Применение центрифугирования для разделения взвешенных и коллоидных форм химических элементов при анализе речных вод: возможности и ограничения
- Authors: Шулькин В.М.1
-
Affiliations:
- Тихоокеанский институт географии ДВО РАН
- Issue: Vol 51, No 4 (2024)
- Pages: 522-534
- Section: ГИДРОХИМИЯ, ГИДРОБИОЛОГИЯ, ЭКОЛОГИЧЕСКИЕ АСПЕКТЫ
- URL: https://bakhtiniada.ru/0321-0596/article/view/272050
- DOI: https://doi.org/10.31857/S0321059624040123
- EDN: https://elibrary.ru/AOSPMG
- ID: 272050
Cite item
Full Text
Abstract
Показаны возможности использования центрифугирования при сепарации взвешенных форм от растворенных и коллоидных при химическом анализе речных вод на примере рек юга Дальнего Востока РФ. Для характеристики содержания коллоидных и взвешенных частиц в нефильтрованных водах, а также в центрифугатах и фильтратах использован метод динамического рассеяния света (ДРС). Исходя из сравнения интенсивности ДРС в центрифугатах и в фильтратах 0.45 мкм рассчитана нативная плотность пелитовых и крупно-коллоидных частиц речной взвеси, что позволило соотнести режимы центрифугирования с размером осаждающихся частиц в диапазоне от 0.45 до 3 мкм. Химический анализ супернатантов речных вод, полученных при различных режимах центрифугирования, позволил оценить распределение химических элементов между растворенными/коллоидными (< 0.45 мкм), крупно-коллоидными (0.45–1 мкм) и пелитовыми (1–3 мкм) фракциями. Обнаружена значимая линейная связь между интенсивностью ДРС и концентрацией в центрифугатах Fe, Al, Ti, Th, Sc, РЗЭ–химических элементов с высокой долей крупно-коллоидных и взвешенных форм, что подтверждает возможность оценки содержания коллоидных частиц в центрифугатах по интенсивности ДРС. Недостаток центрифугирования – сложность его использования в полевых условиях.
Full Text
ВВЕДЕНИЕ
Разделение взвешенных и растворенных/коллоидных форм нахождения химических элементов и соединений – необходимая процедура химического анализа природных, особенно речных, вод в большинстве стран, включая РФ [3, 4, 25]. Это обусловлено значительной долей взвешенных форм в общем содержании многих химических элементов в речных водах [1, 5]. При этом взвешенные и коллоидные/растворенные формы имеют различную миграционную способность и биодоступность. Качество вод по содержанию многих химических соединений нормируется по концентрации растворенных/коллоидных форм [3].
Наиболее распространенный метод сепарации взвешенных форм от растворенных/коллоидных – фильтрация пробы воды через различные мембраны с размером пор 0.45 или 0.2 мкм. Применение фильтров 0.45 мкм имеет достаточно длинную историю [16], но не имеет строгого научного обоснования, а является результатом договоренности. Все более широкое использование в последнее время фильтров 0.2 мкм обусловлено тем, что эти мембраны задерживают практически все бактерии [13]: таким образом, кроме разделения взвешенных и растворенных/коллоидных форм достигается стерилизация фильтратов. В то же время с точки зрения коллоидной химии граница взвешенных и коллоидных частиц – 1 мкм [10]. Таким образом, в настоящее время часть крупных коллоидов 0.45–1.0 мкм (0.2–1.0 мкм) при фильтрации определяется как взвесь, а концентрация растворенных/коллоидных форм, определяемая в фильтрате, занижается. Однако главный недостаток использования мембранных фильтров 0.45/0.20 мкм в том, что в ходе фильтрации имеет место кольматирование (закупорка) пор и их эффективный диаметр может уменьшаться при этом на порядок и более [17, 19, 23]. Соответственно, будет происходить неконтролируемое занижение концентрации в фильтрате таких элементов, как Fe, Al, Ti и других, для которых характерна достаточно большая роль коллоидных форм (<0.45 мкм) в речных водах [7, 19]. Если не учитывать влияние кольматации, очевидно, что будет наблюдаться смещение оценки качества вод, расчета сорбционных равновесий и геохимических потоков. Для снижения влияния кольматации предлагалось несколько способов: использование капсульных фильтров с высокой фильтрующей способностью [25], смена мембранных фильтров в ходе фильтрации [19], уменьшение объема фильтруемой воды [23].
Альтернативный метод разделения взвешенных и растворенных/коллоидных форм, при котором кольматация отсутствует, – центрифугирование, когда взвешенные частицы осаждаются на дно центрифужных пробирок, а растворенные и коллоидные формы остаются в центрифугате (супернатанте). Условия центрифугирования определяются в соответствии с законом Стокса:
, (1)
где t – время центрифугирования частиц (агрегатов) диаметра D (см) и плотностью dp (г/см3) в воде с плотностью dw = 1.0 г/см3 и динамической вязкостью η = 0.01 мПа*с), угловой скоростью вращения ω (рад/с) и расстояниями от оси вращения до уровня осаждения R1 и до уровня поверхности суспензии R2 [15].
