Многомерный статистический анализ в оценке токсичности поверхностных вод Волжских водохранилищ (на основе результатов биотестирования и химического анализа)
- Authors: Ложкина Р.А.1, Селезнев Д.Г.1, Томилина И.И.1, Гапеева М.В.1
-
Affiliations:
- Институт биологии внутренних вод им. И. Д. Папанина РАН
- Issue: Vol 51, No 1 (2024)
- Pages: 61-71
- Section: ГИДРОХИМИЯ, ГИДРОБИОЛОГИЯ, ЭКОЛОГИЧЕСКИЕ АСПЕКТЫ
- URL: https://bakhtiniada.ru/0321-0596/article/view/260958
- DOI: https://doi.org/10.31857/S0321059624010064
- EDN: https://elibrary.ru/EDZPUD
- ID: 260958
Cite item
Full Text
Abstract
Исследовано влияние содержания и токсичности химических элементов поверхностных вод Волжских водохранилищ на результаты биотестирования с использованием ветвистоусого рачка Ceriodaphnia affinis Lilljeborg. Многомерный статистический анализ показал непосредственную зависимость показателей смертности рачков от концентрации тяжелых металлов, тогда как показатели плодовитости от нее не зависят. Среди исследованных элементов на токсичность поверхностных вод наибольшее влияние оказывают Sr, As и Li; значительное – Mo, Sb и V; менее значимое – Ni, Sc, U и W. Рассчитанные по результатам анализа средние концентрации в токсичной группе Sr и Mo оказались близки к отечественным нормативам предельно допустимых концентраций, для Li и As – на порядок ниже.
Full Text
Природные воды – специфическая среда, в которой химические свойства загрязняющих веществ и их влияние на биологическую активность живых организмов отличаются от таковых в простых экспериментальных растворах [4]. Под качеством природной воды понимают совокупность ее свойств, обусловленных характером и концентрацией содержащихся в ней веществ, в том числе необходимых для жизнедеятельности водных организмов либо биогенных, либо эссенциальных элементов. Превышение концентрации химических веществ относительно природного фона или поступление в среду обитания соединений, не свойственных данной экосистеме, составляет суть проблемы загрязнения окружающей среды [20].
Несмотря на снижение производственных мощностей в конце XX в. и уменьшение поступления в окружающую среду техногенных элементов, качество поверхностных вод водохранилищ Волжского каскада улучшилось незначительно [8]. В настоящее время источники загрязнения р. Волги следующие: неконтролируемые – поверхностный смыв с территорий населенных пунктов, промплощадок, свалок, сельскохозяйственных угодий; водный транспорт, карьерные разработки, аварии и т. д.; вторичного загрязнения – твердый сток и донные отложения [7, 8]. Наиболее распространенные загрязнители – органические вещества, соединения Cu, Zn, Fe, фенолы, нефтепродукты, аммонийный и нитритный азот [3, 6, 9].
Адекватно оценить качество среды количественными показателями не всегда представляется возможным вследствие многофакторности воздействия источников загрязнения на водные экосистемы. Неоднократно поднимался вопрос о несовершенстве системы ограничения поступлений загрязняющих веществ, основанной на данных о предельно допустимых концентрациях (ПДК) вредных веществ в воде, поскольку они не дают адекватной оценки качества воды и не способствуют в полной мере сохранению водных экосистем от деградации [16]. Валовое содержание тяжелых металлов не дает объективной оценки их экологической опасности, так как их разные формы имеют разную токсичность [24].
Объективно оценить уровень токсического загрязнения водных экосистем в условиях антропогенной нагрузки можно только при комплексном сочетании химического и биологического методов исследования [11]. Первый позволяет идентифицировать и количественно оценить элементы загрязнения водной среды, второй – выявить степень общей опасности среды и суммарный эффект воздействия загрязняющих веществ на функционирование водных экосистем.
