Influence of Hypomagnetic Conditions and Changes in Water Salinity on Production and Morphometric Parameters of Daphnia magna Straus
- Authors: Sizova A.A.1, Sizov D.A.1, Krylov V.V.1
-
Affiliations:
- Institute of Biology of Inland Waters, Russian Academy of Sciences
- Issue: No 3 (2023)
- Pages: 228-234
- Section: Articles
- URL: https://bakhtiniada.ru/0367-0597/article/view/139189
- DOI: https://doi.org/10.31857/S0367059723030071
- EDN: https://elibrary.ru/FOODCI
- ID: 139189
Cite item
Full Text
Abstract
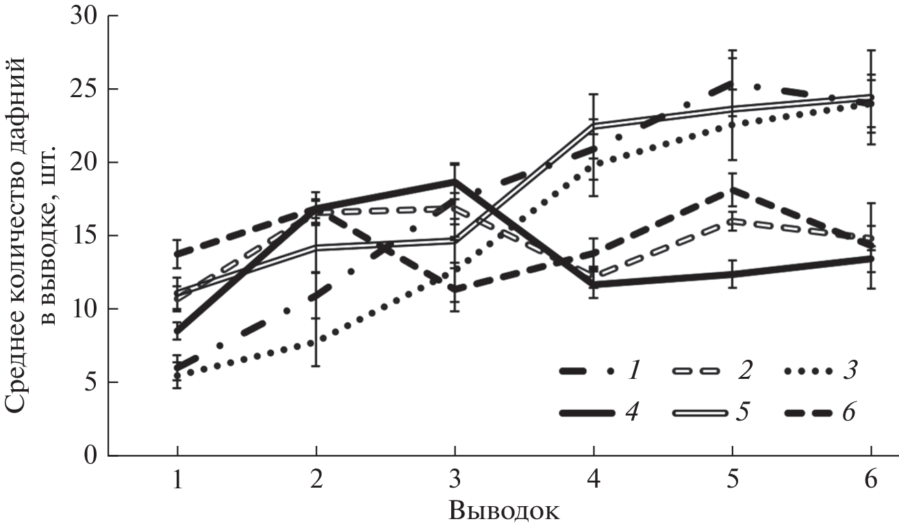
The joint and separate effects of different water salinity (0.5, 1.5, and 3 g/L) and hypomagnetic conditions on freshwater crustaceans of Daphnia magna were studied. A decrease in the magnetic field induction led to a significant decrease in the size of females and the period between broods, an increase in the number of offspring produced, and the body length of offspring in the first brood, followed by a decrease in the number of offspring produced from the fourth to sixth broods. The increase in water salinity to a lesser extent affected the studied parameters. In water with a salinity of 3 g/L, the first offspring appeared later than in other groups and was more numerous. There is a noticeable trend towards an increase in the length of the tail needle with an increase in salinity. The interaction of factors influenced the timing of the appearance of the first brood and the size of the breeding crustaceans. The causes and possible mechanisms for the occurrence of the described effects are discussed.
About the authors
A. A. Sizova
Institute of Biology of Inland Waters, Russian Academy of Sciences
Email: batrakova_a@mail.ru
Yaroslavl oblast, Borok, Russia
D. A. Sizov
Institute of Biology of Inland Waters, Russian Academy of Sciences
Email: batrakova_a@mail.ru
Yaroslavl oblast, Borok, Russia
V. V. Krylov
Institute of Biology of Inland Waters, Russian Academy of Sciences
Author for correspondence.
Email: batrakova_a@mail.ru
Yaroslavl oblast, Borok, Russia
References
- Dutkiewicz S., Scott J.R., Follows M.J. Winners and losers: Ecological and biogeochemical changes in a warming ocean // Glob. Biogeochem. Cycles. 2013. V. 27. P. 463–477. https://doi.org/10.1002/gbc.20042
- Ficke A.D., Myrick C.A., Hansen L.J. Potential impacts of global climate change on freshwater fisheries // Rev. Fish Biol. Fish. 2007. V. 17. P. 581–613.
- Suen J.P., Lai H.N. A salinity projection model for determining impacts of climate change on river ecosystems in Taiwan // J. Hydrol. 2013. V. 493. P. 124–131. https://doi.org/10.1016/j.jhydrol.2013.04.020
- O’Connor M.I., Piehler M.F., Leech D.M. et al. Warming and resource availability shift food web structure and metabolism // PLoS Biol. 2009. V. 7. e1000178. https://doi.org/10.1371/journal.pbio.1000178
- Bideault A., Galiana N., Zelnik Y.R. et al. Thermal mismatches in biological rates determine trophic control and biomass distribution under warming // Glob. Change Biol. 2020. V. 27. P. 257–269. https://doi.org/10.1111/gcb.15395
- David Cunillera-Montcusí, Meryem Beklioğlu, Miguel Cañedo-Argüelles et al. Freshwater salinisation: a research agenda for a saltier world // Trends Ecol. Evol. 2022. V. 37. P. 440-453. https://doi.org/10.1016/j.tree.2021.12.005
- Iqbal K.J., Qureshi N.A., Ashraf M. et al. Effect of different salinity levels on growth and survival of Nile tilapia (Oreochromis niloticus) // J. Anim. Plant. Sci. 2012. V. 22. P. 919–922.