Наиболее часто и успешно для разделения частиц различного размера центрифугирование используется в почвоведении [20, 24]. Поскольку генетически речная взвесь в значительной степени представлена продуктами денудации почвенного покрова, применение центрифугирования для сепарации взвешенных и коллоидных форм химических элементов в речном стоке кажется вполне логичным. Основная трудность при этом связана с отсутствием прямых данных о плотности частиц речной взвеси, которые необходимы для расчета времени и интенсивности центрифугирования. Материал речной взвеси, собранный на мембранах или с помощью проточного центрифугирования из большого объема воды и высушенный при 80–105°С, имеет плотность 2.0–2.5 г/см3 в соответствии со своей преимущественно алюмосиликатной природой. Валовый химический состав взвеси [1, 5] подтверждает ее алюмосиликатную основу с возможной примесью гидроксидов Fe и органического вещества. Однако из данных по плотности высушенного материала не следует, что речная взвесь в нативном состоянии будет иметь ту же плотность. Например, агрегаты, образующиеся при размывании и взмучивании речного ила, имели плотность 1.65 г/см3 [12]. Электронная микроскопия супернатанта после пятичасового центрифугирования речной воды при 4000 об/мин обнаруживает частицы размером ≥0.4 мкм, что авторы объясняли наличием в речной взвеси органоминеральных агрегатов малой плотности [14]. Очевидно, что необходимы независимые методы контроля степени разделения взвешенных и коллоидных частиц центрифугированием. Наиболее мощные и универсальные – разновидности полевого фракционирования в потоке (flow field flow fractionation, FFFF) [15], которые все чаще применяются для изучения распределения химических элементов по всему размерному спектру коллоидных и взвешенных частиц в речных водах [11]. Однако эти методы трудоемки и требуют дорогостоящей аппаратуры. Более простой метод контроля количества коллоидных и взвешенных частиц, остающихся в супернатанте, – динамическое рассеяния света (ДРС) [18]. Метод оценивает флуктуации рассеяния лазерного луча за счет броуновского движения частиц размером 0.001–10.0 мкм, которые зависят в том числе и от размера частиц, что позволяет при определенных условиях рассчитать распределение частиц по размерам. В [14] показано, что в полидисперсных природных водах этот расчет может быть в лучшем случае приблизительным. Тем не менее информация об общей интенсивности ДРС дает представление о содержании коллоидных и взвешенных частиц в воде [26], в том числе в фильтратах и центрифугатах [8]. Предполагаем, что интенсивность ДРС пропорциональна общему содержанию частиц в воде, а капсульные фильтры с размером пор 0.45 мкм, мало подверженные кольматации, обеспечивают эффективное отделение частиц соответствующего размера. В таком случае, приравнивая интенсивность ДРС в фильтрате после капсульного фильтра 0.45 мкм к интенсивности ДРС в супернатанте, можно рассчитать плотность осаждающихся частиц >0.45 мкм и затем соотнести использованные режимы центрифугирования с частицами речной взвеси определенного размера. С использованием такого подхода предполагается охарактеризовать возможности центрифугирования при различных режимах для разделения частиц в диапазонах 0.45–1 мкм и 1–3 мкм, контролируя методом ДРС содержание взвешенных и коллоидных частиц в центрифугатах и фильтратах. Это первая задача данной работы. Вторая задача – оценить распределение химических элементов между тонкой пелитовой взвесью (1–3 мкм), крупными коллоидами (0.45–1 мкм) и растворенными/коллоидными формами (<0.45 мкм) по изменению концентрации элементов в супернатантах, полученных при различных условиях центрифугирования.
МАТЕРИАЛЫ И МЕТОДЫ
Объекты исследований
Для центрифугирования при различных режимах использовались пробы воды, отобранные в нижнем течении р. Раздольной – реки бореальной зоны на юге Приморского края РФ с площадью водосбора 16.8 тыс. км2, средним расходом воды 75 м3/с, средним содержанием взвеси 55 мг/л. Верхняя половина бассейна расположена на территории КНР. Плотность населения колеблется от 30 чел/км2 на территории КНР до 39 чел/км2 в Приморском крае. Практически весь водосбор р. Раздольной активно используется для сельского хозяйства. Кроме того, на берегах реки расположены селитебные зоны, включая третий по величине город Приморского края РФ – г. Уссурийск с населением 180 000 чел. и развитой промышленностью. Соответственно, химический состав вод р. Раздольной характеризуется повышенными концентрациями ряда химических элементов и соединений [2, 6]. Пробы р. Раздольной для центрифугирования при различных режимах отбирали в нижнем течении (п. Тереховка) с сентября по декабрь 2022 г. на фоне постепенного снижения водного стока от муссонного паводка до предзимней межени и соответствующего уменьшения содержания взвеси от 125.7 до 14.2 мг/л. Основные характеристики проб речных вод, использованных для центрифугирования при различных режимах, приведены в табл. 1.
Таблица 1. Гидрохимические параметры проб вод р. Раздольной, использованных для сепарации центрифугированием и фильтрацией (EC – электропроводность, мкС/cм, SS – содержание взвеси, мг/л; pH – pH ед., нитраты – мгN/л, DOC – растворенный органический углерод, хлориды и сульфаты – мг/л)
Проба | Дата | EC | SS | pH | DOC | Cl– | SO42– | N-NO3– |
R223 | 08.09.2022 | 99 | 125.7 | 6.88 | 8.83 | 5.9 | 8.6 | 0.52 |
R224 | 27.10.2022 | 114 | 32.0 | 7.62 | 5.74 | 7.3 | 10.1 | 0.77 |
R225 | 28.11.2022 | 121 | 29.4 | 7.30 | 4.89 | 6.7 | 11.4 | 1.51 |
R226 | 20.12.2022 | 160 | 14.2 | 7.16 | 4.95 | 7.5 | 17.3 | 1.22 |
Кроме того, для характеристики зависимости интенсивности ДРС от количества взвеси в речных водах, а также для сравнения фильтратов через капсульный фильтр 0.45 мкм и супернатантов при наиболее интенсивном режиме центрифугирования (30′ при 4500 об/мин) использовали еще 20 проб из других рек южных районов ДВ РФ (Туманная, Нарва, Амба, Раздольная, Уссури, и Амур) с содержанием взвеси в диапазоне от 4.6 до 450 мг/л, отобранных с октября 2022 г. по апрель 2023 г. Район работ с точками отбора проб представлен на рис. 1а.
