Чувствительность лабораторных тест-организмов к бихромату калия в природной воде р. Москвы
- Authors: Оганесова Е.В.1,2, Самойлова Т.А.1, Дмитриева Е.С.1, Духова Л.А.1, Трофимова В.В.1, Кладити С.Ю.1
 - 
							Affiliations: 
							
- Всероссийский научно-исследовательский институт рыбного хозяйства и океанографии
 - Московский государственный университет им. М. В. Ломоносова
 
 - Issue: Vol 51, No 1 (2024)
 - Pages: 115-124
 - Section: ГИДРОХИМИЯ, ГИДРОБИОЛОГИЯ, ЭКОЛОГИЧЕСКИЕ АСПЕКТЫ
 - URL: https://bakhtiniada.ru/0321-0596/article/view/260968
 - DOI: https://doi.org/10.31857/S0321059624010102
 - EDN: https://elibrary.ru/EDKKKC
 - ID: 260968
 
Cite item
Full Text
Abstract
Методом биотестирования исследовали токсичность природной воды, отобранной в р. Москве в точках с разным уровнем антропогенного воздействия во все гидрологические сезоны года. Оценено влияние химического состава природной воды на чувствительность к модельному токсиканту (бихромату калия) для трех лабораторных тест-объектов – одноклеточных водорослей Scenedesmus quadricauda (Turh.) Breb., ракообразных Daphnia magna Straus и рыб Poecilia reticulata Peters. Чувствительность тест-объектов оценивали по величинам полулетальной (для дафний и рыб) и полуэффективной (для водорослей) концентраций модельного токсиканта, полученным с использованием отобранных проб воды в качестве сред для приготовления тестируемых растворов токсиканта. Показано, что в условиях комплексного антропогенного загрязнения, включающего повышение минерализации, чувствительность Daphnia magna и Poecilia reticulata к стандартному токсиканту в целом оказалась в пределах нормативного диапазона для каждого тест-объекта, а для Scenedesmus quadricauda практически все полученные значения полуэффективных концентраций лежат выше нормативного диапазона (чувствительность снижена). Обнаружены статистически значимые корреляции величины полулетальной концентрации для Daphnia magna с комплексом взаимосвязанных гидрохимических показателей, включая минерализацию. Наблюдаемые различия в изменении чувствительности тест-объектов предположительно связаны с изменением жесткости воды. Отмечено, что снижение чувствительности тест-объектов под влиянием изменения ионного состава воды может привести к получению завышенных величин предельно-допустимых концентраций, которые устанавливаются с использованием природной воды для водных объектов с учетом их природных особенностей. Результаты исследований могут быть использованы при формировании методических подходов к региональному нормированию.
Full Text
Один из важнейших методов оценки качества воды рыбохозяйственных водоемов – биотестирование с использованием стандартных тест-объектов. Оценка чувствительности лабораторной культуры тест-организмов к модельному токсиканту – обязательная составляющей подготовки к биотестированию, поскольку позволяет контролировать соблюдение условий проведения биотестирования и обеспечивает воспроизводимость результатов. Для каждого тест-объекта методики биотестирования регламентируют использование стандартных сред для культивирования, имеющих установленный состав или свойства. В особых случаях, например при разработке нормативов качества воды водных объектов рыбохозяйственного значения с учетом природных особенностей водного объекта (региональных ПДК), методика предусматривает проведение биотестирования на природной воде данного региона [3]. Химический состав природной воды может значительно отличаться от стандартных лабораторных сред. Широко известно, что на токсичность загрязняющих веществ для гидробионтов могут заметно влиять различные вещества, присутствующие в воде, в том числе растворенное органическое вещество [9, 10, 12], металлы [7, 8, 16, 17], гуминовые кислоты [13].
Цель настоящей работы – установление закономерностей изменения чувствительности лабораторных тест-организмов к модельному токсиканту в природной воде, отобранной в р. Москве в разные сезоны года в точках с разным уровнем антропогенной нагрузки.
Материалы и методы
Материалом для исследования послужили пробы воды, отобранные в р. Москве в 2021 г.: в период зимней межени (1-й квартал), в период весеннего половодья (2-й квартал), в период летней межени (3-й квартал) и в осенний период до начала процессов льдообразования (4-й квартал). Пробы отбирали на всем протяжении р. Москвы от верховьев (д. Барсуки) до устья (г. Коломна). Схема расположения точек отбора проб приведена на рис. 1. В точках 1, 3–6, 9–11, 13 и 15 отбирали пробы на биотестирование и гидрохимический анализ, в остальных точках проводили только гидрохимические исследования. Краткое описание мест отбора проб на биотестирование дано в табл. 1.
