Ионный состав генетических типов природных вод речных бассейнов Горного Крыма
- Authors: Губарева Т.С.1, Амеличев Г.Н.1,2, Гарцман Б.И.1,3, Токарев С.В.1,2, Хрусталева Л.И.1, Морейдо В.М.1
-
Affiliations:
- Институт водных проблем РАН
- Крымский федеральный университет им. В.И. Вернадского
- Институт природно-технических систем
- Issue: Vol 51, No 4 (2024)
- Pages: 506-521
- Section: ГИДРОХИМИЯ, ГИДРОБИОЛОГИЯ, ЭКОЛОГИЧЕСКИЕ АСПЕКТЫ
- URL: https://bakhtiniada.ru/0321-0596/article/view/272047
- DOI: https://doi.org/10.31857/S0321059624040115
- EDN: https://elibrary.ru/APDTFY
- ID: 272047
Cite item
Full Text
Abstract
Представлены результаты обобщения натурных исследований ионного состава природных вод речных бассейнов Горного Крыма, полученные в ходе гидролого-гидрохимических экспедиционных съемок 2021–2022 гг. Оценены границы водосборов и области их питания, выделено пять основных типов вод, циркулирующих в речных бассейнах. Выявлены основные закономерности изменения концентраций ионов в воде с изменением стока в замыкающих створах рек Кучук-Узенбаш и Тонас и карстовых водоносных систем – источников Карстовый, Аян и пещеры Красной. Типизация подземных родниковых вод по химическому составу и высотному положению их разгрузки на поверхность водосборов демонстрирует их вертикальную гидрохимическую зональность в масштабе малого речного бассейна.
Full Text
ВВЕДЕНИЕ
Значительную долю территорий на Крымском п-ове занимают подстилающие карстующиеся породы, а речной сток формируется преимущественно карстовыми водоносными системами (КВС). КВС содержат воды высокого природного качества и являются основой водоснабжения населения городов. Однако их гидрологические/гидрогеологические особенности приводят к их высокой уязвимости к загрязнению, что требует особых подходов к охране и использованию КВС.
Формирование химического состава вод Горного Крыма под влиянием карста и при слабой антропогенной нагрузке остается слабо изученным. Результаты первого широкого исследования гидрогеологических условий закарстованных бассейнов опубликованы Н.В. Рухловым в 1915 г. [16]. Фундаментальное исследование гидрохимической зональности подземных вод Горного Крыма выполнено Ю.И. Шутовым [21]. Наиболее системное изложение представлений о процессах формирования химического состава подземных и поверхностных вод предгорного Крыма представлено Е.П. Каюковой [11, 12]. Частные вопросы формирования геохимического (в том числе изотопного) состава природных вод в региональном масштабе освещены в [9, 14, 15, 17].
В 2021–2022 гг. выполнялись экспедиционные гидролого-гидрохимические съемки на малых речных бассейнах Горного Крыма в рамках исследования формирования стока рек и КВС в разнообразных ландшафтных условиях. Химический состав природных вод в различных звеньях наземного водного цикла характеризуется пространственно-временной вариабельностью и подвержен значительной трансформации на всех этапах – от выпадения атмосферных осадков до разгрузки подземных вод – и отражает их совокупный эффект. Цель статьи – систематизация уникального материала натурных наблюдений для целостного представления режима формирования качества вод в закарстованных бассейнах.
Эта работа – часть широкого исследования процессов и механизмов формирования стока в условиях их высокой закарстованности на примере экспериментальных бассейнов с применением природных химических трассеров и геохимической модели смешения. Результаты систематизации данных химического состава речных вод, вод КВС, разнообразных видов подземных вод и других водопроявлений на водосборах позволят на качественно новом уровне решать задачи моделирования – обоснование консервативных трассеров, установление потенциальных источников питания речного стока и их количественную оценку.
ОПИСАНИЕ ОБЪЕКТОВ ИССЛЕДОВАНИЙ
Водосбор р. Кучук-Узенбаш
Река Кучук-Узенбаш – левая составляющая верховьев р. Бельбек, протекает по территории северных склонов Ялтинского массива Главной гряды (рис. 1). Площадь водосбора в створе г/п с. Многоречье – 11.3 км2. Бассейн имеет вид горного амфитеатра, отметки высот главных водораздельных вершин превышают 1000 м. Речная сеть в пределах яйлы полностью отсутствует, атмосферные осадки здесь полностью инфильтруются и питают подземный (карстовый) сток. Истоки реки – многочисленные родники, образующие ручьи в днищах трех глубоких балок правого борта долины (балки Бурма, Джевызлык, Тюллюк).
Рис. 1. Картосхемы исследуемых водосборов. Общий вид (а), бассейны: р. Тонас (б), КВС Краснопещерная (в), р. Кучук-Узенбаш и КВС Карстовый (г), КВС р. Аян (д). Источники: 1 – крупные, 2 – мелкие, 3 – скважины; элементы рельефа: 4 – карстовые полости, 7 – ходы крупных карстовых пещер; измерительная сеть: 5 – гидрологические створы (I – р. Кучук-Узенбаш – с. Многоречье, II – Карстовый приток – с. Многоречье, III – р. Тонас – створ Птичий, IV – р. Тонас – замыкающий; V – р. Кизилкобинка – контрольный створ; VI – р. Аян – бетонный мостик), 6 – метеостанции (М – Многоречье, О – Ольмесхыр, К – Караби, КП – Краснопещерная, Ч – Чатырдаг); границы: 8 – распространения верхнеюрских карбонатных пород, 9 – водосборов. Нумерация родников (арабские цифры) приведена в соответствии с названиями источников в табл. 3
В пределах водосбора располагаются два крупных источника – родник Тюллюк в верховьях и Карстовый источник, впадающий в реку в 250 м ниже г/п р. Кучук-Узенбаш–Многоречье. Постоянно действующий Карстовый источник приурочен к зоне дробления тектонического нарушения. Площадь его водосбора оценена по результатам трассерных экспериментов [8, 20, 22], геологической карте [6] и ЦМР и составляет 11 км2. Водосбор занимает части плато Ялтинского массива с высотными отметками 1200–1350 м и его северного склона с балками Ханлы-Дере и Аллабуханы. Питание карстовых вод происходит за счет инфильтрации через почву и эпикарст, а также путем инфлюации поверхностных водотоков в балках [20, 22]. Склоны в пределах водосбора покрыты буковым лесом, в нижней части представлены сосновыми насаждениями.
В геологическом строении водосбора можно выделить два структурных этажа, сложенных разновозрастными породами различного литологического состава. Нижний этаж сложен породами таврической серии верхнетриасового и нижнеюрского возраста, а также породами средней юры. Таврическая серия представлена мощным комплексом терригенных флишевых и флишоидных отложений, состоящих из ритмично чередующихся аргиллитов, кварцевых плотных алевролитов и песчаников. На размытой поверхности дислоцированных пород таврической серии с резким несогласием залегают песчано-глинистые отложения средней юры. В литологическом отношении эти отложения схожи с породами таврической серии. Породы средней юры вскрыты эрозионным врезом р. Кучук-Узенбаш ниже с. Многоречье. В гидрогеологическом отношении нижний структурный этаж представляет собой водоупорный цоколь, подстилающий водоносные карбонатные породы верхнего структурного этажа.
Верхний этаж сложен верхнеюрскими отложениями и стратиграфически представлен оксфордским, кимериджским и титонским ярусами. В литологическом отношении превалируют известняки (от массивных рифовых до тонкоплитчатых и мергелистых). В оксфордском ярусе (нижняя часть верхнеюрского комплекса) выделяется горизонт полимиктовых и известняковых конгломератов, достигающий на северном склоне массива мощности 120 м [10]. Суммарная мощность верхнеюрской толщи в пределах Ялтинского массива колеблется от первых сотен метров на северном и южном склонах до 1000 м в осевой части.