- Jeppesen E., Brucet S., Naselli-Flores L. et al. Ecological impacts of global warming and water abstraction on lakes and reservoirs due to changes in water level and related changes in salinity // Hydrobiologia. 2015. V. 750. P. 201–227. https://doi.org/10.1007/s10750-014-2169-x
- Cande S.C., Kent D.V. Revised calibration of the geomagnetic polarity timescale for the Late Cretaceous and Cenozoic // J. Geophys. Res. 1995. V. 100. P. 6093–6095.
- Valet J.-P., Fournier A. Deciphering records of geomagnetic reversals //Rev. Geophys. 2016. V. 54. P. 410–446. https://doi.org/10.1002/2015RG000506
- Lutz T. The magnetic reversal record is not periodic // Nature. 1985. V. 317. P. 404–407. https://doi.org/10.1038/317404a0
- Cooper A., Turney C.S.M., Palmer J. et al. A global environmental crisis 42000 years ago // Science. 2021. V. 371. P. 811–818.
- Binhi V.N., Prato F.S. Biological effects of the hypomagnetic field: An analytical review of experiments and theories // PLoS One. 2017. V. 12. e0179340.
- Kantserova N.P., Krylov V.V., Lysenko L.A. et al. Effects of hypomagnetic conditions and reversed geomagnetic field on calcium-dependent proteases of invertebrates and fish // Izv. Atmos. Ocean. Phys. 2017. V. 7. P. 719–723.
- Golovanova I.L., Filippov A.A., Krylov V.V. Sensitivity of digestive glycosidases to heavy metals in roach Rutilus rutilus (L.) yearlings: the consequences of hypogeomagnetic conditions during early ontogenesis // Inland Water Biol. 2019. V. 12. P. 104–108.
- Krylov V.V., Bolotovskaya I.V., Osipova E.A. The response of European Daphnia magna Straus and Australian Daphnia carinata King to changes in geomagnetic field // Electromagn. Biol. Med. 2013. V. 32. P. 30–39.
- Peters P.H., De Bernardi R. Daphnia // Mem. Ist. Ital. Idrobiol. 1987. V. 45. P. 502.
- Lagerspetz K. Physiological studies on the brackish water tolerance of some species of Daphnia // Arch. Soc. Zool. Bot. Fenn. Vanamo. 1955. V. 9. P. 138–143.
- Ortells R., Reusch T.B.H., Lampert W. Salinity Tolerance in Daphnia magna characteristics of genotypes hatching from mixed sediments // Oecologia. 2005. V. 143. P. 509–516.
- Bengtsson J. Life histories and interspecific competition between three Daphnia species in rockpools // J. Anim. Ecol. 1986. V. 55. P. 641–655.
- Arner M., Koivisto S. Effects of salinity on metabolism and life history characteristics of Daphnia magna // Hydrobiologia. 1993. V. 259. P. 69–77.
- Garreta-Lara E., Campos B., Barata C. et al. Combined effects of salinity, temperature and hypoxia on Daphnia magna metabolism // Sci. Total. Environ. 2018. V. 610–611. P. 602–612. https://doi.org/10.1016/j.scitotenv.2017.05.190
- Goncalves A.M.M., Castro B.B., Pardal M.A., Goncalves F. Salinity effects on survival and life history of two freshwater cladocerans (Daphnia magna and Daphnia longispina) // Ann. Limnol. Int. J. Lim. 2007. V. 43. P. 13–20.
- Методика измерений количества дафний (Daphnia magna Straus) для определения токсичности питьевых, пресных природных и сточных вод, водных вытяжек из грунтов, почв, осадков сточных вод, отходов производства и потребления методом прямого счета ПНД Ф Т 14.1:2:3:4.12-06 / Т 16.1:2:2.3:3.9-06. М.: Федеральная служба по надзору в сфере природопользования, 2014. 39 с.
- Standard practice for conducting acute toxicity tests with fishes, macroinvertebrates and amphibians. Philadelphia: American Standards for Testing and Materials, 1980. 22 p.
- Буторин Н.В. Экосистема озера Плещеево. Л.: Наука, 1989. 264 с.
- Бикбулатов Э.С., Бикбулатова Е.М., Литвинов А.С., Поддубный С.А. Гидрология и гидрохимия озера Неро. Рыбинск: Рыбинский Дом печати, 2003. 192 с.
- Климатический центр Росгидромета. Сценарные прогнозы на основе глобальных моделей CMIP5 https://cc.voeikovmgo.ru/ru/klimat/izmenenie-klimata-rossii-v-21-veke (ссылка активна 17.01.2023).