Рис. 1. Картосхема территории расположения точек отбора проб воды в р. Москве (г. Москва и Московская обл.) в 2021 г. Черные кружки – отбор проб на биотестирование и гидрохимический анализ, белые кружки – только гид рохимические исследования.
В отобранных пробах определяли ряд гидрохимических показателей, из которых для анализа были выбраны следующие: рН воды; общая жесткость; минерализация; концентрации главных ионов (К, Na, Ca, Mg, Cl, SO4, HCO3), кремния, аммонийного азота (N–NH4), нитритного азота (N–NO2), нитратного азота (N–NO3), фосфора фосфатов (P–PO4), растворенного органического углерода (Сорг), органических форм фосфора (Pорг), нефтепродуктов и тяжелых металлов (Mn, Cu, Fe). Растворенный органический углерод определяли методом каталитического высокотемпературного сжигания при 680˚C на анализаторе “Simadzu TOC–VCPH”, нефтепродукты – флуориметрическим методом на анализаторе жидкости “Флюорат 02–3М”, тяжелые металлы – атомно-абсорбционным методом на спектрометре “Квант-Z.ЭТА”. Содержание главных ионов определяли методом капиллярного электрофореза на приборе “Капель-104Т”, анализ биогенных элементов выполняли спектрофотометрическими методами.
Используемые в работе тест-объекты – одноклеточные водоросли Scenedesmus quadricauda (Turh.) Breb., ракообразные Daphnia magna Straus и аквариумные рыбы Poecilia reticulata Peters – широко используются в экологической токсикологии, в том числе при разработке нормативов качества воды для водных объектов рыбохозяйственного значения. Оценку острой токсичности проб воды по выживаемости дафний и рыб за 96 ч и росту численности водорослей за 72 ч проводили методом биотестирования [4]. За критерий наличия острой токсичности в пробе принято снижение исследуемого показателя на ≥50% относительно контроля.
Таблица 1. Точки отбора проб воды в р. Москве (г. Москва и Московская обл.) в 2021 г. (“+” – проведен отбор проб на биотестирование и гидрохимический анализ; в точках 2, 7, 8, 12 и 14 проводили только гидрохимические исследования)
Точки отбора проб  | Даты отбора проб  | Краткое описание мест отбора проб  | |||
1-й квартал  | 2-й квартал  | 3-й квартал  | 4-й квартал  | ||
1  | –  | +  | +  | +  | д. Барсуки  | 
3  | –  | +  | –  | –  | п. Старая Руза  | 
4  | –  | –  | +  | +  | Русло реки на границе д. Бережки и пос. Дома отдыха Тучково  | 
5  | +  | –  | –  | –  | г. Звенигород  | 
6  | +  | +  | +  | +  | с. Петрово-Дальнее  | 
9  | –  | +  | +  | +  | г. Москва, район Печатники  | 
10  | +  | +  | +  | –  | г. Москва, Курьяново; вниз по течению от водовыпуска Курьяновских очистных сооружений  | 
11  | –  | –  | +  | +  | Городской округ Дзержинский  | 
13  | +  | –  | +  | +  | г. Бронницы, район Москворечье  | 
15  | –  | –  | +  | +  | Городской округ Коломна  | 
В качестве среды для содержания и культивирования дафний и рыб использовали водопроводную воду, отстоянную в течение 10–14 дней при постоянной аэрации.
Средой для культивирования водорослей служила среда Прата.
Чувствительность дафний и рыб оценивали по величине ЛК50 (полулетальной концентрации) модельного токсиканта бихромата калия (K2Cr2O7), чувствительность водорослей оценивали по величине ЭК50 (полуэффективной концентрации) модельного токсиканта. Нормативный диапазон чувствительности к бихромату калия для водорослей составляет 1.3–2.5 мг/дм3 за 48 ч, для дафний 0.9–2.5 мг/дм3 за 24 ч и для рыб 106.0–175.0 мг/дм3 за 24 ч [4].
Чувствительность тест-объектов определяли с использованием отобранных проб воды в качестве сред для приготовления тестируемых растворов токсиканта; параллельно определяли чувствительность тест-объектов с использованием стандартных сред в соответствии с принятой методикой [4].
Для оценки чувствительности дафний исследовали действие бихромата калия в концентрациях 1, 2 и 3 мг/дм3. В опытах использовали стеклянные стаканы объемом 100 мл, в которые помещали по 10 рачков. Повторность в опыте и контроле была трехкратная. Длительность эксперимента составляла 24 ч. В эксперименте рачков не кормили.