Из всего спектра тест-организмов, применяемых в биотестировании, ветвистоусые рачки относятся к наиболее распространенным организмам для оценки качества природных вод. Известно, что мелкоразмерные ракообразные обычно менее устойчивы к воздействию неблагоприятных факторов по сравнению с другими группами гидробионтов и являются наиболее чувствительными индикаторами загрязнения природной воды [27, 29]. В природоохранной практике Ceriodaphnia affinis Lilljeborg, 1900 – востребованный и широко распространенный тест-организм. Экспериментально подтверждена надежность интегральных показателей токсичности (выживаемость, рост, плодовитость) [10].
Цель работы – сопоставление результатов химического анализа поверхностных вод с результатами биотестирования, оценка влияния тяжелых металлов на интегральную токсичность среды по показателям смертности и плодовитости цериодафний, выявление наиболее токсичных химических элементов.
Материалы и методы
Пробы воды отобраны на водохранилищах Волжского каскада (Иваньковское, Угличское, Рыбинское, Горьковское, Чебоксарское, Куйбышевское, Саратовское) в ходе комплексного исследования на экспедиционном судне “Академик Топчиев” ИБВВ РАН в августе–сентябре 2015 г. Всего проанализировано 79 образцов воды по 9–14 проб с каждого водохранилища. Интегральные пробы воды от поверхности до дна отбирали метровым батометром Рутнера, фильтровали через обеззоленные фильтры “белая лента”. Для определения концентраций химических элементов 50 мл отфильтрованной воды фиксировали до 0.1 н. по азотной кислоте. До процедуры биотестирования отфильтрованные пробы воды объемом 500 мл хранили в холодильнике при температуре +2…+4˚C под плотно завинчивающейся крышкой.
Концентрации химических элементов Li, Na, Mg, Si, P, K, Ca, Sc, V, Cr, Mn, Fe, Co, Ni, Cu, Zn, Ga, Ge, As, Rb, Sr, Y, Zr, Nb, Mo, Sn, Sb, Ba, La, W, Pb, Bi, U определяли на масс-спектрометре ICP MS DRC-e с индуктивно связанной плазмой с применением внутреннего стандарта In [49]. При расчетах из матрицы данных были исключены элементы с нулевыми значениями – ниже порога обнаружения. Анализ токсичности воды проводили по стандартной методике с использованием ветвистоусого рачка Ceriodaphnia affinis [15, 41]. Регистрировали смертность рачков через 48 ч (d2), через 8 сут (d8); среднее количество пометов на одну самку (brood); среднее число молоди на одну самку (juv) [26].
Предварительная оценка связи между исследованными показателями биотестирования и параметрами среды проводилась с использованием коэффициента корреляции Кендалла при уровне значимости р < 0.05.
Для определения связи концентрации химических элементов и показателей биотестирования применялся один из методов прямой ординации – анализ избыточности (Redundancy Analysis, RDA), где в качестве зависимых переменных использовались показатели биотестирования – смертность и плодовитость, а в качестве предикторов – концентрации элементов. Метод позволяет отобразить многомерные исходные данные в двумерном пространстве, определить силу и характер зависимостей, а также процент объясненной вариации исходных переменных в выбранных осях.
Полученные в результате анализа избыточности оценки проб и векторов металлов разделялись на две группы методом k-средних (k-means). Для сравнения средних значений в группах применялся перестановочный дисперсионный анализ (PermANOVA) [36] с уровнем значимости р < 0.05 и с 5000 перестановок на каждое сравнение.
Для оценки вклада металлов в общую токсичность среды применялся метод случайного леса (Random Forest, RF) с 10 000 решающих деревьев [37]. В качестве метрик, характеризующих вклад каждого металла в общую модель, использовались среднее снижение точности и среднее снижение загрязнения Джини.