- Wan G.J., Jiang S., Zhao Z.-C. et al. Bio-effects of near-zero magnetic fields on the growth, development and reproduction of small brown planthopper, Laodelphax striatellus and brown planthopper, Nilaparvata lugens // J. Insect Physiol. 2014. V. 68. P. 7–15.
- Труханов К.А., Гурьева Т.С., Дадашева О.А. и др. Эмбриогенез японского перепела в гипомагнитных условиях применительно к дальним космическим полетам // Радиационная биология. Радиоэкология. 2014. Т. 54. № 2. С. 179–185. https://doi.org/10.7868/S086980311402012X
- Fesenko E.E., Mezhevikina L.M., Osipenko M.A. et al. Effect of the “zero” magnetic field on early embryogenesis in mice // Electromagn. Biol. Med. 2010. V. 29. P. 1–8. https://doi.org/10.3109/15368371003627290
- Gonçalves A.M.M., Castro B.B., Pardal M.A., Gonçalves F. Salinity effects on survival and life history of two freshwater cladocerans (Daphnia magna and Daphnialongispina) // Ann. Limnol. Int. J. Lim. 2007. V. 43. P. 13–20. https://doi.org/10.1051/limn/2007022
- Martínez-Jerónimo F., Martínez-Jerónimo L. Chronic effect of NaCl salinity on a freshwater strain of Daphnia magna Straus (Crustacea: Cladocera): a demographic study // Ecotoxicol. Environ. Saf. 2007. V. 67. P. 411–416.
- Zadereev E.S., Lopatina T.S., Ovchinnikov S.D. et al. The effect of salinity on the grazing rate and survival of Daphnia magna females adapted to different salinities // Aquat. Ecol. 2022. V. 56. P. 639–652. https://doi.org/10.1007/s10452-021-09941-7
- Arnér M., Koivisto S. Effects of salinity on metabolism and life history characteristics of Daphnia magna // Hydrobiologia. 1993. V. 259. P. 69–77. https://doi.org/10.1007/BF00008373
- Caramujo M.-J., Boavida M.-J. Induction and costs of tail spine elongation in Daphnia hyalina×galeata: reduction of susceptibility to copepod predation // Freshw. Biol. 2000. V. 45. P. 413–423.
- Jacobs J. Untersuchungen zur funktion und evoluton der zyklomorphose bei Daphnia, mit besonderer berücksichtigung der selektion durch fische // Archiv für Hydrobiologie. 1967. Ht 62. S. 467–541.
- Gießler S. Schwimm charakteristiken von Daphnia cucullata und Daphnia hyalina // Diplom-thesis. München: Ludwig-Maximilians-Universität, 1982.
- Хлебович В.В., Аладин Н.В. Фактор солёности в жизни животных // Вестник РАН. 2010. Т. 80. № 5–6. С. 527–532.
- Binhi V.N., Prato F.S. Biological effects of the hypomagnetic field: an analytical review of experiments and theories // PLoS One. 2017. V. 12. e0179340. https://doi.org/10.1371/journal.pone.0179340
- Walker M.M. A model for encoding of magnetic field intensity by magnetite-based magnetoreceptor cells // J. Theor. Biol. 2008. V. 250. P. 85–91.
- Buchachenko A.L. Magnetic field-dependent molecular and chemical processes in biochemistry, genetics and medicine // Russ. Chem. Rev. 2014. V. 83. P. 1–12.
- Бинги В.Н. Первичный физический механизм биологических эффектов слабых магнитных полей // Биофизика. 2016. Т. 61. № 1. С. 201–208.
- Enserink L., Luttmer W., Maas-Diepeveen H. Reproductive strategy of Daphnia magna affects the sensitivity of its progeny in acute toxicity tests // Aquat. Toxicol. 1990. V. 17. P. 15–25.
- Gliwicz Z.M., Guisande C. Family planning in Daphnia: resistance to starvation in offspring born to mothers grown at different food levels // Oecologia. 1992. V. 91. P. 463–467.
- Lampert W. Phenotypic plasticity of the size at first reproduction in Daphnia: the importance of maternal size // Ecology. 1993. V. 74. P. 1455–1466.
- Enserink L., de la Haye M., Maas H. Reproductive strategy of Daphnia magna: implications for chronic toxicity tests // Aquat. Toxicol. 1993. V. 25. P. 111–123.
- Alekseev V., Lampert W. Maternal effects of photoperiod and food level on life history characteristics of the cladoceran Daphnia pulicaria Forbes // Hydrobiologia. 2004. V.526. P. 225–230.
- Krylov V.V., Osipova E.A. The response of Daphnia magna Straus to the long-term action of low-frequency magnetic fields // Ecotoxicology and Environmental Safety. 2013. V. 96. P. 213–219. https://doi.org/10.1016/j.ecoenv.2013.06.012
- Krylov V.V., Osipova E.A. The response of Daphnia magna Straus to long-term exposure to simulated geomagnetic storms // Life Sciences in Space Research. 2019. V. 21. P.83–88. https://doi.org/10.1016/j.lssr.2019.04.004
Supplementary files