Для оценки чувствительности рыб исследовали действие бихромата калия в концентрациях 50, 100, 150, 200, 250 и 300 мг/дм3. В опытах использовали стеклянные стаканы объемом 5 дм3, в которые помещали по 10 особей. Повторность в опыте и контроле была трехкратная. Длительность эксперимента составляла 24 ч. В эксперименте рыб не кормили.
Для оценки чувствительности водорослей исследовали действие бихромата калия в концентрациях 1.0, 1.5, 2.0, 2.5, 3.0 мг/дм3. В опытах использовали колбы объемом 100 мл (рабочий объем 50 мл). Повторность в опыте и контроле была трехкратная. Длительность эксперимента составляла 48 ч. Численность клеток водорослей определяли по флуоресценции хлорофилла с помощью флуориметра “Флюорат 02–3М”. В качестве дополнительного показателя состояния популяции микроводорослей вычисляли среднюю логарифмическую скорость роста за 3 сут [2] как отношение разности логарифмов численностей клеток в начале и конце экспозиции к длительности экспозиции (сут):
(1)
µ – средняя скорость роста от момента времени ti до момента tj; Xi – численность клеток в момент ti; Xj – численность клеток в момент tj.
Обработку данных проводили в статистической среде R [14], в том числе с помощью библиотеки drc (версия 3.0–1), предназначенной для анализа зависимостей доза–эффект [15]. Для расчета величины ЛК50 выбрана логнормальная регрессионная модель с двумя параметрами (верхняя и нижняя асимптоты равны 1 и 0 соответственно):
(2)
Для расчета полуэффективной концентрации (ЭК50) выбрана логнормальная регрессионная модель с тремя параметрами (нижняя асимптота принята равной нулю):
(3)
В формулах (2) и (3) Ф – кумулятивная функция плотности для стандартного нормального распределения, e – определяет положение точки перегиба сигмоидной кривой и соответствует ЛК50 или ЭК50, b – коэффициент угла наклона в области точки перегиба, d – верхняя асимптота сигмоидной кривой.
Наличие статистической связи между изучаемыми показателями оценивали с помощью ранговой корреляции (Спирмена).
Следует отметить, что жесткость и минерализацию рассчитывали с использованием концентраций главных ионов. Поскольку эти данные расчетные и не являются статистически независимыми, при анализе корреляционных связей гидрохимических показателей в качестве поправки на множественные сравнения был принят уровень значимости 0.001 вместо общепринятого 0.05.
Результаты
Биотестирование проб воды на Daphnia magna показало, что во всех исследованных пробах выживаемость рачков за 96 ч составила 100%, кроме единственного отклонения – в точке 10 в 1-м квартале гибель дафний составила 17%. Точка 10 находится по течению ниже сброса очищенных сточных вод Курьяновских очистных сооружений.
Таким образом, во всех исследованных пробах не выявлена острая токсичность для Daphnia magna.
На рыбах Poecilia reticulata проводили биотестирование проб воды, отобранных в точке 10 в 1-м, 2-м и 3-м кварталах. Во всех исследованных пробах острая токсичность для рыб не выявлена.
Биотестирование проб воды на Scenedesmus quadricauda показало, что в течение года менялась средняя логарифмическая скорость роста водорослей µ (1): наибольшая наблюдалась весной (рис. 2). Коэффициент корреляции Спирмена между скоростью роста и датой эксперимента равен –0.77, и эта связь статистически значима (р < 0.001). В контрольных культурах (в среде Прата) наблюдалась подобная корреляция, но более слабая и статистически незначимая – коэффициент корреляции равен –0.50 (р = 0.083).
Рис. 2. Пространственная и сезонная изменчивость средней логарифмической скорости роста водорослей µ в исследованных пробах воды.
Пространственная изменчивость скорости роста практически отсутствовала, коэффициент корреляции между скоростью роста и положением точки отбора равен 0.16 (р = 0.529).
Средняя логарифмическая скорость роста почти во всех пробах была выше, чем в контроле (рис. 3), что, очевидно, объясняется более высоким содержанием биогенных элементов в природной воде по сравнению со средой Прата. Относительная скорость роста (выраженная в долях от контроля (%)) также демонстрирует статистически значимую сезонность – коэффициент корреляции равен –0.59 (р = 0.010). Для двух проб наблюдали заметно отклоняющиеся значения – это повышенная скорость роста в точке 6 весной и низкая скорость роста в точке 9 осенью.
Рис. 3. Cезонная изменчивость относительной скорости роста водорослей в исследованных пробах воды (пунктир – линейная тенденция, горизонтальная линия – уровень контроля).