Иерархический кластерный анализ методом Варда проводился по обратной корреляционной матрице. Качество кластеризации оценивалось по несмещенным бутстреп-оценкам с 1000 перестановок и уровнем значимости p < 0.05.
Все расчеты сделаны в среде статистического анализа R3.6 [45] с использованием пакетов vegan [42], permuco [36], pvclust [48] и RF [37].
Результаты
Концентрации химических элементов Волжских водохранилищ соответствовали их среднему содержанию в поверхностных водах р. Волги, подверженных техногенной нагрузке, и их кларку содержания в речной воде, за исключением Mg, Ca, Fe, Cu и Sr, содержание которых было выше кларка. Превышение рыбохозяйственных нормативов зафиксировано только для Cu и Zn. Ни для одного из исследованных элементов превышения санитарно-гигиенических нормативов для питьевой воды не обнаружено. Корреляционный анализ не выявил значимых связей показателей биотестирования с концентрациями металлов, коэффициент корреляции по модулю ≤ 0.34 (приложение 1).
На ординационной диаграмме (рис. 1) большинство проб, характеризующихся нулевой смертностью в остром и хроническом экспериментах, расположено в линию вдоль противоположно направленных векторов металлов. Ортогонально им в правый нижний угол диаграммы направлена другая группа векторов металлов, вдоль которых расположено несколько проб и показатели смертности d2 и d8.
Рис. 1. Ординационная диаграмма анализа избыточности (RDA). Серые векторы – металлы; метки d2, d8, brood и juv – показатели биотестирования; черный круг – токсичные пробы, обладающие стимулирующим эффектом по показателю плодовитости; черный треугольник – токсичные пробы, обладающие эффектом угнетения; серый круг – нетоксичные пробы.
Можно предположить, что именно эти металлы будут определять токсичность, выраженную в повышенной смертности молоди тест-объекта. Из диаграммы также видно, что среднее число пометов на одну самку (brood) не зависит от концентрации химических элементов. Среднее количество молоди на самку (juv) не вносит значимого вклада в распределение обозначенных выше групп проб и векторов металлов В то же время пробы, по результатам биотестирования обладающие стимулирующим эффектом по показателю плодовитости, расположены в правой верхней части диаграммы в области векторов Cu, Zn и Ba, а пробы с эффектом угнетения расположены в левой части и соответствуют векторам щелочных и щелочноземельных элементов. Нетоксичные по результатам биотестирования пробы расположены как вдоль разнонаправленных векторов металлов, так и ортогонально им. Компоненты RDA1 и RDA2 объясняют 93.5% дисперсии зависимых переменных.