Рис. 1. Схема расположения точек отбора проб речной воды, R 223-226 – место отбора проб для центрифугирования при различных режимах (а); схема обработки проб речной воды (б)
Отбор и сепарация проб
Пробы речной воды отбирались с берега в двухлитровую полиэтиленовую емкость, закрепленную на пластиковом шесте. Емкости предварительно отмывали детергентом, замачивали на несколько дней бидистиллированной водой, затем ополаскивали деионизованной водой (18 MΩ) и сушили, а при отборе несколько раз ополаскивали отбираемой водой. Проводимость, температуру, рН измеряли на месте отбора. Пробы упаковывали в пластиковые пакеты и герметичные пластиковые ящики и доставляли в лабораторию в течение нескольких часов.
Общая схема обработки проб приведена на рис. 1б. В лаборатории пробы разделяли на несколько аликвот при интенсивном перемешивании. В исходной необработанной пробе определяли интенсивность ДРС. Вторую аликвоту (0.3–0.4 л) фильтровали через капсульный фильтр “Pall GWV” с размером пор 0.45 мкм, мало подверженный кольматированию из-за большой площади фильтрующей поверхности (700 см2). Параллельную аликвоту 0.5–1.0 л фильтровали через предварительно взвешенные мембранные фильтры “Millipore Durapore” диаметром 47 мм с размером пор 0.45 мкм для определения содержания взвеси гравиметрически [4].
Еще 7 аликвот центрифугировали в 50 мл полипропиленовых пробирках на центрифугах “Elmi” и “Heraus Multifuge” при различных режимах: 5′/1500, 12′/1500, 6′/3000, 10′/3000, 15′/3000, 20′/3500, 30′/4500 об/мин. Центрифужные пробирки, фильтры, фильтровальное оборудование обрабатывали 0.1Н НСl, затем многократно споласкивали деионизованной водой (18 MΩ) и пробой. Все процедуры центрифугирования и фильтрации сопровождались холостыми пробами, т. е. проводили манипуляции с использованием деионизованной воды, которая затем подвергалась химическому анализу как проба.
Отбирали по 5–10 мл центрифугатов (супернатантов) и фильтратов для определения интенсивности ДРС. Оставшуюся часть (40 мл) подкисляли 0.8 мл дважды перегнанной концентрированной HNO3 до рН 1 для последующего определения концентрации химических элементов от Li до U методом ИСП-МС. Кроме того, в центрифугатах 10′/3000 и 30′/4500 об/мин, а также в фильтратах через капсульный фильтр определяли концентрацию растворенного углерода (РОУ, мг/л), сульфатов, хлоридов и нитратов. Анализ ИСП-МС проводился в ЦКП ДВГИ ДВО РАН, все остальные анализы – в ЦКП ЦЛЭДГИС ТИГ ДВО РАН.
Определение интенсивности ДРС
Интенсивность ДРС определяли на приборе “PHOTOCOR Compact Z”. В приборе используется термостабилизируемый полупроводниковый лазер 638 нм с регулируемой мощностью 10–200 мВт и возможностью уменьшения интенсивности рассеянного света (аттенюатор), имеется система термостатирования с точностью 0.1°С и встроенный коррелятор “Photocor FC” с минимальным временем выборки 10 нс. Объем пробы — 1.5–3 мл. Обработка результатов проводилась в программе “DynaLS”. Съемку проводили в кюветах из оптического полиметилметакрилата. Исходные гомогенизированные пробы, а также фильтраты и центрифугаты снимали в двух-трех повторностях. Кроме того, исходные пробы несколько раз переснимали с интервалом от 1–3 дней до 2–3 мес. для оценки возможного дрейфа прибора и процессов необратимой коагуляции в пробах при хранении при 4°С. При параллельных измерениях и хранении изменения интенсивности ДРС были ≤5% от первоначального значения. Использовалась мощность лазера 15 мВт с аттенюатором 1, время накопления сигнала – 3 мин.
Метод ДРС, называемый также фотонной корреляционной спектроскопией (ФКС), основан на анализе вариаций рассеяния света лазера за счет броуновского движения взвешенных и коллоидных частиц. Анализ корреляционной функции этих флуктуаций интенсивности рассеяния позволяет рассчитать коэффициент диффузии дисперсных частиц и затем вычислить “гидродинамический” размер частиц, вызывающих рассеяние [22]. Для монодисперсных систем возможно математически точное определение размера частиц по флуктуациям интенсивности рассеяния. Для полидисперсных систем расчетное распределение частиц по размерам следует рассматривать как ориентировочное [9, 14]. Однако общая интенсивность рассеяния ДРС оказывается пропорциональной содержанию взвеси в исходных речных водах с высоким коэффициентом детерминации (рис. 2), что позволяет использовать величину интенсивности рассеяния ДРС как показатель содержания частиц и в центрифугатах, и в фильтратах [8].
Рис. 2. Интенсивность ДРС (I, cps, counting per sec, имп/с) исходных проб речных вод с различным содержанием взвеси (SS, мг/л), ромбами помечены пробы, использованные для центрифугирования
Определение концентрации химических элементов и соединений в центрифугатах и фильтратах
Центрифугаты (супернатанты) и фильтраты, подкисленные азотной кислотой до рН 1, хранились в холодильнике несколько недель до анализа на приборе “Agilent 7700” (ЦКП ДВГИ ДВО РАН). Проверка правильности результатов осуществлялась регулярным анализом разбавленных стандартов донных отложений BCSS-1 и воды CRM-TMDW-A. Разница с паспортными данными ≤15%. Результаты холостых проб при фильтрации составляли <10 от концентраций, определяемых в пробах для большинства микроэлементов.