Водосбор р. Тонас
Верхняя часть водосбора р. Тонас располагается к востоку от Карабийского горно-карстового массива (Центрально-яйлинский горный район), орографически отделяет его от структурно-денудационных эрозионных низкогорий Восточно-Крымского горного района [5]. Граница водосбора на юге проходит по главному водоразделу Крымских гор, включая ряд возвышенностей и скальных пиков с высотными отметками ≥1000 м (рис. 1). Исток реки – безымянный ручей, берущий начало у перевала Каллистон-Богаз. Река имеет два относительно крупных притока: слева р. Бай-Су, справа р. Кокасан-Узень. Площадь экспериментального водосбора до замыкающего створа с высотной отметкой 490 м составляет 10.5 км2.
Выделение границ водосбора по водораздельным линиям обосновано преимущественным распространением на восточном склоне Карабийского массива титонского флиша, описанного в [3], в составе которого преобладают слабопроницаемые отложения, исключающие подземные перетоки в соседние водосборы. Встречающиеся на склонах экспериментального водосбора выходы брекчиевидного известняка представляют собой гравигенные смещенные массивы (олистолиты), отколовшиеся от восточного края карстового плато и оползшие [23]. Западную часть водосбора слагают толщи ритмично переслоенных зеленовато-серых алевритистых глин с прослоями мелкообломочных известняков, сменяющиеся к восточной части водосбора глинами с прослоями сидеритов титонского и берриасского возраста. Господство слабопроницаемых и легко эродируемых отложений и относительно высокий фон атмосферных осадков обеспечили сравнительно высокую водность реки и ее притоков и развитие овражно-балочной сети, почти достигающей бровки карстового плато.
Водосбор КВС Красной пещеры
Река Кизилкобинка (Краснопещерная) представляет собой нижнюю, выходящую на поверхность часть “подземной реки”, протекающей в Красной пещере и дренирующей центральные участки Долгоруковского карстового массива (рис. 1). В низовьях она принимает притоки карстовых источников Грифон и Алешина вода. В свою очередь, “подземная река” Красной пещеры в значительной степени сформирована за счет поглощения поверхностного водотока – р. Суботхан, протекающей в верхней части наклонного плато Долгоруковского массива на высотах 900–1050 м. Суммарная площадь поверхностных и подземных частей водосбора р. Кизилкобинка в замыкающем створе с абсолютной отметкой 460 м составляет 15.3 км2.
Горные породы верховьев водосбора представлены чередованием полимиктовых песчаников и конгломератов (нерастворимые отложения), которые ближе к области поглощения стока р. Суботхан сменяются мергелями и глинистыми известняками кимериджского яруса верхней юры (переслаивание нерастворимых и растворимых отложений).
У контакта с хорошо проницаемыми и растворимыми известняками нижнего титона начинается подземная часть водосбора. Здесь у пещеры Провал и на расстоянии до 1 км к северу происходит полное поглощение речных вод. Как установлено в ходе трассирования, поглощенные воды подземным путем направляются в сторону пещеры Красной [7]. Восточная граница подземного водосбора Красной пещеры проходит в 1.5 км к северу от Провала, близко совпадая с Галбашским гребнем, разделяющим Калан-Баирскую и Базар-Обинскую котловины. Северо-восточная граница подземного водосбора также совпадает с Галбашским гребнем, что подтверждается паводком на притоке Клоаке, вызванным ливнем к востоку от г. Базар-Оба (по устному сообщению спелеологов). Открытие притока Голубиной пещеры и связи его водности с атмосферными осадками позволили локализовать северную границу подземного водосбора на плато Долгоруковского массива. Включение в состав Красной пещеры обводненной ветки Университетской присоединяет к подземному водосбору участки левобережья балки Матуба на западном склоне Долгоруковского массива.
Водосбор КВС источника Аян
Водосбор источника Аян расположен на левобережье верховий долины р. Салгир в пределах горно-карстового массива Чатырдаг (рис. 1). Источник Аян (Аянский) – один из крупнейших в Крыму. Его водосборная площадь, по оценкам [1, 4, 18], составляет от 50 до 80% общей площади массива, включая все нижнее плато и северную часть верхнего. Западная и северная границы водосбора – тектонический сброс, отделяющий Чатырдаг от Суатского блока на западе и контролирующий заложение балок Чумнох, Тас-Кор и Аянской на севере. Восточная граница проводится по бровке нижнего плато, исключая блок Курт-Баир. В южную периферию водосбора входят крайние северные котловины верхнего плато. Суммарная площадь водосбора до замыкающего створа составляет 22.8 км2.
В геологическом отношении массив имеет цокольное строение. Его сложенная известняками верхнеюрская водоносная толща приподнята по отношению к окружающим по периферии слабопроницаемым породам таврической серии и мела и наклонена на северо-запад. Это исключает перетоки из соседних с массивом водосборов и определяет местное исключительно атмосферное питание. Большой перепад высот между областями питания и разгрузки, совпадение уклонов макросклона и слоев известняков с направлением подземного стока обеспечивает относительно высокую динамику карстовых вод. В условиях высокой канализованности потоков, их ограниченной пропускной способности из-за экранированности водоупорными толщами и, как следствие, концентрации в виде единого фокуса разгрузки в наиболее ослабленной зоне Аян приобретает черты воклюзского источника, для которого характерны напорная циркуляция вод, положение во фреатический (эпифреатической) гидродинамической зоне, формирование лабиринтовой системы водопроводящих каналов. Все эти особенности в целом обеспечивают Аянскому источнику высокую водность.
Воднобалансовые исследования
Детальные воднобалансовые исследования выполнялись на развернутой наблюдательной сети (рис. 1). Атмосферные осадки и другие метеохарактеристики регистрировались автоматическими станциями Davis Vantage Pro2 в пунктах наблюдений: Многоречье (509 м в.у.м.), Ольмесхыр (1190 м), Караби-Яйла (1006 м), Кизил-Коба (480 м) и Чатырдаг (1030 м).
Наблюдения за стоком были организованы на шести створах (рис. 1), оборудованных автоматическими логгерами “Onset Hobo”, фиксирующими уровни, температуру (“U20-001”) и электропроводность (“U24-001”) воды с шагом записи 15 мин. Измерение расходов осуществлялось при помощи электромагнитного измерителя скорости “Посейдон-1”. В отдельных случаях расходы потоков определялись методом ионного паводка, а дебиты родников – объемным методом. Частота измерений на реках и родниках составляла 2–4 раза в месяц в зависимости от фазы водности.
Методы геохимических исследований
Гидрохимическая съемка включала в себя отбор проб речных вод и вод КВС одновременно с измерением расходов воды в замыкающих гидрологических створах, а также отбор проб различных водопроявлений (атмосферных, подземных родниковых вод, вод скважин, колодцев, склоновых потоков и др.) в бассейнах. В общей сложности за два года выполнено 17 съемок (общее число проб 570), которые освещают основные фазы водного режима зоны формирования стока в рамках годичного цикла: 1) меженный сток (лето–осень); 2) летние дождевые паводки; 3) зимние паводки смешанного генезиса (с участием снеготаяния). Для исследования динамики в рамках синоптического и суточного цикла были организованы учащенные отборы проб в гидрологических створах бассейна р. Кучук-Узенбаш. Для ежечасного отбора проб использовался автоматический пробоотборник “WaterSam”. Атмосферные и склоновые воды отбирались выборочно: пробы снега – в исследуемых бассейнах, дождевые – из дождемера “Hellmann” вблизи г. Симферополя, склоновые – во время их возникновения.