Вследствие повышенной скорости роста численность водорослей через 72 ч эксперимента также оказалась выше, чем в контроле, практически во всех пробах (рис. 4). Эффект стимуляции осенью был ниже, чем весной. Единственный случай угнетения роста водорослей – это точка 9 осенью, где численность была ниже, чем в контроле, на 32%.
Рис. 4. Численность водорослей, достигнутая за 72 ч, в исследованных пробах воды. Пунктир – линейная тенденция, горизонтальная линия – уровень контроля.
Таким образом, во всех исследованных пробах не выявлена острая токсичность для Scenedesmus quadricauda.
Чувствительность Daphnia magna к стандартному токсиканту в целом оказалась в пределах нормативного диапазона чувствительности для данного тест-объекта – в 16 пробах из 24 значения ЛК50 (24 ч) – 0.9–2.5, в трех пробах >2.5 и в пяти пробах <0.9 мг/дм3. В четырех из них во всем исследованном диапазоне концентраций модельного токсиканта наблюдалась полная гибель рачков и вычислить точное значение ЛК50 было невозможно, однако очевидно, что оно значительно <1 мг/дм3. Эти пробы были отобраны в точках 1 (в апреле и ноябре), 4 (в ноябре) и 6 (в августе).
Во все сезоны года значения ЛК50 для дафний демонстрируют тенденцию к увеличению в пробах со станций 10–15 – эти точки находятся по течению ниже Курьяновских очистных сооружений (рис. 5). Выявлена статистически значимая корреляция между ЛК50 и положением точки отбора, коэффициент корреляции равен 0.84, р < 0.001.
Рис. 5. Пространственная (а) и сезонная (б) изменчивость полулетальной концентрации бихромата калия для Daphnia magna за 24 ч (“усы” – доверительный интервал ЛК50).
Сезонная изменчивость величин ЛК50 для дафний не выявлена: коэффициент корреляции с датой биотестирования равен 0.16, р = 0.504.
Чувствительность Poecilia reticulata к стандартному токсиканту, оцененная в пробах воды из точки 10 в 1-м, 2-м и 3-м кварталах, представлена на рис. 6. Значения ЛК50 (24 ч) практически находятся в пределах нормативного диапазона данного тест-объекта (106–175 мг/дм3).
Рис. 6. Полулетальные концентрации бихромата калия для Poecilia reticulata за 24 ч в точке 10 (“усы” – доверительный интервал ЛК50).
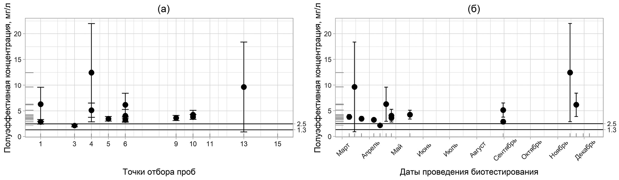
Исследование чувствительности Scenedesmus quadricauda к стандартному токсиканту показало, что практически все полученные значения ЭК50 (48 ч) лежат выше верхней границы нормативного диапазона чувствительности данного тест-объекта (рис. 7). Только в одной из всех исследованных проб чувствительность оказалась в пределах 1.3–2.5 мг/дм3. В нескольких пробах было невозможно определить точно величину ЭК50, поскольку в исследованном диапазоне концентраций бихромата калия не наблюдали угнетения роста водорослей. Следовательно, ЭК50 значительно >3 мг/дм3 (таких проб было 5). Кроме того, в некоторых пробах при достаточно больших значениях ЭК50 их доверительные интервалы были очень велики также по причине незначительного реагирования на токсикант в исследованном диапазоне концентраций.
Рис. 7. Пространственная (а) и сезонная (б) изменчивость полуэффективной концентрации бихромата калия для Scenedesmus quadricauda за 48 ч (“усы” – доверительный интервал ЭК50).
Для ЭК50 не выявлены ни пространственная, ни сезонная корреляция, соответствующие коэффициенты корреляции равны 0.20 (р = 0.519) и 0.28 (р = 0.348). Вместе с тем есть данные, показывающие, что эффект от воздействия бихромата калия на культуру S. quadricauda зависит от сезона – наибольшая чувствительность наблюдается в зимний период [1]. Таким образом, в рамках данного исследования показатель ЭК50 оказался неинформативным для выявления тенденций из-за низкой точности определения, связанной с непопаданием его величин в выбранный диапазон концентраций модельного токсиканта.