Электропроводность как мера общей минерализации измерялась прибором “YSI Pro Plus”. Величину рН измеряли “Hanna HI9126” при отборе с точностью ±0.02 единицы рН. Фильтраты и центрифугаты для анализа РОУ и анионов хранились в холодильнике. РОУ определяли высокотемпературным каталитическим окислением на приборе “Shimadzu TOC-V cpn” с точностью ±5% относительных. Холостые пробы при определении РОУ ≤0.1 мг/л. Анионы SO42–, Cl– и NO3– определяли методом ионной хроматографии на “Shimadzu LC-10” с точностью ±4–5%. Содержание взвеси SS оценивали взвешиванием фильтров до и после фильтрации 500 мл проб воды и сушки при 80°С.
РЕЗУЛЬТАТЫ И ОБСУЖДЕНИЕ
Оценка размера частиц речной взвеси, осаждающихся при различных условиях центрифугирования
Интенсивность ДРС супернатантов закономерно снижалась при увеличении времени и скорости центрифугирования (рис. 3а). Это согласуется с исходной гипотезой о пропорциональности содержания частиц и интенсивности ДРС в речных водах и подтверждает возможность использования центрифугирования для разделения коллоидных и взвешенных частиц. Вместе с тем при большинстве режимов центрифугирования, рассчитанных исходя из плотности частиц 2.5 и 1.65 г/см3, использованных в работах по разделению частиц почв [12, 24], интенсивность ДРС в супернатантах оказалась существенно больше, чем в растворах, полученных после фильтрации через капсульный фильтр 0.45 мкм (рис. 3а). Только при увеличении времени центрифугирования до 30′ при 4500 об/мин интенсивность ДРС в супернатанте становится сравнима с таковой в фильтрате 0.45 мкм (рис. 3б). Это позволяет предположить, что при режиме центрифугирования 30′/4500 об/мин осаждаются все частицы крупнее 0.45 мкм или их большинство.
Рис. 3. Интенсивность ДРС (I, cps) в исходных пробах воды р. Раздольной (susp) и при различных режимах центрифугирования и фильтрации через капсульный фильтр (0.45_GWV), вертикальные линии – стандартное отклонение параллелей и повторов (а); Сравнение интенсивности ДРС (I, cps) в супернатантах, полученных центрифугированием 30′ при 4500 об/мин (CF 0.45), и в фильтратах через капсульные фильтры (GWV 0.45) во всех изученных реках юга ДВ РФ, опробованных с сентября 2022 по май 2023 г. (б)
Тогда в соответствии с формулой (1) плотность частиц речной взвеси при центрифугировании можно рассчитать, и она составит 1.184 г/см3. Столь незначительная объемная плотность указывает на миграцию в речном потоке алюмосиликатной взвеси р. Раздольной в виде агрегатов малой плотности, вероятно, с примесью органического материала. По крайней мере это справедливо для пелитовой составляющей взвеси.
С использованием рассчитанной плотности 1.184 г/см3 оценен по формуле (1) минимальный размер частиц, осаждающихся при использованных режимах центрифугирования: 5′/1500 – 2.96 мкм, 12′/1500 – 1.9 мкм, 6′/3000 – 1.35 мкм, 10′/3000 – 1.0 мкм, 15′/3000 – 0.85 мкм, 20′/3500 – 0.63 мкм, 30′/4500 – 0.45 мкм.
Необходимо отметить, что, хотя интенсивность ДРС супернатантов при центрифугировании в течение 30′ при 4500 об/мин находится на одном уровне с интенсивностью ДРС фильтратов 0.45 мкм, вариации величины интенсивности ДРС в фильтратах и центрифугатах одной и той же пробы достигают 30%. Однако в среднем для вод рек юга ДВ РФ, отобранных с сентября 2022 г. по май 2023 г., интенсивность ДРС в центрифугатах 30′/4500 была лишь на 13.5% меньше, чем в фильтратах через капсульный фильтр 0.45 мкм (рис. 3б).
Более детальный анализ динамики снижения интенсивности ДРС центрифугатов по мере уменьшения диаметра осаждающихся частиц речной взвеси свидетельствует о заметном изменении динамики с уменьшением минимального размера частиц, остающихся в супернатанте (рис. 4). При уменьшении минимального размера осаждающихся частиц от 3 до 1 мкм интенсивность ДРС снижается на 20–30%, однако затем при дальнейшем уменьшении от 1 до 0.45 мкм интенсивность ДРС падает в 3–4 раза, т. е. снижение происходит по логарифмическому закону со значимым коэффициентом детерминации. Если принять, что интенсивность ДРС пропорциональна содержанию частиц, то это значит, что масса фракции 1–3 мкм в изученных пробах воды р. Раздольной заметно меньше, чем фракции 0.45–1.0 мкм.
Рис. 4. Динамика снижения интенсивности ДРС при уменьшении диаметра частиц, остающихся в супернатанте, для проб р. Раздольной с различным содержанием взвеси
В настоящее время отсутствуют надежные и корректные методы определения массы частиц отдельных фракций речной взвеси в пробах объемом 10–50 мл, в которых проводили химический анализ и измеряли интенсивность ДРС. Однако ускоренное уменьшение интенсивности ДРС после центрифугирования фракции <1 мкм, вероятно, указывает на значительную долю крупных коллоидов 0.45–1.0 мкм в составе пелитовой составляющей взвеси р. Раздольной мельче 3 мкм. Кроме этого, очевидно закономерное снижение масштабов уменьшения интенсивности ДРС от пробы R223, отобранной в паводковый период и содержащей 125.7 мг/л взвеси, к пробе R226, отобранной в межень перед ледоставом и содержащей лишь 14.2 мг/л взвеси. В пробе R223 интенсивность ДРС снижается в 5.5 раз при интенсификации центрифугирования, а в пробе R226 – только в 3.7 раза (рис. 4).