Параметры воды pH, температура Т, электропроводность E, окислительно-восстановительный потенциал Eh измерялись in situ с помощью зонда “HANNA HI98195”. Концентрации HCO3– определялись в нефильтрованных пробах потенциометрическим титрованием не позднее 4–6 ч после отбора с помощью рН-метра “Metler-Toledo”, а также стандартным титриметрическим методом в лабораторных условиях. Диапазон определения (ДО) концентрации HCO3– приведен согласно методике определения общей щелочности. ДО общей щелочности составляет 0.2–20 ммоль/дм3, точность определения δ = ±15%. Перманганатная окисляемость (ПО) определяется титриметрическим методом в нефильтрованных пробах с перманганатом калия в кислой среде; ее ДО составляет 0.25–100 мг/л, в диапазоне концентраций 0.25–2 мг/л δ = ±20%, при концентрации >2 мг/л δ = ±10%. Растворенный кремний Si определялся фотометрическим методом с молибдатом аммония; ДО – 0.5–15 мг/л, δ = ±(0.08 + 0.085⋅[Si]). Концентрация SO42– определялась турбидиметрическим методом; ДО – 2–40 мг/л; в диапазоне концентрации <5 мг/л δ = ±0.8, при >5 мг/л δ = ±(0.1+0.12⋅[SO42–]). Концентрация Ca2+ и общая жесткость воды определялись титриметрическими методами. Для Ca2+ ДО – 1–2000 мг/л, в диапазоне концентраций 2–10 мг/л δ = ±5%, при >10 мг/л – δ = ±11%. Концентрация Mg2+ определялась расчетным методом. Концентрации Na+, K+ определялись потенциометрическим методом с помощью ионоселективных электродов типа “ЭКОМ-К”. Для К+ ДО составляет 0.391–39100 мг/л, при концентрации <19.55 мг/л δ = ±20%, при >19.55 мг/л δ =± 10%. ДО концентрации Na+ – 2.3–2300 мг/л, при концентрации Na+ <115 мг/л δ = ±15%, при >115 мг/л δ = ±10%. Концентрация NO3– определялась фотометрическим методом с салициловой кислотой; ДО – 0.1–100 мг/л, в диапазоне концентраций 0.1–3 мг/л δ = ±9%. Массовая концентрация Cl- определялась аргентометрическим методом; ДО – 5–10000 мг/л, в диапазоне концентраций 10–25 мг/л δ = ±7%, при >25–50 мг/л δ = ±5%. Химические анализы выполнены в лаборатории Иваньковской НИС ИВП РАН.
РЕЗУЛЬТАТЫ И ОБСУЖДЕНИЯ
Атмосферные воды
Положение водосборов на северном макросклоне Главной гряды Крыма у ее водораздельной части обусловило высокие фоновые показатели увлажненности. За период работ максимальные суммы осадков зафиксированы в июне 2021 г. – 341 мм (метеостанция Ай-Петри), в июне 2022 г. – 261 мм (Караби; рис. 2).
Рис. 2. Внутригодовое распределение месячных сумм осадков (X) и среднемесячной температуры воздуха (tср) по данным метеостанций: 1 – Ольмесхыр (cуммы осадков в период XII–III занижены), 2 – Многоречье, 3 – Караби (с IV/ 2022)
Атмосферные осадки, отобранные в виде дождя и снега, – ультрапресные (минерализация 17–31 мг/л), хлоридно-гидрокарбонатные, преимущественно магниево-кальциевые, реакция среды – от слабокислой до нейтральной (рН 5.70–7.30). Содержание всех макрокомпонентов определяется на уровне концентраций пределов их обнаружения. Содержание растворенного Si – 0.22 мг/л. Среднее значение ПО – 0.96 мгО2/л. Формула Курлова для объединенной выборки атмосферных осадков (19 проб) имеет следующий вид:
.
Выявлены некоторые различия между дождевыми и снеговыми водами. В дождевых водах содержание SO42– (17%-экв.) и NO3– (10%-экв.) несколько выше, чем в снеге (11 и 7%-экв. соответственно). Содержание Cl- в снеговых пробах достигает 37%-экв., тогда как в дождевых – 27%-экв. Также заметна разница содержания ионов Mg2+ – в снеговых пробах до 47%-экв., в дождевых – 33%-экв.
Речные воды
Химический состав речных вод определяется комплексом ландшафтных факторов, среди которых ключевые – литология горных пород и характер выпадающих атмосферных осадков. Доминирующее распространение в водосборе Кучук-Узенбаша имеют известняки, а в бассейне Тонас – терригенно-карбонатные отложения. При контакте породообразующих минералов со слабоминерализованными атмосферными водами в присутствии CO2 идет процесс растворения известняков, растет минерализация вод (преимущественно за счет роста HCO3– и Ca2+) и рН.
Период повышенной водности на реках приходится на зимний период, в летне-осенний период наблюдается низкий сток, нарушаемый дождевыми паводками. Диапазон измеренных расходов воды в 2022 г. с января по март на р. Кучук-Узенбаш составил 0.1–1 м3/с, а наиболее низкие расходы в октябре–ноябре едва превышали 2 л/с; на р. Тонас – 0.06–0.32 м3/с вплоть до полного прекращения стока в замыкающем створе в 2022 г.
Экстраординарный летний паводок проходил в июне 2021 г. на р. Кучук-Узенбаш, расход 18 июня был оценен в 7.03 м3/с при измерении скорости воды поплавковым методом. На эту же дату расход р. Тонас в замыкающем створе составил 1.18 м3/с. В июне 2022 г., наоборот, обильные осадки пришлись на центральные районы полуострова, что вызвало экстраординарные паводки на р. Тонас, р. Кизил-Кобинке (25 м3/с), Аяне (14 м3/с). На р. Тонас были фиксированы значительные деформации русла реки, а действовавший наблюдательный створ был разрушен и полностью занесен аллювием. Паводок на р. Кучук-Узенбаш проходил в спокойном режиме, расход составил 0.5 м3/с.
Химический состав речных вод по фазам водного режима приведен в табл. 1.
Таблица 1. Химический состав речных вод (n – число проб в выборке)
Фаза водного режима / показатель | р. Кучук-Узенбаш | р. Тонас | ||||
Межень <2* n 10 | Летний паводок 3–700 n 10 | Зимний паводок 4–150 n 13 | Межень <1 n 9 | Летний паводок 2–25 n 5 | Зимний паводок 2–45 n 9 | |
рН | 7.69–8.09 7.87 | 7.81–8.39 7.98 | 7.68–8.19 7.97 | 7.89–8.24 8.03 | 7.86–8.36 8.06 | 7.84–8.26 8.11 |
Е, мкСм/см | 427–511 488 | 340–488 421 | 387–438 414 | 452–523 481 | 452–476 458 | 400–465 433 |
T, °С | 8.2-10.6 | 8.5-10.9 | 5.7-9.1 | 6.9–16.2 | 12.9–15.2 | 0–8.3 |
ПО, мг О2/л | 0.16–0.71 0.41 | 0.16–5.70 1.55 | 0.40–2.20 1.06 | 0.41–1.70 1.07 | 1.10–3.10 1.62 | 1.50–4.3 2.40 |
мг/л | ||||||
Si | 2.13–2.90 2.54 | 0.90–2.99 2.22 | 1.20–2.30 1.92 | 2.72–3.70 3.35 | 3.38–3.90 3.73 | 2.2–3.1 3.00 |
HCO3 | 238–305 288 | 219–274 248 | 244–274 255 | 250–317 277 | 238–298 268 | 238–286 262 |
SO4 | 20.9–50.7 33.66 | 14.6–32.3 25.1 | 12.4–27.0 23.6 | 23–37.3 28.9 | 21.9–26.7 23.7 | 10.6–35.1 23.1 |
Cl | 5.90–8.80 6.91 | 2.90–8.80 5.70 | 4.48–8.70 6.15 | 8.88–12.6 11.0 | 7.20–12.2 10.7 | 6.8–8.96 7.79 |
NO3 | 1.50–3.40 1.94 | 0.90–4.60 2.09 | 0.18–7.20 2.61 | 0.43–7.86 1.98 | 1.60-3.10 2.00 | 0.38–2.50 1.67 |
Ca | 54.8–77.8 67.9 | 38.9–66.3 59.4 | 57.5–72.1 64.3 | 57.7–88.2 74.5 | 66.5–78.2 71.5 | 57.5–79.9 69.1 |
Mg | 20.1–38.3 29.4 | 12.4–34.2 24.4 | 11.5–35.5 19.9 | 6.56–35.9 22.0 | 8.75–26 19.3 | 6.93–30 20.7 |
Na | 2.30–6.30 3.51 | <2.3–4.70 2.67 | <2.3–2.76 <2.3 | 4.80–6.50 5.88 | 3.20–6.10 4.38 | 2.7–5.6 4.2 |
K | <0.39–2.40 1.29 | <0.39–2.00 0.41 | <0.39–2.56 0.72 | 0.43–3.40 1.80 | <0.39–0.71 0.55 | 0.40–2.42 1.16 |
* Здесь и далее в строке – водность фазы охарактеризована в единицах модуля стока, л/(скм2).