Анализ гидрохимических показателей вод р. Москвы, измеряемых на протяжении 2021 г. в исследованных точках, показал, что в целом состав воды качественно меняется в пределах г. Москвы после Курьяновских очистных сооружений. Повышается содержание минеральных форм азота и фосфора, причем концентрации фосфора фосфатов, аммонийного и нитритного азота > ПДК во все сезоны года. Органические формы фосфора также повышаются после Курьяновских очистных сооружений. Повышаются общая минерализация, жесткость воды, содержание в воде основных ионов – Na, K, хлоридов и сульфатов, при этом концентрация ионов кальция не меняется.
Концентрации тяжелых металлов (Mn, Cu и Fe) незначительно меняются в пространстве. При этом содержание Cu почти везде немного > ПДК, содержание Mn > ПДК в несколько раз, а содержание Fe было ≤ ПДК, за исключением периода весеннего половодья.
Содержание в воде нефтепродуктов – одного из главных компонентов антропогенного загрязнения – увеличивалось в пределах г. Москвы во все сезоны года.
Жесткость воды варьировала в пределах 1.32–6.19˚Ж; диапазон pH составлял 6.7–8.6.
Исследование влияния химического состава вод р. Москвы в 2021 г. на чувствительность тест-объектов к бихромату калия показало значительную корреляцию с некоторыми гидрохимическими показателями. Диапазоны изменений гидрохимических показателей в р. Москве в 2021 г. приведены в табл. 2.
Таблица 2. Диапазоны изменений гидрохимических показателей в р. Москве в 2021 г.
Показатель  | Концентрация, мг/дм3  | 
Na  | 2.75–143.03  | 
Cl  | 2.7–293.9  | 
K  | 1.60–11.61  | 
P–PO4  | 0.019–2.11  | 
N–NO2  | 0.001–1.979  | 
SO4  | 5.11–60.04  | 
N–NO3  | 0.11–6.4  | 
Минерализация  | 115.6–819.7  | 
N–NH4  | 0.004–4.814  | 
Mg  | 4.34–1.95  | 
Нефтепродукты  | 0.006–0.21  | 
Pорг  | 0.04–2.13  | 
Ca  | 19.4–95.4  | 
Cорг  | 5.8–24.0  | 
Si  | 0.10–7.1  | 
Mn  | 0.0011–1.3  | 
HCO3  | 79.6–386.9  | 
Cu  | 0.001–0.005  | 
Fe  | 0.004–0.31  | 
В табл. 3–5 представлены результаты оценки корреляционной связи показателей чувствительности дафний и водорослей (ЛК50 и ЭК50) с гидрохимическими параметрами воды.
Таблица 3. Корреляция полулетальной концентрации бихромата калия для Daphnia magna за 24 ч c гидрохимическими показателями
Показатель  | Коэффициент корреляции Спирмена  | p  | 
N–NO2  | 0.78  | < 0.0001  | 
Cl  | 0.77  | < 0.0001  | 
K  | 0.77  | < 0.0001  | 
Na  | 0.77  | < 0.0001  | 
P–PO4  | 0.76  | < 0.0001  | 
SO4  | 0.76  | 0.0001  | 
N–NO3  | 0.75  | 0.0002  | 
Минерализация  | 0.71  | 0.0005  | 
Mg  | 0.67  | 0.0011  | 
N–NH4  | 0.64  | 0.0024  | 
Pорг  | 0.62  | 0.0036  | 
Жесткость  | 0.57  | 0.0082  | 
Нефтепродукты  | 0.47  | 0.0350  | 
Ca  | 0.47  | 0.0345  | 
Cu  | 0.31  | 0.1880  | 
Mn  | 0.26  | 0.2692  | 
Cорг  | 0.24  | 0.2999  | 
Si  | 0.19  | 0.4147  | 
HCO3  | 0.08  | 0.7359  | 
Fe  | –0.39  | 0.0866  | 
pH  | –0.42  | 0.0867  | 
Таблица 4. Корреляция полуэффективной концентрации бихромата калия для Scenedesmus quadricauda за 48 ч c гидрохимическими показателями
Показатель  | Коэффициент корреляции Спирмена  | p  | 
Mn  | 0.38  | 0.2024  | 
P–PO4  | 0.31  | 0.3103  | 
SO4  | 0.29  | 0.3436  | 
K  | 0.29  | 0.3341  | 
N–NO2  | 0.23  | 0.4587  | 
Pорг  | 0.23  | 0.4580  | 
Si  | 0.22  | 0.4757  | 
N–NO3  | 0.21  | 0.4935  | 
pH  | 0.19  | 0.6076  | 
Cl  | 0.14  | 0.6560  | 
Cu  | 0.13  | 0.6672  | 
Fe  | 0.07  | 0.8233  | 
Нефтепродукты  | 0.05  | 0.8722  | 
N–NH4  | –0.01  | 0.9783  | 
Минерализация  | –0.01  | 0.9928  | 
Na  | –0.01  | 0.9783  | 
Mg  | –0.02  | 0.9494  | 
HCO3  | –0.02  | 0.9639  | 
Жесткость  | –0.04  | 0.9006  | 
Ca  | –0.06  | 0.8490  | 
Cорг  | –0.26  | 0.3988  | 