Приложение 1. Коэффициенты корреляции Кендала и уровень значимости коэффициентов корреляции
Коэффициенты корреляции Кендала | ||||||
d2 | d8 | brood | juv | |||
Li | 0.25 | 0.19 | 0.23 | 0.2 | ||
Na | 0.16 | 0.13 | 0.12 | 0.08 | ||
Mg | –0.15 | 0.04 | –0.22 | –0.2 | ||
Si | 0.1 | 0.06 | –0.22 | –0.04 | ||
P | –0.2 | –0.06 | –0.34 | –0.25 | ||
K | –0.07 | 0.03 | –0.28 | –0.2 | ||
Ca | –0.03 | 0.06 | –0.29 | –0.23 | ||
Sc | 0.23 | 0.08 | 0.05 | 0.17 | ||
V | 0.21 | 0.11 | 0.16 | 0.18 | ||
Cr | –0.12 | –0.05 | –0.13 | –0.17 | ||
Mn | –0.2 | –0.1 | –0.33 | –0.29 | ||
Fe | –0.21 | 0 | –0.29 | –0.24 | ||
Co | –0.1 | 0.06 | –0.23 | –0.1 | ||
Ni | 0.23 | 0.15 | 0.14 | 0.16 | ||
Cu | –0.02 | –0.07 | 0.31 | 0.22 | ||
Zn | –0.07 | –0.16 | 0.33 | 0.21 | ||
Ga | –0.04 | –0.06 | 0.04 | –0.11 | ||
Ge | –0.09 | –0.14 | –0.13 | –0.07 | ||
As | 0.23 | 0.17 | 0.22 | 0.2 | ||
Rb | –0.05 | 0.07 | 0.11 | 0.01 | ||
Sr | 0.26 | 0.21 | 0.2 | 0.16 | ||
Y | –0.04 | –0.06 | 0.04 | –0.11 | ||
Приложение 1. Окончание | ||||||
Коэффициенты корреляции Кендала | ||||||
d2 | d8 | brood | juv | |||
Nb | 0.06 | 0 | 0.09 | 0.06 | ||
Mo | 0.3 | 0.18 | 0.27 | 0.22 | ||
Sn | –0.04 | –0.06 | –0.01 | –0.03 | ||
Sb | 0.24 | 0.19 | 0.21 | 0.22 | ||
Ba | –0.13 | –0.09 | 0.27 | 0.12 | ||
La | –0.09 | –0.03 | –0.08 | –0.17 | ||
W | 0.15 | 0.16 | –0.1 | –0.06 | ||
Pb | –0.26 | –0.09 | –0.18 | –0.15 | ||
Уровень значимости коэффициентов корреляции | ||||||
d2 | d8 | brood | juv | |||
Li | 0.01 | 0.03 | 0 | 0.01 | ||
Na | 0.08 | 0.16 | 0.14 | 0.27 | ||
Mg | 0.11 | 0.69 | 0.01 | 0.01 | ||
Si | 0.3 | 0.51 | 0 | 0.63 | ||
P | 0.06 | 0.53 | 0 | 0 | ||
K | 0.43 | 0.77 | 0 | 0.01 | ||
Ca | 0.76 | 0.5 | 0 | 0 | ||
Sc | 0.01 | 0.36 | 0.49 | 0.02 | ||
V | 0.02 | 0.24 | 0.04 | 0.02 | ||
Cr | 0.2 | 0.59 | 0.11 | 0.03 | ||
Mn | 0.06 | 0.35 | 0 | 0 | ||
Fe | 0.05 | 0.99 | 0 | 0 | ||
Co | 0.31 | 0.53 | 0.01 | 0.22 | ||
Ni | 0.02 | 0.12 | 0.09 | 0.05 | ||
Cu | 0.79 | 0.43 | 0 | 0 | ||
Zn | 0.47 | 0.07 | 0 | 0.01 | ||
Ga | 0.74 | 0.59 | 0.68 | 0.25 | ||
Ge | 0.44 | 0.22 | 0.17 | 0.46 | ||
As | 0.01 | 0.07 | 0 | 0.01 | ||
Rb | 0.62 | 0.47 | 0.17 | 0.85 | ||
Sr | 0 | 0.02 | 0.01 | 0.03 | ||
Y | 0.74 | 0.59 | 0.68 | 0.25 | ||
Zr | 0.06 | 0.67 | 0 | 0.01 | ||
Nb | 0.56 | 0.96 | 0.34 | 0.53 | ||
Mo | 0 | 0.04 | 0 | 0 | ||
Sn | 0.74 | 0.59 | 0.88 | 0.73 | ||
Sb | 0.01 | 0.04 | 0.01 | 0 | ||
Ba | 0.18 | 0.35 | 0 | 0.12 | ||
La | 0.44 | 0.79 | 0.37 | 0.07 | ||
W | 0.11 | 0.08 | 0.2 | 0.42 | ||
Pb | 0.01 | 0.39 | 0.04 | 0.07 | ||
Исходя из предположения, что пробы воды делятся на токсичные и нетоксичные, оценки проб на ординационной диаграмме были разделены на две группы методом k-средних (рис. 2а).
