman J.E. Phosphorus, not nitrogen, limits plants and microbial primary producers following glacial retreat // Science Advances. 2018. V. 4. № 5. P. 1–7. https://doi.org/10.1126/sciadv.aaq0942
- Satti P., Mazzarino M.J., Roselli L. Factors affecting soil P dynamics in temperate volcanic soils of southern Argentina // Geoderma. 2007. V. 139. P. 229–240.
- Hayes P.E., Turner B.L., Lambers H. et al. Foliar nutrient concentrations and resorption efficiency in plants of contrasting nutrient-acquisition strategies along a 2-million-year dune chronosequence // J. Ecol. 2014. V. 102. P. 396–410. https://doi.org/10.13140/2.1.5050.4968
- Zhong H., Zhou J., Wong W-S. et al. Exceptional nitrogen-resorption efficiency enables Maireana species (Chenopodiaceae) to function as pioneers at a mine-restoration site // Sci. Tot. Environ. 2021. V. 779. https://doi.org/10.1016/j.scitotenv.2021.146420
- Read D.J., Perez-Moreno J. Mycorrhizas and nutrient cycling in ecosystems-a journey towards relevance? // New Phytol. 2003. V. 157. P. 475–492. https://doi.org/10.1046/j.1469-8137.2003.00704.x
- Dickie I.A., Martinez-Garcia Laura B., Koele N. et al. Mycorrhizal and mycorrhizal fungal communities throughout ecosystem development // Plant Soil. 2013. V. 367. P. 11–39. https://doi.org/10.1007/s11104-013-1609-0
- Koerselman W., Meuleman A.F.M. The vegetation N : P ratio: a new tool to detect the nature of nutrient limitation // J. Appl Ecol. 1996. V. 33. № 6. P. 1441–1450. http://www.jstor.org/stable/2404783
- Güsewell S. N : P ratios in terrestrial plants: variation and functional significance // New Phytol. 2004. V. 164. P. 243–266. https://doi.org/10.1111/j.1469-8137.2004.01192.x
- Пасынкова М.В. Зола как субстрат для выращивания растений // Растения и промышленная среда. Свердловск: УрГУ, 1974. С. 29–44.
- Gajic G., Djurdjevic L., Kostic O. et al. Ecological potential of plants for phytoremediation and ecorestoration of Fly Ash Deposits and Mine Wastes // Fron. Environ. 2018. V. 6. 124 p. https://doi.org/10.3389/fenvs.2018.00124
- The Plant List [Электронный ресурс]. URL: http://www.theplantlist.org/ (дата обращения: 21.11.2022).
- Аринушкина Е.В. Руководство по химическому анализу почв. М.: МГУ, 1970. 478 с.
- Теория и практика химического анализа почв. Под ред. Воробьева Л.А.Новосибирск: Изд-во “ГЕОС”, 2006. 400 с.
- Kattge J., Boenisch G., Diaz S. et al. TRY plant trait database – enhanced coverage and open access // Global Change Biology. 2020. № 26. P. 119–188. https://doi.org/10.1111/gcb.14904
- Wang B., Qiu Y.L. Phylogenetic distribution and evolution of mycorrhizas in land plants // Mycorrhiza. 2006. V. 16. № 5. P. 299–363.
- Akhmetzhanova, A.A., Soudzilovskaia N.A., Onipchenko V.G. et al. A rediscovered treasure: mycorrhizal intensity database for 3000 vascular plant species across the former Soviet Union // Ecology. 2012. V. 93. № 3. P. 689–690. https://doi.org/10.1890/11-1749.1
- Бетехтина А.А., Веселкин Д.В. Распространенность и интенсивность микоризообразования у травянистых растений Среднего Урала с разными типами экологических стратегий // Экология. 2011. № 3. С. 176–183. [Betekhtina A.A., Veselkin D.V. Prevalence and intensity of mycorrhiza formation in herbaceous plants with different types of ecological strategies in the Middle Urals // Russ. J. Ecol. 2011. V. 42. № 3. P. 192–198.] https://doi.org/10.1134/S1067413611030040
- Betekhtina A.A., Veselkin D.V. Mycorrhizal and non-mycorrhizal dicotyledonous herba-ceous plants differ in root anatomy: evidence from the Middle Urals, Russia. // Symbiosis. 2019. V. 77. № 2. P. 133–140. https://doi.org/10.1007/s13199-018-0571-2
- Гаджиев И.М., Курачев В.М. Генетические и экологические аспекты исследования и классификация почв техногенных ландшафтов // Экология и рекультивация техногенных ландшафтов. Новосибирск: Наука, 1992. С. 6–15.
- IUSS Working Group WRB. World Reference Base for Soil Resources. International soil classification system for naming soils and creating legends for soil maps. 4th edition. // International Union of Soil Sciences (IUSS), Vienna, Austria, 2022. 234 p.
- Cornelissen J.H.C., Aerts R., Cerabolini B. et al. Carbon cycling traits of plant species are linked with mycorrhizal strategy // Oecologia. 2001. V. 129. № 4. P. 611–619.
- Walker T.W., Syers J.K. The fate of phosphorus during pedogenesis // Geoderma. 1976. V. 15. P. 1–19.