Речные воды р. Кучук-Узенбаш в створе с. Многоречье преимущественно слабощелочные (рН 7.7–8.4), гидрокарбонатные магниево-кальциевые. Минерализация меняется в пределах 330–450 мг/л, содержание Si – 1–3 мг/л. Показатель ПО в среднем по выборке составляет 1 мгО2/л, увеличивается в период паводков ≥5 мгО2/л. По длине реки для Кучук-Узенбаша заметны тенденции увеличения pH, концентрации Si и SO42– и противоположные тенденции снижения для Е, Са2+, НСО3–. Формула Курлова р. Кучук-Узенбаш (71 проба) имеет вид:
.
Речные воды р. Тонас в створе Птичий по составу также гидрокарбонатные магниево-кальциевые, диапазон рН – 7.9–8.4, минерализация меняется в пределах 370–440 мг/л. Концентрация Si – от 2 до 4 мг/л. Среднее значение ПО – 1.65 мгО2/л. Формула Курлова (30 проб):
.
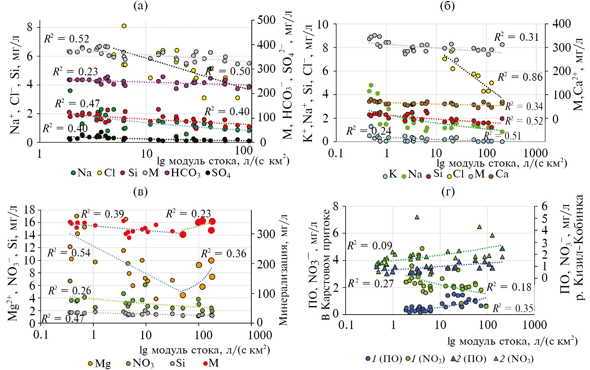
Тенденция роста ПО с увеличением речного стока отмечается в обоих бассейнах, а в р. Тонас – NO3– (рис. 3а). В обоих бассейнах отмечаются статистически значимые зависимости нелинейного снижения Е с ростом расхода: в р. Кучук-Узенбаш R2 = 0.81, в р. Тонас – 0.43. В р. Кучук-Узенбаш также прослеживаются тенденции снижения концентраций HCO3–, Mg2+, Na+, Si, Cl– (рис. 3б), а в р. Тонас – Na+, Cl–, K+ (рис. 3в). В обоих водотоках в годовом разрезе концентрации Si в зимний период становятся минимальными, в летне-осеннюю межень – повышаются (табл. 1).
Рис. 3. Связь компонентов ионного состава с расходом речных вод. Рост концентрации (а): р. Кучук–Узенбаш (1); р. Тонас (2, 3); Снижение: р. Кучук–Узенбаш (б); р. Тонас (в)
Поверхностно-склоновые воды
Формирование химического состава поверхностно-склоновых вод происходит за счет растворения остатков легкорастворимых солей и малорастворимых, в основном карбонатных, соединений, переходящих при участии CO2 в гидрокарбонатные, а степень минерализации определяется фильтрационными свойствами поверхностного слоя почвенного покрова, степенью его промытости и длительностью контакта вод с поверхностью.
Поверхностно-склоновые воды в бассейне р. Кучук-Узенбаш представлены единичными пробами – двумя пробами дождевого стока, отобранными в русле оврага Сухого по правому борту долины во время прохождения паводков в 2021 и 2022 гг., и тремя пробами из временной микро-дренажной сети левого склона долины, функционирующей при прохождении паводка в 2021 г. По составу воды гидрокарбонатные магниево-кальциевые, заметно различающиеся по минерализации и содержанию Si, рН 7.59–8.10. Воды оврага Сухого менее минерализованные – 360 мг/л, концентрация Si – 2.28 мг/л, формула Курлова имеет вид:
.
Воды левого склона характеризуются повышенной минерализацией – 535 мг/л, концентрация Si – 5.97 мг/л, увеличивается доля SO42–, Cl–, Na+, что видно из формулы воды:
.
Склоновые воды бассейна р. Тонас (1 проба) отобраны из временного водотока, образовавшегося в пределах слабовыраженной склоновой ложбинки левого борта бассейна во время активного таяния снега, имеют нейтральную реакцию (рН 7.4), низкую минерализацию – 198 мг/л, концентрацию Si – 3.4 мг/л. Содержание Mg2+ в ряду катионов достигает значительной величины:
.
Поверхностно-склоновые воды отличаются максимальными значениями ПО (4–8–10 мгО2/л) и ХПК (10–22–36 мгО2/л) в трех упомянутых пунктах отбора. Видно, что в бассейне р. Тонас величины окисляемости склоновых вод самые высокие, как и значения ПО речных вод зимних паводков (табл. 1). Это свидетельствует о существенном влиянии склонов с хорошо развитыми органогенными горизонтами почвы на формирование химического состава вод р. Тонас.
Воды крупных карстовых водоносных систем
Важную роль в питании рек Крыма играют воды карстовых источников, режим которых по характеру близок к режиму поверхностных водотоков. Многие реки в истоках образованы выходами вод из карстовых массивов, и их бассейны включают подземный и поверхностный водосборы.
Атмосферные осадки, главный источник автогенного питания рассматриваемых КВС, в процессе инфильтрации и инфлюации поступают в зону аэрации. Инфлюационное питание, т. е. концентрированное поглощение поверхностного стока по каналам и шахтам, быстро достигает водонасыщенной зоны. Инфильтрация атмосферных осадков и вод склоновых потоков через почвенный покров и породы формирует быстрое и медленное фильтрационное питание нижележащих горизонтов КВС при прохождении через эпикарстовую зону. Специфический источник питания стока КВС – конденсационные воды трещиноватой приповерхностной зоны карстовых массивов и внутрикарстовых полостей [8, 13].
Согласно современной схеме гидродинамического зонирования эпигенной КВС по подземному стоку выделяют зоны: эпикарстовую, аэрации, эпифреатическую и фреатическую [19]. Формирование химического состава происходит на всех уровнях гидрогеологической системы, а результат сложного взаимодействия контролируется уже в замыкающих створах, чаще всего после выхода источников на поверхность земли.
Воды Карстового источника в створе с. Многоречье – пресные, слабощелочные (рН 7.37–8.39), гидрокарбонатные магниево-кальциевые. Минерализация меняется в диапазоне 320–390 мг/л. Отмечается стабильность температурного фона по сравнению с речными водами, диапазон изменения температуры в течение года составляет 8.1–8.8°С. Это свидетельствуют о разгрузке базисного стока карстовых вод, находящихся в условиях гомотермии со вмещающими породами. Содержание растворенного Si – 0.96–2.30 мг/л, обычно ПО ≤1 мгО2/л, в отдельных случаях (высокий сток) повышается до 1.8–2.1 мгО2/л. Формула Курлова имеет вид:
.