Таким образом, изменение интенсивности ДРС супернатантов при увеличении скорости и времени центрифугирования соответствует общей тенденции зависимости интенсивности ДРС от содержания частиц в воде и может быть использовано для характеристики эффективности центрифугирования при разделении крупных коллоидов и взвешенных частиц. Судя по соотношению интенсивности ДРС в центрифугатах и в фильтратах, крупноколлоидная и пелитовая взвесь находится в речной воде в виде агрегатов объемной плотностью 1.184 г/см3. Режим центрифугирования 30′ при 4500 об/мин обеспечивает осаждение взвешенных и коллоидных частиц крупнее 0.45 мкм, а 10′ при 3000 об/мин – крупнее 1 мкм. В водах р. Раздольной, судя по динамике снижения интенсивности ДРС с увеличением скорости центрифугирования, содержание крупных коллоидов (0.45–1.0 мкм) больше, чем пелитового материала (1–3 мкм).
Таким образом, исходя из данных ДРС, центрифугирование речных вод позволяет достаточно корректно разделить фракции <0.45, 0.45–1.0 и 1–3 мкм. Преимущество центрифугирования по сравнению с фильтрацией – отсутствие влияния кольматирования, которое неизбежно при использовании стандартных мембранных фильтров [7]. Недостаток использования центрифугирования для сепарации коллоидных и взвешенных частиц – то, что интенсивность ДРС, по которой определяется эффективность центрифугирования, может быть прямо соотнесена с массовой концентрацией взвешенных частиц только для исходных проб речной воды (рис. 2). Прямое определение массовой концентрации крупных коллоидов и тонкой взвеси в отдельных фракциях, выделенных центрифугированием, не представляется возможным, а интенсивность ДРС – относительная интегральная оценка содержания частиц в воде, зависящая от их и количества, и формы, и распределения по размерам [14]. Кроме того, использование центрифугирования для сепарации проб в полевых условиях на месте отбора менее удобно по сравнению с фильтрацией, а часто просто невозможно.
Изменение химического состава супернатантов при различных режимах центрифугирования
Очевидно, что изменение концентрации химических элементов в супернатантах, полученных при различной интенсивности центрифугирования, будет зависеть от доли взвешенных и крупноколлоидных форм, способных к осаждению, в общем содержании элемента в воде. Если доминируют растворенные ионные формы и комплексы, или мелкие коллоиды, не осаждающиеся при использовавшихся режимах центрифугирования, концентрация химических элементов в супернатантах будет оставаться постоянной. Однако формы, связанные со взвесью (> 1.0 мкм) или крупными коллоидами (0.45–1.0 мкм), будут осаждаться, и концентрация в супернатанте должна уменьшаться с увеличением интенсивности центрифугирования, т. е. с уменьшением размера осаждающихся частиц. Действительно, концентрация в центрифугатах элементов с резким доминированием растворенных ионных форм в речных водах (Na, K, Ca, Mg, B, Sr) не зависит от интенсивности центрифугирования, и это наблюдалось при всех изученных водных режимах для р. Раздольной (рис. 5a, 5б, пример для Na и Sr). Концентрация растворенного органического углерода (РОУ) также не обнаруживает заметного снижения при интенсификации центрифугирования и уменьшения рассчитанного размера осаждаемых частиц от 3 до 0.45 мкм (рис. 5в). Это свидетельствует о нахождении органического углерода в речных водах в растворенных и мелкоколлоидных формах, что подтверждается детальными исследованиями речных вод с использованием ультрафильтрации [21]. Для Мо постоянная концентрация в центрифугатах наблюдается в большинстве случаев, за исключением паводка (R223), когда концентрация Мо снижалась в 1.5 раза при интенсификации центрифугирования (рис. 5г). В то же время для большого числа элементов также с преобладанием растворенных форм в речных водах (Li, Si, Mn, Co, Ni, Cu, As, Se, Rb, Cs, Ba, U), относительно постоянная концентрация в центрифугатах наблюдается, напротив, только для пробы R226, отобранной в предзимнюю межень в декабре при низком содержании взвеси (14.2 мг/л). При повышении содержания взвеси до 29–32 мг/л (R224, 225), особенно в паводок (R223) при количестве взвеси 126 мг/л, имеет место заметное (в 1.6–2.2 раза) снижение концентрации по мере возрастания скорости центрифугирования и уменьшения размера осаждающихся частиц (рис. 5д, 5е, пример для Ni и As). Это свидетельствует о миграции заметной части этих элементов в высокую воду в виде тонкой пелитовой взвеси (1–3 мкм) и крупных коллоидов (0.45–1.0 мкм).