Одну группу составили все пробы, расположенные ниже разнонаправленных векторов металлов, кроме проб 52 и 53 (группа I); вторую группу – пробы, расположенные вдоль них (группа II). Значения смертности ветвистоусых рачков через 48 ч и 8 сут. в группе I в 48–55 раз превосходили значения в группе II (табл. 1). Среднее число пометов статистически значимо выше в группе II, а среднее число молоди на одну самку в группах существенно не различалось. Выделенные группы отражают прежде всего различия смертности, что согласуется с результатами анализа избыточности. Пробы 52 (Васильсурск) и 53 (р. Ветлуга), вероятнее всего, отнесены к группе II ошибочно.
Таблица 1. Характеристики показателей биотестирования по группам
Группа | Число проб | d2 | d8 | brood | juv |
I | 16 | 5.63±2 | 14.38±2.23 | 2.55±0.12 | 25.44±2.27 |
II | 63 | 0.16±0.16 | 0.32±0.22 | 3.03±0.06 | 30.15±1.16 |
p value | <0.001 | <0.001 | <0.001 | 0.07 |
Разделение металлов на ординационной диа грамме на две группы методом k-средних (рис. 2б) показало, что к элементам, сонаправленным токсичной группе проб, относились Sb, Mo, As, Ni, Li, Sr, Sc, V, Na, W и U.
Рис. 2. Кластерный анализ k-средних: а – группы проб (черные маркеры – пробы с токсическим эффектом, группа I; пустые маркеры – нетоксичные пробы, группа II); б – группы металлов (черные квадраты – металлы, влияющие на токсичность, пустые квадраты – не влияющие).
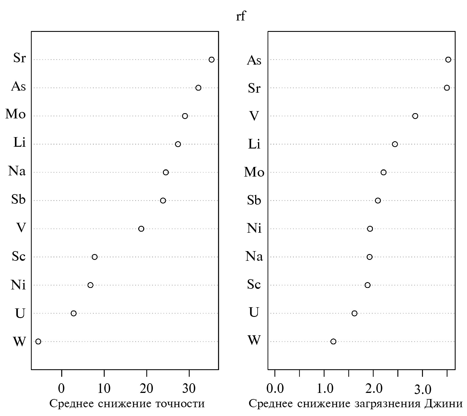
Методом случайного леса был оценен вклад каждого металла в токсичность среды (рис. 3). Наибольший вклад вносят Sr, Li и As. Заметный вклад в токсичность вносят Sb, Mo и V. Концентрации перечисленных элементов связаны между собой сильными положительными корреляционными связями, коэффициент корреляции >0.6. Меньший вклад в токсичность среды вносят W, Sc, U и Ni.
Рис. 3. Выделение наиболее токсичных металлов методом RF: a – по снижению точности классификации; б – по снижению загрязнения Джини.
По результатам иерархического кластерного анализа, выделенные металлы, оказывающие токсическое действие, преимущественно входят в отдельный кластер (уровень значимости несмещенной бутстреп-оценки кластера токсичных металлов p = 0.02) (рис. 4).
Рис. 4. Иерархическая кластеризация содержания химических элементов в пробах.
Сравнение средних концентраций металлов в выделенной токсичной группе с их установленными средними значениями, кларками и нормативами показало, что рассчитанные их значения для Sr и Mo оказались наиболее близки к ПДКрх, а для Li и As оказались существенно ниже (табл. 2).