Воды р. Кизил-Кобинка в замыкающем створе пресные, слабощелочные (рН 7.25–8.36), гидрокарбонатные кальциевые, диапазон минерализации – 245–350 мг/л, что в 1.5 раза ниже минерализации речных вод бассейнов рек Кучук-Узенбаш и Тонас. Низкую минерализацию обеспечивают процессы туфообразования, активно протекающие выше створа и тесно связанные с действующим термобарогеохимическим барьером. Содержание Si – 1.2–2.6 мг/л. Концентрация легкорастворимых веществ по ПО изменяется в диапазоне от 0.4 до 1.5 мгО2/л, и лишь во время экстремального паводка в июне 2022 г. она достигала 2.5 и 6.1 мгО2/л. Температура воды варьирует в диапазоне 5–13.8°С. Формула химического состава имеет вид:
.
Воды Аянского источника в створе измерения преимущественно слабощелочные, гидрокарбонатные кальциевые, минерализация варьирует от 286 до 360 мг/л, рН 7.53–8.22. Температурный режим – в диапазоне 5–13.5°С и близок к фону р. Кизил-Кобинки. Диапазон изменения ПО – 0.5–1 мгО2/л, в отдельных случаях повышается до 1.7 мг/л. Формула Курлова имеет вид:
.
Несмотря на сходство химического состава вод КВС в целом, следует отметить особенности их гидрохимического режима. В период высоких паводков минерализация воды (а также Е) в р. Кизилкобинке возрастает, приближаясь к величине в межень (табл. 2), в Аяне – даже немного превышает ее (рис. 4). Это может рассматриваться как сигнал сработки вод фреатической зоны. Аналогичную тенденцию проявляет Mg2+ в водах Аянского источника: снижение концентрации с увеличением расходов воды до Q <1000 л/с, а затем последующий рост, что также может быть признаком сработки базисного стока.
Таблица 2. Химический состав карстовых водоносных систем (n – число проб в выборке)
Фаза водного режима/ показатель | Карстовый | Кизилкобинка | Аян | |||||
Межень <5* n 14 | Средний паводок 5–100 n 8 | Межень <5 n 15 | Средний паводок 5–100 n 10 | Высокий паводок >100 n 4 | Межень <5 n 11 | Средний паводок 5–100 n 7 | Высокий паводок >100 n 5 | |
рН | 7.59–8.08 7.80 | 7.48–7.85 7.74 | 7.74–8.19 8.02 | 7.25–8.22 7.89 | 7.84–8.28 8.05 | 7.86–8.21 8.00 | 7.87–8.22 7.98 | 7.53–7.95 7.84 |
E, мкСм/см | 390–527 429 | 357–403 421 | 311–388 348 | 272–362 332 | 314–381 340 | 334–394 362 | 332–366 352 | 352–416 384 |
М, мг/л | 350–390 376 | 320-370 346 | 270-350 315 | 247–314 293 | 270-320 290 | 287–343 322 | 298–338 315 | 311–361 340 |
T, °С | 8.5–8.9 | 8.1–8.5 | 5.8–13.7 | 7.8–13.8 | 9.7–11.0 | 5.0–13 | 8.6–11.7 | 9.3–10.0 |
ПО, мг О2/л | 0.16–0.58 0.35 | 0.24–1.50 0.86 | 0.40–1.30 0.73 | 0.56–1.52 1.04 | 0.88–6.10 2.11 | 0.64–1.7 0.96 | 0.48–0.96 0.74 | 0.56–1.50 0.99 |
мг/л | ||||||||
Si | 1.39–2.25 1.82 | 0.95–2.30 1.54 | 1.80–2.50 2.20 | 1.58–2.62 1.92 | 1.22–2.33 1.79 | 1.3–1.8 1.59 | 1.1–2.0 1.44 | 1.2–1.9 1.39 |
HCO3 | 238–269 253 | 220–268 241 | 189–250 219 | 170–225 208 | 189–231 209 | 201–244 227 | 213–238 220 | 219–256 240 |
SO4 | 11.5–42.4 22.2 | 6.4–24.6 11.2 | 4.40–10.7 8.53 | 1.90–9.0 6.76 | 3.80–11.0 7.95 | 6.90–9.50 7.62 | 3.60–17.5 8.66 | 4.3–32.7 12.1 |
Cl | 3.7–8.20 5.69 | 3.10–6.40 5.06 | 3.80–7.50 6.0 | 4.10–7.68 5.81 | 3.40–6.20 4.75 | 3.2–6.5 5.23 | 4.3–6.8 5.21 | 4.3–5.12 4.70 |
NO3 | 1.60–4.88 2.77 | 0.6–3.40 2.06 | 0.55–5.10 1.84 | 0.36–8.26 2.56 | 1.80–3.60 2.25 | 2.5–6.7 3.8 | 2.4–6.1 3.4 | 1.9–9.6 3.8 |
Ca | 60.1–88.9 70.4 | 44.0–79.9 66.2 | 54.7–80.0 64.3 | 44.4–70.3 60.5 | 46.0–70.3 56.8 | 55.9–75.8 64.5 | 57.5–74.2 67.9 | 65.7–74.0 69.4 |
Mg | 6.74–29.2 18.4 | 12.4–34.2 24.4 | 3.48–17.0 9.03 | 4.62–15.6 7.92 | 4.93–26.9 14.4 | 6.0–17.0 11.8 | 3.86–9.99 6.42 | 4.76–9.98 7.43 |
Na | <2.3–3.60 <2.3 | <2.3 | <2.3-4.80 2.44 | <2.3 | <2.3 | <2.3 | <2.3 | <2.3 |
K | <0.39–2.8 0.88 | <0.39–3.1 0.48 | <0.39–1.30 <0.39 | <0.39 | <0.39 | <0.39–1.2 <0.39 | <0.39–0.49 <0.39 | <0.39–0.47 <0.39 |
* Здесь и далее в строке – водность фазы охарактеризована в единицах модуля стока, л/(с км2).
Рис. 4. Зависимости концентраций ионов от стока КВС. Снижение: Карстовый (а), р. Кизилкобинка (б), Аян (в); Рост: Карстовый (1), Кизилкобинка (2) (г)
Тенденции снижения концентрации с увеличением стока характерны для вод Карстового источника по SO42– и HCO3– (рис. 4а) и р. Кизилкобинки по K+ и Ca2+ (рис. 4б), что объясняется общей причиной – обильным поступлением атмосферных вод во время паводков. Тенденция снижения концентрации Si проявляется во всех КВС (рис. 4). А снижение концентрации Cl– и Na+ характерно для вод р. Кизилкобинки и Карстового источника. Примечательно, что зависимость Cl– от водности проявляется в более высоких диапазонах модулей стока: в Карстовом источнике при >5л/(скм2), в р. Кизилкобинке при >15л/(скм2). Ниже указанных модулей стока отмечается размах концентраций Cl– во всем диапазоне измерений (табл. 3), что говорит о случайном характере его колебаний. Концентрации Na+ во всех водах КВС малы: относительно большие значения (>2.3 мг/л) отмечаются в р. Кизилкобинке и Карстовом источнике, в Аянском источнике – значения находятся уровне нижней границы определения.