Рис. 5. Изменение концентрации (мкг/л) в центрифугатах c уменьшением минимального размера осаждающихся частиц (CF мкм) для химических элементов (Na, Sr, РОУ, Мо, Ni, As), существующих в речных водах преимущественно в растворенных формах
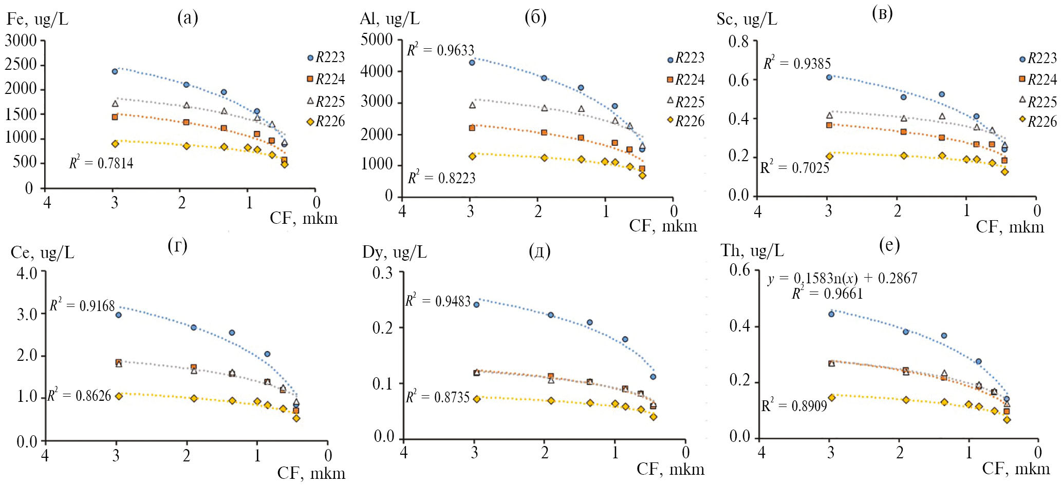
Наиболее выраженное снижение концентрации в супернатантах при интенсификации центрифугирования демонстрируют Fe, Al, Ti, Th, Sc, РЗЭ (рис. 6) – химические элементы, для которых характерна максимальная доля взвешенных и крупно-коллоидных форм при миграции в речных водах [1, 21]. При уменьшении расчетного размера осаждающихся частиц от 3 до 0.45 мкм концентрация этих металлов уменьшается в 2–9 раз для Fe, Al, Ti и в 1.8–6 раз для РЗЭ и других элементов-гидролизатов.
Рис. 6. Изменение концентрации (мкг/л) в центрифугатах c уменьшением минимального размера осаждающихся частиц (CF мкм) для химических элементов с высокой долей взвешенных и крупно-коллоидных форм в речных водах (Fe, Al, Sc, Ce, Dy, Th)
Обращает на себя внимание очевидное сходство темпов уменьшения интенсивности ДРС (рис. 4) и снижения концентрации этих элементов-гидролизатов (рис. 6) в центрифугатах при уменьшении минимального размера осаждающихся частиц. Соответственно, наблюдается значимая положительная линейная связь между концентрацией Fe, Al, Sc, Ce, Dy, Th в центрифугатах и интенсивностью в них ДРС. Связь со значимыми коэффициентами детерминации между концентрацией металлов и интенсивностью ДРС в центрифугатах имеет место и для отдельно взятых проб, и для выборки всех изученных проб, независимо от водного режима (рис. 7). Это подтверждает предположение о контроле концентрации Fe, Al, Th, Sc, РЗЭ в супернатантах содержанием остающихся там при центрифугировании крупных коллоидов (0.45–1.0 мкм) и пелитовой взвеси (1–3 мкм), что в свою очередь отражается на интенсивности ДРС. Кроме того, это – доказательство того, что интенсивность ДРС в центрифугатах пропорциональна содержанию крупных коллоидов и тонкой взвеси, поскольку данные ИСП-МС-анализа – массовые концентрации.
Рис. 7. Зависимость концентрации в центрифугатах от интенсивности ДРС (I, cps/имп/с) для химических элементов (мкг/л) с высокой долей взвешенных и крупно-коллоидных форм (Fe, Al, Sc, Ce, Dy, Th)
Для химических элементов, мигрирующих в речных водах в ионных формах (Na, Sr, Mo), связь концентрации в центрифугатах с интенсивностью ДРС отсутствует, а для элементов с высокой сезонной изменчивостью концентрации (Mn, Cu, As) – наблюдается только в пределах отдельных опробований.
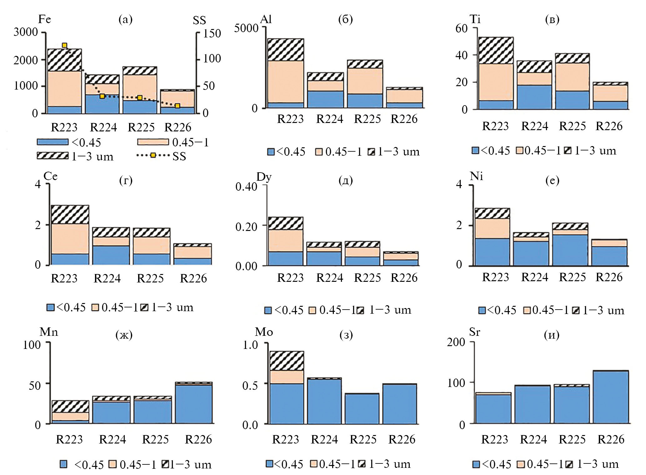
Значимая связь между концентрацией ряда металлов и интенсивностью ДРС в центрифугатах (рис. 7) дает основания считать концентрацию этих химических элементов пропорциональной содержанию коллоидных частиц. Кроме того, устойчивый тренд снижения концентрации при увеличении интенсивности центрифугирования (рис. 5, 6) позволяет рассчитать распределение Fe, Al, Ti, РЗЭ и других элементов-гидролизатов между тонким пелитом (1–3 мкм), крупными коллоидами (0.45–1.0 мкм) и формами <0.45 мкм. Для этого предлагается использовать концентрацию химических элементов в центрифугатах после 30′ при 4500 об/мин (<0.45 мкм), 10′ при 3000 об/мин (1 мкм), и 5′ при 1500 об/мин (3 мкм). Результаты расчета (рис. 8а–8д) подтверждают, что по крайней мере для р. Раздольной доля Fe, Al, Ti, РЗЭ, находящихся в воде в составе крупных коллоидов 0.45–1.0 мкм, часто превышает концентрацию растворенных форм <0.45 мкм. При этом прямая связь между концентрацией и долей крупно-коллоидных форм этих металлов и содержанием взвеси отсутствует. Концентрация этих же металлов в тонко-пелитовых фракциях (1–3 мкм), как правило, меньше, чем в крупно-коллоидных (0.45–1.0 мкм) и растворенных (<0.45 мкм), и в отличие от них, контролируется прежде всего содержанием взвеси в речных водах (рис. 8а, пример для Fe).