Таблица 5. Корреляция отклонения численности Scenedesmus quadricauda от контроля за 72 ч биотестирования c гидрохимическими показателями
Показатель  | Коэффициент корреляции Спирмена  | p  | 
pH  | 0.62  | 0.0136  | 
Mn  | 0.39  | 0.1095  | 
SO4  | 0.24  | 0.3308  | 
Mg  | 0.15  | 0.5467  | 
Жесткость  | 0.14  | 0.5669  | 
Минерализация  | 0.11  | 0.6683  | 
Ca  | 0.09  | 0.7357  | 
K  | 0.08  | 0.7544  | 
Cu  | 0.06  | 0.8229  | 
HCO3  | 0.06  | 0.8050  | 
Нефтепродукты  | 0.01  | 0.9805  | 
Cl  | 0.01  | 0.9606  | 
N–NO2  | 0  | 0.9902  | 
Pорг  | 0  | 0.9935  | 
N–NH4  | –0.04  | 0.8772  | 
Na  | –0.06  | 0.8114  | 
P–PO4  | –0.08  | 0.7476  | 
N–NO3  | –0.13  | 0.6091  | 
Si  | –0.15  | 0.5445  | 
Fe  | –0.26  | 0.3028  | 
Cорг  | –0.56  | 0.0148  | 
Обнаружены статистически значимые корреляции ЛК50 бихромата калия для дафний с минерализацией и входящими в нее ионами (К, Na, Ca, Mg, Cl, SO4, HCO3), а также неорганическими формами азота и фосфора (N–NH4, N–NO2, N–NO3, P–PO4). С тяжелыми металлами (Mn, Cu, Fe) корреляции слабые и статистически незначимые, причем с Fe корреляция отрицательная, как с pH.
Корреляции ЭК50 бихромата калия для водорослей с гидрохимическими показателями достаточно слабые (≤ 0.38) и статистически незначимы. Также не подтвердилось предположение о связи стимуляции роста водорослей с концентрацией биогенных элементов – все корреляции этого параметра с гидрохимическими показателями статистически незначимы. По-видимому, более значительную роль здесь играет сезонность роста культуры водорослей, нежели химический состав воды.
Выделить наиболее влиятельный фактор, связанный с чувствительностью дафний, статистическими методами невозможно в рамках данного исследования в связи с тем, что наблюдаемое загрязнение воды – комплексное и его компоненты сильно скоррелированы между собой. Курьяновские очистные сооружения сбрасывают в р. Москву (точка 10) воды с повышенной минерализацией и значительным увеличением содержания минеральных форм азота.
Обсуждение
В настоящее время накоплен большой массив данных, свидетельствующий о том, что токсичность загрязняющих веществ зависит не только от их концентрации в воде, но также от присутствия в воде других веществ; жесткость – один из основных факторов, влияющих на токсичность загрязняющих веществ для гидробионтов [5, 9, 10, 12].
Уменьшение токсичности загрязняющих веществ при повышении жесткости воды может определяться как химическим механизмом (снижением концентрации токсичных веществ вследствие комплексообразования и процессов сорбции), так и биологическими факторами (биодоступностью, бионакоплением, ролью кальция в регуляции процессов проницаемости клеточных мембран).
Состав природных вод может оказывать серьезное влияние на форму нахождения в воде Cr, который использовали в качестве стандартного токсиканта; при этом известно, что токсичность разных форм Cr для гидробионтов различна [11].
Лабораторная вода для культивирования дафний и оценки их чувствительности к бихромату калия в стандартных условиях имеет жесткость 3.0–6.5°Ж – оптимальную для жизнедеятельности дафний [3]. Жесткость воды в исследованных пробах соответствовала этому диапазону с несколькими отклонениями в сторону низких значений (до 1.3˚Ж). Поэтому в данном исследовании чувствительность дафний к стандартному токсиканту в целом оказалась в пределах нормативного диапазона. Для водорослей чувствительность к стандартному токсиканту определяют в среде Прата (табл. 6), где минерализация и жесткость практически отсутствуют, поэтому в природной воде с относительно высокой жесткостью значения ЭК50 бихромата калия оказались существенно выше верхней границы нормативного диапазона чувствительности этого тест-объекта.