Таблица 3. Химический состав вод подземных родников, колодцев, скважин, водопроявлений в балках (* минерализация М и концентрации ионов даны средними значениями)
№ | Источник | n | H, м | T, °С | рН | М*, мг/л | HCO3- | Cl- | SO42- | NO3- | Ca2+ | Mg2+ | Na+ | K+ | ПО, мгО2/л | Si, мг/л |
мг/л %-экв | ||||||||||||||||
Кучук-Узенбашский бассейн | ||||||||||||||||
1 | Беш-Текне | 6 | 1130 | 6.3– 6.4 | 7.34–7.93 | 277 | 199 92 | 5.33 4 | 5.5 3 | 1.2 1 | 52.6 77 | 9.79 22 | <2.3 0 | <0.390 | 0.25–0.48 | 1–1.5 |
2 | Эки-Текне | 11 | 890 | 6.9–8.2 | 7.57–7.91 | 308 | 220 91 | 5.29 4 | 6.10 4 | 1.2 1 | 62.3 81 | 7.63 17 | <2.3 0 | 0.47 0 | 0.32–0.40 | 1.2–1.8 |
3 | Чок-Су | 7 | 670 | 9.1–11 | 7.34–7.88 | 405 | 281 87 | 9.1 5 | 17.8 7 | 0.25 – | 73.3 70 | 16.9 27 | 3.53 3 | <0.390 | 0.08–0.88 | 2.2–2.6 |
4 | Тюллюк | 4 | 630 | 8.7–12 | 7.65–7.84 | 368 | 250 84 | 5.23 3 | 26.8 11 | 2.38 1 | 64.2 64 | 20.0 32 | 3.6 3 | 0.71 0 | 0.08–0.48 | 1.3–2.2 |
5 | Дарха-Чокраклы | 4 | 641 | 9.4– 9.6 | 7.65–7.95 | 383 | 270 88 | 8.4 4 | 16.7 7 | 1.8 1 | 64.0 67 | 16.5 28 | 5.2 5 | <0.390 | 0.33–1.68 | 2.1–3.2 |
6 | Юрка-2 | 4 | 539 | 8.7– 9.0 | 7.56–7.91 | 363 | 258 88 | 8.07 5 | 14.8 6 | 1.04 – | 58.6 65 | 15.6 28 | 6.8 6 | <0.390 | 0.16–1.20 | 2.3–2.7 |
7 | Азменын Чокрак Лев. | 14 | 467 | 8.2–9.5 | 7.51–8.05 | 422 | 273 82 | 6.73 3 | 35.4 13 | 2.02 1 | 63.4 55 | 30 43 | 3.2 2 | 0.89 0 | 0.17–0.70 | 1.8–2.7 |
8 | Азменын Чокрак Прав. | 17 | 467 | 8.5–9.5 | 7.43–8.10 | 441 | 274 80 | 6.83 3 | 43.7 16 | 2.55 1 | 66.4 55 | 31.1 42 | 3.02 2 | 1.0 0 | 0.10–1.12 | 1.6–2.5 |
Бассейн р. Тонас | ||||||||||||||||
9 | Кол. Испанец (Чобан–Чокрак) | 1 | 986 | 9.2 | 7.32 | 418 | 299 93 | 7.5 4 | 7.4 3 | 1.0 – | 89.9 81 | 11.8 18 | <2.3 0 | <0.390 | 0.72 | 2.3 |
10 | Истоки р. Бай–Су | 3 | 940 | 15–23 | 6.61–7.93 | 410 | 297 94 | 3.6 2 | 9.0 4 | 0.17 – | 77.0 73 | 12.0 19 | 3.63 3 | 1.42 0 | 0.90–7.60 | 3.2–3.9 |
11 | Кузгунны (яйла) | 2 | 770 | 8–9 | 6.63–7.74 | 476 | 336 90 | 7.95 4 | 7.1 5 | 2.1 1 | 94.5 75 | 17.5 23 | 4.8 2 | 0.98 0 | 0.96–4.2 | 3.7–4.0 |
12 | Балка Кулуин–Дере | 1 | 593 | 9.3 | 7.60 | 481 | 342 87 | 8.9 4 | 26.9 9 | 3.56 1 | 83.0 79 | 10.9 17 | 3.1 3 | 2.1 1 | 9.40 | 2.71 |
13 | Балка Через–Дере | 2 | 540 | 8.0–8.8 | 7.82–8.0 | 466 | 293 79 | 8.4 4 | 48.6 16 | 3.7 1 | 67.3 52 | 31.7 40 | 10.5 7 | 2.95 1 | 0.74–1.76 | 3.5–3.6 |
14 | Балка Шурбан–Дере | 2 | 529 | 9.1 | 7.98–8.18 | 437 | 299 85 | 8.2 4 | 26.3 10 | 4.57 1 | 75.7 71 | 15.3 23 | 5.6 5 | 1.9 1 | 1.14–5.30 | 3.1–3.9 |
15 | Балка Кузгунны–Дере | 3 | 514 | 8.4–8.7 | 8.14–8.23 | 363 | 244 85 | 8.9 5 | 22.0 10 | 1.6 1 | 45.4 44 | 29.3 47 | 9.1 8 | 2.2 1 | 0.58–2.9 | 3.3–4.2 |
16 | Овр. Глубокий | 3 | 480 | 8.5–12 | 7.66–8.04 | 518 | 352 87 | 10.3 4 | 24.6 8 | 3.9 1 | 94.1 70 | 22.3 24 | 8.9 5 | 1.53 1 | 0.49–3.64 | 3.7–4.4 |
17 | Танасу–٥ | 3 | 459 | 7.1–11.5 | 7.66 | 434 | 303 86 | 8.6 4 | 27.7 10 | 1.19 0 | 61.0 57 | 23.7 36 | 7.09 6 | 1.86 1 | 0.82–1.96 | 2.8–3.6 |
18 | Скв. с. Красноселовка | 2 | 380 | 11.7–13.2 | 7.44–7.67 | 515 | 348 85 | 11.5 5 | 29.3 9 | 3.9 1 | 85.3 62 | 23.8 28 | 14.7 10 | 1.5 1 | 0.9 | 3.3–3.8 |
Краснопещерный бассейн | ||||||||||||||||
19 | Вейрат–Чокрак | 3 | 1000 | 6.8–9.0 | 7.26–7.62 | 382 | 271 91 | 6.1 4 | 10.4 5 | 2.5 | 84.6 89 | 5.0 9 | <2.3 0 | 0.90 0 | 0.56–1.2 | 2.3–3.1 |
20 | Буковый Кордон | 1 | 990 | 7.6 | 7.40 | 339 | 238 91 | 6.8 4 | 8.8 4 | 0.55 0 | 66.7 83 | 7.4 13 | 4.1 4 | <0.390 | 0.32 | 3.4 |
21 | Надежда | 1 | 973 | 7.8 | 7.18 | 426 | 311 92 | 7.4 4 | 9.7 4 | 0.76 0 | 85.2 83 | 9.1 15 | 2.4 2 | <0.390 | 0.32 | 2.2 |
22 | SGX–17100 | 2 | 960 | 7.6–8.5 | 7.34–7.42 | 439 | 305 92 | 6.2 3 | 9.6 4 | 3.5 1 | 82.0 77 | 12.5 20 | 3.4 2 | 0.41 0 | 0.40–0.64 | 3.0–3.4 |
23 | SGX–17106 | 2 | 930 | 9.4–95 | 7.46–7.62 | 379 | 272 93 | 5.3 3 | 6.8 3 | 1.8 1 | 80.6 80 | 11.6 18 | 1.70 1 | <0.390 | 0.30–0.42 | 1.7–2.3 |
24 | Род. на туфовой площадке | 1 | 570 | 10 | 8.00 | 321 | 238 94 | 4.8 3 | 3.8 2 | 1.8 1 | 50.5 59 | 20.4 39 | 1.6 2 | <0.390 | 1.4 | 1.3 |
25 | Грифон | 6 | 545 | 7.7–14 | 7.25–7.85 | 343 | 261 91 | 7.0 4 | 10.7 5 | 1.0 0 | 79.3 83 | 8.6 15 | <2.3 0 2 | <0.390 | 0.64–2.3 | 1.5–2.5 |
26 | Источник № 33 | 4 | 510 | 9.2–10 | 7.55–7.75 | 321 | 229 92 | 5.8 4 | 5.6 3 | 3.4 1 | 65.1 78 | 9.7 19 | <2.3 0 | <0.390 | 0.38–1.4 | 1.7–2.4 |
Тенденция роста ПО с увеличением стока характерна для вод КВС Карстового источника и р. Кизилкобинке. В Аянском источнике эта тенденция отсутствует, что может свидетельствовать о слабом участии поверхностной составляющей в его общем стоке. Тенденция снижения концентрации NO3– с увеличением водности КВС характерна для Карстового источника и Аяна (рис. 4г), а в р. Кизилкобинке эта зависимость слабо выражена и обратная. Аянский источник специфичен в ряду рассматриваемых КВС, поскольку только один из катионов – Mg2+ – проявляет связь со стоком.