Рис. 8. Изменение концентрации (мкг/л) растворенных/коллоидных (0.45 мкм), крупно-коллоидных (0.45–1 мкм), тонко-пелитовых (1–3 мкм) форм некоторых химических элементов в водах р. Раздольной от осеннего паводка (R223) до предзимней межени (R226) на фоне снижения содержания взвеси (SS) от 126 до 14 мг/л (а)
Аналогичный расчет, проведенный для химических элементов с преобладанием растворенных/коллоидных форм <0.45 мкм (рис. 8е–8з), показал, что в межень доля крупно-коллоидных форм ≤20% от общей концентрации форм <3 мкм. Однако в паводки (R223) доля крупно-коллоидных форм Ni, Mo (рис. 8е, 8з), а также Cu, As, Rb (не показаны) повышается до 40–50% от общей концентрации. Наиболее заметно влияние водного режима на распределение Mn: в паводки доли крупно-коллоидных (0.45–1.0 мкм) и тонкопелитовых (1–3 мкм) форм возрастают до 80%, а в межень ≤5% (рис. 8ж). Химические элементы с резким доминированием растворенных форм <0.45 мкм (Na, К, Ca, Mg, B, Sr), характеризующиеся близкой концентрацией в супернатантах, независимо от интенсивности центрифугирования, демонстрируют незначимую долю крупно-коллоидных и тонкопелитовых форм (рис. 8и, пример Sr).
Таким образом, химический анализ супернатантов, полученных при сепарации речных вод центрифугированием c различной интенсивностью, позволяет оценить распределение химических элементов между тонкопелитовыми (1–3 мкм), крупно-коллоидными (0.45–1.0 мкм) и растворенными/коллоидными (<0.45 мкм) фракциями. При этом выделяется три группы элементов. Первая группа – элементы-гидролизаты (Fe, Al, Ti, Th, Sc, РЗЭ), демонстрирующие тяготение к крупно-коллоидным и тонкопелитовым фракциям даже при малом содержании взвеси. Во вторую группу входит большая группа элементов (Li, Si, Mn, Co, Ni, Cu, As, Se, Rb, Cs, Ba, U), разных по своим химическим свойствам, но схожих преобладанием растворенных форм в водах р. Раздольной при большинстве типов водных режимов, за исключением паводков. Доля крупных коллоидов, особенно тонкопелитовой взвеси, в миграции этих элементов зависит от водного режима и содержания взвеси, достигая максимума в паводки. В третью группу входят элементы с доминированием растворенных форм при всех водных режимах (Na, K, Ca, Mg, B, Sr), для которых крупно-коллоидные и тонкопелитовые формы, по данным центрифугирования, не характерны. Особенности распределения химических элементов между фракциями разного размера, по данным центрифугирования, не противоречат результатам, полученным методами каскадной фильтрации [13, 21].
ЗАКЛЮЧЕНИЕ
На основании анализа интенсивности ДРС и химического состава супернатантов и фильтратов показано, что центрифугирование речных вод в течение 30′ при 4500 об/мин отделяет взвесь от растворенных и коллоидных форм <0.45 мкм с эффективностью, близкой к фильтрации через капсульный фильтр 0.45 мкм. Исходя из равенства интенсивности ДРС в центрифугатах и в фильтратах 0.45 мкм рассчитана нативная плотность пелитовых и крупно-коллоидных частиц речной взвеси, что позволило связать режимы центрифугирования с размерами осаждающихся частиц в диапазоне от 0.45 до 3 мкм. Химический анализ супернатантов речных вод, полученных при разных режимах центрифугирования, позволил оценить распределение химических элементов между растворенными/коллоидными (<0.45 мкм), крупно-коллоидными (0.45–1.0 мкм) и тонкими пелитовыми (1–3 мкм) фракциями. Показано, что в изученных речных водах р. Раздольной концентрация крупно-коллоидных (0.45–1.0 мкм) форм элементов-гидролизатов (Fe, Al, Ti, Th, Sc, РЗЭ), как правило, превышает концентрацию и растворенных/коллоидных форм <0.45 мкм, и фракций 1–3 мкм. Обнаружена значимая линейная связь между интенсивностью ДРС и концентрацией в центрифугатах Fe, Al, Ti, Th, Sc, РЗЭ – химических элементов с высокой долей крупно-коллоидных и взвешенных форм, что подтверждает возможность оценки содержания коллоидных частиц в центрифугатах по интенсивности ДРС. Недостаток центрифугирования – сложность его использования в полевых условиях.
About the authors
В. М. Шулькин
Тихоокеанский институт географии ДВО РАН
Author for correspondence.
Email: shulkin@tigdvo.ru
Russian Federation, Владивосток
References
- Гордеев В.В., Лисицын А.П. Геохимическое взаимодействие пресноводной и морской гидросфер // Геология и геофизика. 2014. Т. 55. № 5–6. С. 721–744.