По химическому составу воды р. Москвы относятся к гидрокарбонатному классу и кальциевой группе. Однако от истока к устью происходит изменение гидрохимического облика реки в сторону значительного увеличения содержания главных ионов и биогенных элементов [6].
Таблица 6. Состав питательной среды Прата
Компоненты среды  | Концентрация в среде, г/дм3  | 
KNO3  | 0.1  | 
MgSO4·7Н2О  | 0.01  | 
К2НРО4·3Н2О  | 0.01  | 
FeCl3·6Н2О  | 0.001  | 
Превышения ПДК хотя бы по одному из исследованных показателей наблюдались во всех пробах на протяжении года, но в пределах города эти превышения были в несколько раз больше. При этом исследования на тест-объектах показали отсутствие острой токсичности во всех пробах. Таким образом, при данном уровне загрязнения оценка острой токсичности в кратковременных тестах – недостаточно чувствительный метод определения загрязнения, поскольку ПДК разрабатывают на основе длительного исследования, когда недействующие концентрации, как правило, в несколько раз ниже.
Чувствительность дафний к модельному токсиканту сохранялась в пределах нормативного диапазона даже при значительном превышении ПДК по нескольким показателям. На рис. 8 представлено соотношение полулетальной концентрации бихромата калия для дафний с суммарной по восьми показателям (минеральным формам азота и фосфора (N–NH4, N–NO2, N–NO3, P–PO4), нефтепродуктам, Cu, Fe и Mn) кратностью превышения ПДК. Наблюдается тенденция снижения чувствительности тест-объекта (повышение ЛК50) в более загрязненных пробах (коэффициент корреляции 0.72, р = 0.0004). Вероятно, это связано с тем, что в характеристику загрязненности (сумма превышений ПДК) вошли показатели, коррелирующие с минерализацией и жесткостью, которые снижают токсичность загрязняющих веществ.
Рис. 8. Соотношение полулетальной концентрации бихромата калия для Daphnia magna за 24 ч с суммарной по восьми показателям кратностью превышения ПДК.
Заключение
В условиях комплексного антропогенного загрязнения, включающего в себя повышение минерализации, токсичность модельного токсиканта (которая интерпретируется как чувствительность тест-объекта) оказалась снижена, несмотря на совместное действие нескольких загрязнителей.
Этот факт необходимо учитывать при разработке нормативов качества воды для условий, отличающихся от стандартных. Например, при разработке региональных ПДК используют природную воду, считающуюся условно чистой, которая может влиять на чувствительность тест-объектов за счет таких параметров, как рН, жесткость, минерализация и др. В случае снижения чувствительности будет получена завышенная величина ПДК. Повышенная минерализация маскирует токсичность загрязняющего вещества, что может привести к накоплению вещества в среде обитания гидробионтов с последующим переходом его в доступную форму при изменении условий среды. Федеральные нормативы ПДК, разработанные для стандартных условий, учитывают различные величины минерализации, включая почти нулевую в средах для водорослей, поэтому они более жесткие.
Полученные данные вызывают вопрос об экологической обоснованности региональных ПДК и целесообразности их разработки. Как минимум в ходе таких исследований необходимо уделять особое внимание контролю чувствительности тест-объектов к стандартному токсиканту параллельно в лабораторной и в природной воде.
About the authors
Е. В. Оганесова
Всероссийский научно-исследовательский институт рыбного хозяйства и океанографии; Московский государственный университет им. М. В. Ломоносова
							Author for correspondence.
							Email: asamojlova@mail.ru
				                					                																			                												                	Russian Federation, 							105187, Москва; 119234, Москва						
Т. А. Самойлова
Всероссийский научно-исследовательский институт рыбного хозяйства и океанографии
														Email: asamojlova@mail.ru
				                					                																			                												                	Russian Federation, 							105187, Москва						
Е. С. Дмитриева
Всероссийский научно-исследовательский институт рыбного хозяйства и океанографии
														Email: asamojlova@mail.ru
				                					                																			                												                	Russian Federation, 							105187, Москва						
Л. А. Духова
Всероссийский научно-исследовательский институт рыбного хозяйства и океанографии
														Email: asamojlova@mail.ru
				                					                																			                												                	Russian Federation, 							105187, Москва						
В. В. Трофимова
Всероссийский научно-исследовательский институт рыбного хозяйства и океанографии
														Email: asamojlova@mail.ru
				                					                																			                												                	Russian Federation, 							105187, Москва						
С. Ю. Кладити
Всероссийский научно-исследовательский институт рыбного хозяйства и океанографии
														Email: asamojlova@mail.ru
				                					                																			                												                	Russian Federation, 							105187, Москва						
References
- Артюхова В.И., Дмитриева А.Г., Филенко О.Ф., Чжао И. Изменение динамики роста культуры и размеров клеток Scenedesmus quadricauda (Turp.) Breb. при действии бихромата калия // Изв. РАН. Сер. биологическая. 1997. № 3. С. 280–286.