Подземные родниковые воды
Формирование подземных вод во всех бассейнах происходит в зоне аэрации первого водоносного горизонта в условиях повышенной трещиноватости карстующихся пород. Их химический состав определяется совокупностью факторов: характером поступления и распределения атмосферных вод, химическим и минеральным составом горных пород и почв, процессами выветривания, временем циркуляции в породах.
В бассейне р. Кучук-Узенбаш выходы родников с дебитом 0.2–10 л/с отмечаются во всем высотном диапазоне водосбора (табл. 3). Из них родники Беш-Текне и Эки-Текне находятся в верхнем ярусе бассейна на отметках выше 800 м, а Левый и Правый Азменын-Чокрак выходят в днище долины р. Кучук-Узенбаш вблизи г/п Многоречье. В вертикальном профиле водосбора по направлению от верхних отметок вниз отмечается увеличение содержания концентрации Mg2+ в подземных водах (табл. 3). Воды родников, область разгрузки которых выше 800 м, преимущественно гидрокарбонатные кальциевые. Ниже этой отметки тип воды меняется на гидрокарбонатный магниево-кальциевый.
Минерализация вод в родниках меняется в диапазоне 240–470 мг/л, причем разгружающихся в верхнем ярусе – ≤300 мг/л, а в днище долины – >400 мг/л. Реакция среды – от нейтральной до слабощелочной (рН 7.3–8.1). Очевидно, что отмеченные различия химического состава обусловлены характером процессов в водосборах родников и их литологическими особенностями. Трещинно-карстовые воды родников верхнего яруса, согласно схеме гидродинамической зональности, могут рассматриваться как представители эпикарстовых вод, питающихся напрямую осадками, где ведущий процесс – растворение известняков агрессивными атмосферными водами. Благодаря большей емкости эпикарстовой зоны эти воды должны обеспечивать значительное питание карстовых рек.
Снижение агрессивности CO2 с глубиной способствует затуханию реакций растворения, что сопровождается увеличением минерализации вод (табл. 4). Воды родников, разгружающихся в днище долины (Левый и Правый Азменын-Чокрак), очевидно, относятся к трещинно-жильным водам с замедленной циркуляцией (или грунтовым водам – согласно принятой генетической классификации вод в гидрологии). Воды этого типа подпитывают речные воды в периоды низкого стока, обладают выраженными гидрохимическими чертами и формируют базисную составляющую речного стока.
Другая закономерность химического состава подземных родниковых вод – увеличение концентрации SO42– в водах родников с уменьшением высот отметок их выходов в профиле водосбора. Проявленные закономерности в масштабе бассейна р. Кучук-Узенбаш согласуются с гидрохимической зональностью подземных вод, проведенной ранее в масштабе профиля Главной гряды Крымских гор [21].
В бассейне р. Тонас тенденция изменения химического состава родниковых вод с изменением высоты местности несколько размыта. Преимущественный тип воды – гидрокарбонатный кальциевый. Гидрокарбонатные магниево-кальциевые воды отмечаются в отдельных родниках, область разгрузки которых приурочена к низким высотным отметкам (балки Через-Дере, Кузгунны-Дере, родник Танасу-5), и в скважине в с. Красноселовка, расположенной в днище долины р. Тонас. В водах родников, отобранных выше 700 м н.у.м., в анионном ряду преобладает HCO3– (>90%-экв.). Прослеживается тенденция, аналогичная тенденции в бассейне р. Кучук-Узенбаш, – увеличение концентрации SO42– в водах родников, разгружающихся ниже 700 м н.у.м., до 9–16%-экв. Очевидно, что трещинно-карстовые воды верхнего яруса бассейна (родники в истоках р. Бай-Су, Кузгунны, колодец Испанец) – представители водной массы зоны эпикарста, они также могут участвовать в формировании стока р. Тонас. Воды родников с повышенным содержанием SO42– и Mg2+ – трещинно-жильные воды глубокой циркуляции, репрезентативные по отношению к грунтовой базисной составляющей речного стока.
Подземные воды бассейна Красной пещеры представлены родниками, разгружающимися в диапазоне высот 500–1000 м, при этом воды родников на высотных отметках >900 м представляют трещинно-карстовые воды (зоны эпикарста), <600 м – дериваты подземного потока Красной пещеры. Воды преимущественно гидрокарбонатные кальциевые, с минерализацией 280–450 мг/л и рН < 8 – относительно низкой на фоне других бассейнов (табл. 3). В вертикальном профиле водосбора вертикальная зональность, связанная со сменой типа воды и направленным изменением концентраций SO42– и Mg2+, не выражена.
ОБСУЖДЕНИЕ РЕЗУЛЬТАТОВ
Отмеченная выше смена кальциевого типа вод на магниево-кальциевый по мере усиления внутрибассейновой трансформации химического состава вод объясняется процессами вторичной доломитизации рифогенных тел, состоящих преимущественно из СаСО3, за счет перераспределения MgCa(CO3)2 в ходе литификации известкового осадка. По данным [21], избирательная доломитизация отчетливо видна при исследовании шлихов под микроскопом при значительном содержании MgCO3 (~5% общего веса) в породе. Доломитизация известняков верхней юры подтверждается и современными лабораторными методами [2]. Магниево-кальциевый состав вод родников, разгружающихся на низких высотах, особенно выражен в водосборах рек Кучук-Узенбаш и Тонас.
Для бассейна Красной пещеры лишь в одной точке отбора (№ 24, табл. 3) отмечено повышенное содержание Mg2+. Возможная причина отсутствия сигнала повышения Mg2+ в родниках нижнего яруса – выполнение опробования преимущественно в зимний сезон при обильном поступлении атмосферных осадков. Не исключено, что магниевый подтип вод будет наиболее ярко проявляться во время высоких паводков за счет сработки глубокого подземного запаса вод. Такой характер изменения концентрации Mg2+ в зависимости от расхода зафиксирован в Аянском источнике (рис. 4в). Анализ выборки проб воды р. Кизилкобинки показал, что в 26% случаев, преимущественно в зимний период высокого стока, содержание Mg2+> 25%-экв. Вероятно, это признак сработки базисных карстовых вод – смеси трещинно-жильных вод и каналовых вод фреатической зоны.
Повышенная концентрация SO42– в водах р. Кучук-Узенбаш и отдельных родников, в том числе и бассейна р. Тонас, обусловлена близким залеганием к поверхности отложений юрского флиша, в составе которого имеются как первичные источники серы – пирит, сероводород, так и вторичные минералы – мирабилит, гипс, барит. По данным [21], в породах верхней и средней юры содержание пирита в шлифах достигает 15%.
Содержание Si в водах бассейна р. Тонас выше по сравнению с другими бассейнами, что обусловлено широким распространением терригенных песчано-глинистых отложений с высоким содержанием кремнезема. Увеличение концентрации Si в летне-осенний период обусловлено его лучшей растворимостью в щелочной среде, тогда как зимой в речных водах увеличивается концентрация СО2 и формируется углекислотная агрессивность среды.