- Михайлик Т.А., Тищенко П.Я., Колтунов А.М., Тищенко П.П., Швецова М.Г. Влияние реки Раздольной на экологическое состояние вод Амурского залива (Японское море) // Вод. ресурсы. 2011. № 4. С. 474–484.
- РД 52.24.353-2012 Отбор проб поверхностных вод суши и очищенных сточных вод. М.: Росгидромет, ГХИ, 2012. 35 с
- РД 52.24.468-2019 Массовая концентрация взвешенных веществ и сухого остатка в водах. М.: Росгидромет, ГХИ, 2019. 23 с
- Савенко В.С. Химический состав взвешенных наносов рек мира. М.: ГЕОС, 2006. 175 с.
- Шулькин В.М., Богданова Н.Н., Перепелятников Л.В. Пространственно-временная изменчивость химического состава речных вод юга Дальнего Востока РФ // Вод. ресурсы. 2009. № 4. С. 1–12.
- Шулькин В.М., Богданова Н.Н., Еловский Е.В. Влияние кольматирования фильтров на определение концентрации истинно-растворенных и коллоидных форм миграции химических элементов в речных водах // Вод. ресурсы. 2022. Т. 49. № 1. С. 91–102. doi: 10.31857/S0321059622010163
- Шулькин В.М. Использование метода динамического рассеяния света для оценки эффективности разделения взвешенных и коллоидных частиц речных вод фильтрацией и центрифугированием // Изв. Томского политех. ун-та. Инжиниринг георесурсов. 2023. Т. 334. № 10. С. 88–97.
- Bhattacharjee S. DLS and zeta potential – What they are and what they are not // J. Controlled Release. 2016. V. 235. P. 337–351.
- Buffle J., Wilkinson K.J., Stoll S., Filella M., Zhang J. A generalized description of aquatic colloidal interactions: the three-colloidal component approach // Environ. Sci. Technol. 1998. 32. Р. 2887–2899.
- Cuss C.W., Donner M.W., Grant-Weaver I., Noernberg T., Pelletier R., Sinnatamby R.N., Shotyk W. Measuring the distribution of trace elements amongst dissolved colloidal species as a fingerprint for the contribution of tributaries to large boreal rivers // Sci. Total Environ. 2018. V. 642. P. 1242–1251.
- Droppo I.G., Nackaerts K., Walling D.E., Williamset N. Can flocs and water stable soil aggregates be differentiated within fluvial systems? // Catena. 2005. V. 60. P. 1–18.
- Drozdova O.Yu., Aleshina A.R., Tikhonov V.V., Lapitskiy S.A., Pokrovsky O.S. Coagulation of organo-mineral colloids and formation of low molecular weight organic and metal complexes in boreal humic river water under UV-irradiation // Chemosphere. 2020. 250. 126216. https://doi.org/10.1016/j.chemosphere.2020.126216
- Filella M., Zhang J., Newman M.E., Buffle J. Analytical applications of photon correlation spectroscopy for size distribution measurements of natural colloidal suspensions: capabilities and limitations // Colloids Surfaces A. Physiсochem. Eng. Aspects. 1997. V. 120. P. 27–46.
- Gimbert L.J., Haygarth P.M., Beckett R., Worsfold P.J. Comparison of centrifugation and filtration techniques for the size fractionation of colloidal material in soil suspensions using sedimentation field-flow fractionation // Environ. Sci. Technol. 2005. V. 39. № 6. P. 1731–1735.
- Goldberg E. D., Baker M., Fox D. L. Microfiltration in oceanographic research // J. Mar. Res. 1952. V. 11. P. 194–203.
- Horowitz A.J., Lum K.R., Garbarino J.R., Hall G.E.M., Lemieux C., Demas C.R. Problems associated with using filtration to define dissolved trace element concentrations in natural water samples // Environ. Sci.Technol. 1996. V. 30. 954.
- Langevina D., Raspauda E., Mariota S. Towards reproducible measurement of nanoparticle size using dynamic light scattering: Important controls and considerations // NanoImpact. 2018. V. 10. P. 161–167.
- Morrison M., Benoit G., Filtration artifacts caused by overloading membrane filters // Environ. Sci. Technol. 2001. V. 35. P. 3774–3779.
- Nguen D. N., Grybos M., Rabiet M., Deluchat V. How do colloid separation and sediment storage methods affect water mobilizable colloids and phosphorus? An insight into dam reservoir sediment // Colloids and Surfaces A: Physicochemical and Engineering Aspects. 2020. V. 606. P. 125505.
- Pokrovsky O.S., Schott J. Iron colloids/organic matter associated transport of major and trace elements in small boreal rivers and their estuaries (NW Russia) // Chem. Geol. 2002. V. 190. P. 141–179.
- Schmitz K.S. An Introduction to Dynamic Light Scattering by Macromolecules. Boston: Acad. Press, 1990. 472 p.
- Shiller A.M. Syringe filtration methods for examining dissolved and colloidal trace element distributions in remote field locations // Environ. Sci. Technol. 2003. V. 37. P. 3953–3957.
- Tang Z., Wu L., Luo Y., Christie P. Size fractionation and characterization of nanocolloidal particles in soils // Environ. Geochem. Health. 2009. V. 31. P. 1–10. doi: 10.1007/s10653-008-9131-7
- Wilde F.D., Radtke D.B., Gibs Jacob, Iwatsubo R.T. Processing of water samples (ver. 2.2). U.S. Geological Survey Techniques of Water-Resources Investigations. 2004 with updates through 2009. Book 9. Chap. A5. April 2004. 2015. http://pubs.water.usgs.gov/twri9A5
- Xu. R. Light scattering: A review of particle characterization applications // Particuol. 2015. V. 18. P. 11–21.
Supplementary files