- Назарюк В.М., Калимуллина Ф.Р. Роль природных экосистем в восстановлении плодородия выпаханных почв Западной Сибири // Проблемы агрохимии и экологии. 2017. № 1. С. 43–50.
- Комаров А.С., Чертов О.Г., Быховец С.С. и др. Воздействие осиновых плантаций с коротким оборотом рубки на биологический круговорот углерода и азота в лесах бореальной зоны: модельный эксперимент // Математическая биология и биоинформатика. 2015. Т. 10. № 2. С. 398–415. [Komarov A., Chertov O., Bykhovets S.S. et al. Effects of the Aspen Short-Rotation Plantation on the C and N biological cycles in Boreal Forests: The Model Experiment // Math. Biol. Bioinform. 2015. V. 10. № 2. P. 398–415.] https://doi.org/10.17537/2015.10.398
- Бетехтина А.А., Некрасова О.А., Дергачева М.И. и др. Разложение корней луговых и лесных растений в зольном субстрате отвалов электростанций: лабораторный эксперимент // Известия РАН. Серия биологическая. 2020. № 3. С. 318–324. [Betekhtina A.A., Nekrasova O.A., Dergacheva M.I. et al. Decomposition of meadow and forest plant roots in the Ash substrate of power plant dumps: a laboratory experiment // Biology Bulletin. 2020. V. 47. № 3. P. 299–305.] https://doi.org/10.1134/S1062359020010033
- Бетехтина А.А., Ганем А., Некрасова О.А. и др. Факторы содержания углерода и азота в тонких корнях растений Среднего Урала // Экология. 2021. № 2. С. 83–92. [Betekhtina A.A., Ganem A., Nekrasova O.A. et al. Factors of carbon and nitrogen contents in the fine roots of plants in the Middle Urals // Rus. J. Ecol. 2021. V. 52. № 2. P. 99–108.] https://doi.org/10.1134/S106741362102003X
- Ghafoor A., Poeplau C., Kätterer T. Fate of straw–and root– derived carbon in a Swedish agricultural soil // Biol.Fertility Soils. 2017. V. 53. № 2. P. 257–267. https://doi.org/10.1007/s00374-016-1168-7
- Poirier V., Roumet C., Munson A.D. The root of the matter: Linking root traits and soil organic matter stabilization processes // Soil Biol. Biochem. 2018. V. 120. P. 246–259. https://doi.org/10.1016/j.soilbio.2018.02.016
- Макаров М.И. Роль микоризообразования в трансформации соединений азота в почве и азотном питании растений (обзор) // Почвоведение. 2019. № 2. С. 220–233. [Makarov M.I. The role of mycorrhiza in transformation of nitrogen compounds in soil and nitrogen nutrition of plants: a review // Eurasian Soil Science. 2019. V. 52. № 2. P. 193–205.] https://doi.org/10.1134/S1064229319100077
- Макаров М.И., Лавренов Н.Г., Онипченко В.Г. Азотное питание растений альпийской лишайниковой пустоши в условиях обогащения почвы элементами минерального питания // Экология. 2020. № 2. С. 83–89. [Makarov M.I., Lavrenov N.G., Onipchenko V.G. Nitrogen nutrition of plants in an Alpine lichen heath under the conditions of soil enrichment with biogenic elements // Russ. J. Ecol. 2020. V. 51. № 2. P. 99–106.] https://doi.org/10.1134/S1067413620020083
- Cross A.T., Lambers H. Young calcareous soil chronosequences as a model for ecological restoration on alkaline mine tailings // Sci. Tot. Environ. 2017. V. 607–608. P. 168–175. https://doi.org/10.1016/j.scitotenv.2017.07.005
- Crews T.E., Kitayama K., Fownes J.H. et al. Changes in soil phosphorus fractions and ecosystem dynamics across a long chronosequence in Hawaii // Ecology. 1995. V. 76. P. 1407–1424. https://doi.org/10.2307/1938144
- Satti P., Mazzarino M. J., Roselli L. et al. Factors affecting soil P dynamics in temperate volcanic soils of southern Argentina // Geoderma. 2007. V. 139. № 1–2. P. 229–240. https://doi.org/10.1016/j.geoderma.2007.02.005
- Макаров М.И. Фосфор органического вещества почв : Автореф. дис. … докт. биол. наук. М., 2004. 49 с.
- Kraus T.E., Dahlgren R.A., Zasoski R.J. Tannins in nutrient dynamics of forest ecosystems – a review // Plant and Soil. 2003. V. 256. № 1. P. 41–66. https://doi.org/10.1023/A:1026206511084
- Mallik A.U. Conifer regeneration problems in boreal and temperate forest with ericaceous understory: role of disturbance, seedbed limitation, and keystone change // Crit. Rev. Plant Sci. 2003. V. 22. P. 341–366.
- Дергачева М.И. Система гумусовых веществ почв. Новосибирск: Наука, 1989. 110 с.
- Brady N.C., Well R.R. Elementos da natureza e propriedades dos solos. 3 ed. Porto Alegre: Bookman, 2013. 686 p.
- Vergutz L., Manzoni S., Porporato A. et al. Global resorption efficiencies and concentrations of carbon and nutrients in leaves of terrestrial plants // Ecological Monographs. 2012. V. 82. P. 205–220.
Supplementary files