 - ГОСТ 32293–2013 Методы испытаний химической продукции, представляющей опасность для окружающей среды. Испытание водорослей и цианобактерий на задержку роста (OECD, Test No. 201, IDT). М.: Стандартинформ, 2015. 24 с.
 - Методические указания по разработке нормативов качества воды водных объектов рыбохозяйственного значения, в том числе нормативов ПДК вредных веществ в водах водных объектов рыбохозяйственного значения. Утв. приказом Росрыболовства № 695 от 04.08.2009 г.
 - Руководство по определению методом биотестирования токсичности вод, донных отложений, загрязняющих веществ и буровых растворов. М.: РЭФИА, НИА-Природа, 2002. 132 с.
 - Чалова И.В., Флеров Б.А. Влияние жесткости воды на хроническую токсичность смеси загрязняющих веществ для Ceriodaphnia affinis Lill. (Crustacea, Cladocera) // Тр. Ин-та биол. внутр. вод РАН. 2017. № 77. № 80. C. 143–148.
 - Яшин И.М., Васенев И.И., Гареева И.Е., Черников В.А. Экологический мониторинг вод Москвы-реки в столичном мегаполисе // Изв. ТСХА. 2015. Вып. 5. С. 8–23.
 - Deleebeeck N.M.E., De Laender F., Chepurnov V.A., Vyverman W., Janssen C.R., De Schamphelaere K.A.C. A single bioavailability model can accurately predict Ni toxicity to green microalgae in soft and hard surface waters // Water Res. 2009. V. 43. № 7. P. 1935–1947.
 - Deleebeeck N.M.E., Muyssen B.T.A., De Laender F., Janssen C.R., De Schamphelaere K.A.C. Comparison of nickel toxicity to cladocerans in soft versus hard surface waters // Aquatic Toxicol. 2007. V. 84. № 2. P. 223–235.
 - Gensemer R.W., Gondek J.C., Rodriguez P.H., Arbildua J.J., Stubblefield W.A., Cardwell A.S., Santore R.C., Ryan A.C., Adams W.J., Nordheim E. Evaluating the effects of pH, hardness, and dissolved organic carbon on the toxicity of aluminum to freshwater aquatic organisms under circumneutral conditions // Environ. Toxicol. Chem. 2018. V. 37. № 1. P. 49–60.
 - Hoppe S., Sundbom M., Borg H., Breitholtz M. Predictions of Cu toxicity in three aquatic species using bioavailability tools in four Swedish soft freshwaters // Environ. Sci. Eur. 2015. V. 27. № 1. P. 25.
 - Jop K.M., Parkerton T.F., Rodgers J.H., Dickson K.L. Comparative toxicity and speciation of two hexavalent chromium salts in acute toxicity tests // Environ. Toxicol. Chem. 1987. V. 6. P. 697–703.
 - Källqvist T. Effect of water hardness on the toxicity of cadmium to the green alga Pseudokirchneriella subcapitata in an artificial growth medium and nutrient-spiked natural lake waters // J. Toxicol. Environ. Health. Pt A. 2009. V. 72. № 3–4. P. 277–283.
 - Oikari А., Kukkonena J., Virtanen V. Acute toxicity of chemicals to Daphnia magna in humic waters // Sci. Total Environ. 1992. V. 117–118. P. 367.
 - R Core Team. R: A language and environment for statistical computing. R Foundation for Statistical Computing. Vienna, 2020. https://www.R-project.org/
 - Ritz C., Baty F., Streibig J.C., Gerhard D. Doseres ponse analysis using R // PLoS One. 2015. V. 10. № 12. e0146021. https://doi.org/10.1371/journal.pone.0146021
 - Venkat A., Amerson A.L., Bielmyer-Fraser G.K. Influ-ence of water hardness on accumulation and effects of silver in the green alga, Raphidocelis subcapitata // Georgia J. Sci. 2016. V. 74. № 2. P. 11.
 - Yim J.H., Kim K.W., Kim S.D. Effect of hardness on acute toxicity of metal mixtures using Daphnia magna: Prediction of acid mine drainage toxicity // J. Hazard. Mater. 2006. V. 138. № 1. Р. 16–28.
 
Supplementary files
				
			
					
						
						
						
						
				