ЗАКЛЮЧЕНИЕ
В исследуемых речных бассейнах выделено пять типов вод: атмосферные, поверхностно-склоновые, речные, воды крупных карстовых водоносных систем, подземные воды родников с небольшим дебитом; дано описание их гидрохимического состава и специфики его формирования. Пространственные различия содержания Si в исследуемых водах водосборов обусловлены особенностями их литогенеза. Терригенно-осадочные отложения с высоким содержанием кремнезема в р. Тонас обеспечивают более высокий фон концентрации Si практически во всех типах вод, циркулирующих в бассейне.
Высотная гидрохимическая зональность, проявляющаяся в увеличении концентрации SO42– и Mg2+ в водах подземного родникового стока с уменьшением высотных отметок области разгрузки родников, выявлена в бассейнах рек Кучук-Узенбаш и Тонас. Трещинно-карстовые гидрокарбонатные кальциевые воды источников, имеющих разгрузку в верхнем ярусе бассейнов (>700 м н.у.м.), согласно схеме гидрогеологической зональности подземных вод территорий эпигенного открытого карста, могут рассматриваться как представители эпикарстовых вод. Трещинно-жильные воды замедленной циркуляции гидрокарбонатного магниево-кальциевого состава с содержанием SO42 ≥10%-экв., выходы которых приурочены к низким высотным отметкам, могут рассматриваться как источники базисного подземного питания речного стока.
Для исследованных речных бассейнов и КВС установлены характерные зависимости изменения ряда гидрохимических характеристик от изменения внешних условий и водности объектов, которые демонстрируют смену характера их питания. Выявленные контрасты химического состава вод позволят в перспективе выполнить оценку генетических составляющих стока карстовых речных бассейнов и крупных КВС.
Авторы выражают благодарность П.А. Беляковой, К.В. Сучковой, В.Ф. Толкачевой (ИВП РАН) и Е.Г. Амеличеву, В.Г. Науменко (Крымский федеральный университет им. В.И. Вернадского) за участие в полевых работах, а также О.П. Букреевой, Р.В. Гоголевой, В.А. Русаковой, М.В. Сергеевой, З.В. Чучалиной, Н.Ю. Панковой, Р.И. Мосан (Иваньковская НИС ИВП РАН) за выполнение химических анализов.
About the authors
Т. С. Губарева
Институт водных проблем РАН
Author for correspondence.
Email: tgubareva@bk.ru
Russian Federation, Москва
Г. Н. Амеличев
Институт водных проблем РАН; Крымский федеральный университет им. В.И. Вернадского
Email: tgubareva@bk.ru
Russian Federation, Москва; Симферополь
Б. И. Гарцман
Институт водных проблем РАН; Институт природно-технических систем
Email: tgubareva@bk.ru
Russian Federation, Москва; Севастополь
С. В. Токарев
Институт водных проблем РАН; Крымский федеральный университет им. В.И. Вернадского
Email: tgubareva@bk.ru
Russian Federation, Москва; Симферополь
Л. И. Хрусталева
Институт водных проблем РАН
Email: tgubareva@bk.ru
Russian Federation, Москва
В. М. Морейдо
Институт водных проблем РАН
Email: tgubareva@bk.ru
Russian Federation, Москва
References
- Васильевский П.М., Желтов П.И. Гидрогеологические исследования горы Чатырдаг в 1927 г. // Тр. ВГРО НКТП СССР. 1932. Вып. 142. 88 с.
- Габдуллин Р.Р., Бадулина Н.В., Бакай Е.А. и др. Строение и условия формирования отложений беденекирской свиты (Титонский ярус) Горного Крыма // Вест. МГУ. Сер. 4. Геология. 2017. № 6. С. 46–54.
- Геология СССР. Т. 8. Крым. М.: Недра, 1969. 575 с.
- Головкинский Н.А. Источники Чатырдага и Бабугана. Симферополь: Спиро, 1893. 35 с.
- Горные страны Европейской части СССР и Кавказ. М.: Наука, 1974. 360 с.
- Государственная геологическая карта СССР. Масштаб 1:50000. Крымская серия. Ялтинский геологический район (листы L-36-117-В, Г; L-36-129-А, Б, В) / Составили Ванина М.В., Фиколина Л.А., Писарева М.Н., Корбут Е.Б., Петрова Н.Б. Киев: Укргеология, 1986.
- Дублянский В.Н., Вахрушев Б.А., Амеличев Г.Н., Шутов Ю.И. Красная пещера. Опыт комплексных карстологических исследований. М.: РУДН, 2002. 190 с.
- Дублянский В.Н., Кикнадзе Т.З. Гидрогеология карста Альпийской складчатой области юга СССР. М.: Наука, 1984. 128 с.
- Дублянский Ю.В., Климчук А.Б., Амеличев Г.Н. и др. Изотопный состав атмосферных осадков и карстовых источников северо-западного склона Крымских гор // Спелеология и карстология. 2012. № 9. С. 14–21.
- Задорожная Л.П., Васильев И.Н. Строение карбонатной толщи Ялтинского массива // Комплексные изыскания при строительстве гидротоннеля в карстовой области Горного Крыма. Симферополь, 1971. С. 58–85.
- Каюкова Е.П. Использование гидрохимических данных для оценки элементов водного баланса (на примере бассейна р. Бодрак, юго-западный Крым) // Вест. СПБУ. Сер. 7. Геология. География. 2016. № 4. С. 25–36.
- Каюкова Е.П., Барабошкина Т.А., Филимонова Е.А. Гидрогеохимические особенности подземных вод бассейна р. Бодрак (Качинское поднятие Горного Крыма) // Вест. МГУ. Сер. 4. Геология. 2020. № 4. С. 55–63.
- Климчук А.Б. Эпикарст: гидрогеология. морфогенез и эволюция. Симферополь: Сонат, 2009. 112 с.
- Новиков Д.А., Копылова Ю.Г., Черных А.В. и др. Новые изотопно-гидрогеохимические данные по составу природных вод Байдарской долины (Крымский полуостров) // Геология и геофизика. 2021. Т. 62. № 12. С. 1705–1726.
- Овсяный Е.И., Орехова Н.А. Гидрохимический режим реки Черной (Крым): экологические аспекты // Морской гидрофиз. журн. 2018. Т. 34. № 1 (199). С. 82–94.
- Рухлов Н.В. Обзор речных долин горной части Крыма. Петроград: Типография Киршбаума. 1915. 491 с.
- Харитонова Н.А., Филимонова Е.А., Кортунов Е.А. и др. Изотопно-геохимические характеристики природных вод юго-западной части Крымского полуострова // Вод. ресурсы 2022. Т. 49. № 4. С. 474–491.
- Чуринов М.В. Трещинно-карстовые воды Чатыр-Дага и перспектива их использования // Вопросы гидрогеологии и инженерной геологии. Вып.17. М., 1959. С. 22–30.
- Шестопалов В.М., Климчук А.Б., Токарев С.В., Амеличев Г.Н. Оценка уязвимости подземных вод районов открытого карста (на примере массива Ай-Петри, Крым) // Спелеология и карстология. 2009. № 2. С. 11–29.
- Шутов Ю.И. Взаимосвязь поверхностных и подземных вод на склонах Главной гряды Крымских гор // Информ. Бюл. “Метеорология и гидрология”. 1967. № 12. С. 167–171.
- Шутов Ю.И. Гидрохимическая зональность подземных вод в центральной части Главной гряды Крымских гор // Бюл. МОИП. Отд. геологии. 1966. Т. XLI. № 5. С. 98–110.
- Шутов Ю.И. Обводненность и типы вод Ялтинского горного массива // Комплексные изыскания при строительстве гидротоннелля в карстовой области Горного Крыма. Симферополь, 1971. С. 124–151.
- Юдин В.В. Тектоника Карабийского массива в Крыму // Уч. зап. КФУ. География. Геология. 2019. Т. 5 (71). № 1. С. 270–302.
Supplementary files