Таблица 2. Предельные концентрации токсичных металлов, мкг/л (прочерк – нет данных)
Показатель | Li | As | Sr | Mo | Sb |
Средняя концентрация элемента в выделенной токсичной группе | 3.12 | 1.20 | 364.42 | 0.57 | 0.07 |
Среднее содержание по всему каскаду, 2015 г. | 2.37 | 1.05 | 254.69 | 0.47 | 0.06 |
Кларк элемента в речной воде [25] | 2.50 | 2 | 50 | 1 | 30 |
Кларк элемента в земной коре, мкг/г [5] | 32 | 1.7 | 340 | 1.1 | 0.5 |
Среднее содержание, р. Волга [18] | 1.94 | 1.56 | 169 | 0.46 | 0.05 |
ПДКрх [22] | 80 | 50 | 400 | 1 | – |
ПДК в воде водных объектов [21] | 30 | 10 | 7000 | 250 | 5 |
Обсуждение
Многие исследователи отмечают сильную связь между концентрациями загрязняющих веществ и такими тест-функциями рачков, как гибель и плодовитость [30, 31]. Как правило, такие зависимости обнаруживаются лишь в эксперименте, где на показатели биотестирования влияют заданные концентрации конкретных веществ в контролируемых условиях. В данном исследовании на материале поверхностных вод корреляционный анализ не показал зависимости ни одной тест-функции от концентрации химических элементов, однако анализ избыточности выявил, а перестановочный дисперсионный анализ подтвердил сильную зависимость показателей смертности от концентраций некоторых тяжелых металлов, тогда как показатели плодовитости от них не зависели. Известно, что при биотестировании поверхностных вод токсичность воды для тест-организмов может определяться комплексом факторов, совокупность которых учесть трудно [20]. Кроме того, природные воды содержат большой спектр химических соединений, многие из которых невозможно учесть аналитическими методами исследования. Данные соединения способны образовывать комплексы с тяжелыми металлами, приводя к снижению или увеличению их токсичности для гидробионтов [17, 18, 47].
Выделенные методом случайного леса токсичные элементы, оказывающие значительное влияние на показатели смертности, за исключением V, относятся к элементам 2-го класса опасности и по-разному влияют на гидробионтов [21]. Так, токсичность ионов As в острых и хронических экспериментах зависела от времени экспозиции, формы и способа внесения [44, 50]. Бионакопление As планктонными ракообразными соизмеримо с вариабельностью его концентраций в воде. Крупные ракообразные по сравнению с мелкими накапливают As в большей степени, превышая его содержание в воде [32]. В экспериментальных условиях показано, что ионы сурьмы Sb3+ оказывали большее токсическое действие на планктонных ракообразных, чем на зеленые водоросли и рыб [40]. Sr – химический аналог Ca, может занимать его место в структуре многих минералов и ингибировать его поглощение [33]. В ряду поколений D. magna Sr оказывал отсроченное токсическое действие, заключавшееся в увеличении смертности и снижении плодовитости рачков [43]. Mo – антагонист ионов Ca и P. В растворах с высокой жесткостью воды отмечено существенное снижение токсичности молибдена для ветвистоусого рачка D. magna [12]. Li мигрирует в поверхностных водах вместе с Na преимущественно в ионной форме Li3+, накапливаясь во внеклеточной жидкости [19]. Высокие концентрации Li зафиксированы в веслоногих ракообразных Карского моря и заливов Новой Земли [38].
Высокая степень взаимной корреляции для выделенных авторами статьи токсичных элементов отмечена ранее на примере поверхностных и подземных вод о. Матуа [46]. Данные элементы имеют сходную биогеохимию и, возможно, схожие источники и пути поступления в поверхностные воды Волжских водохранилищ. Отнесение их в единый иерархический кластер с высокой бутстреп-поддержкой (рис. 4) еще раз подтверждает правильное разбиение проб поверхностных вод на токсичные и нетоксичные, а также корректность использованных статистических методов.
В большинстве створов и пунктов наблюдений воды волжских водохранилищ оцениваются 3-м и 4-м классами качества как “загрязненные” и “грязные” соответственно [6]. На участке р. Волги от Твери до Рыбинска зарегистрировано превышение санитарно-гигиенических нормативов для Al, As, Be, Cu, Fe, Pb, Se [14]. В перечисленном списке среди выделенных токсичных элементов (рис. 3a, 3б) отмечен только As. Превышение санитарно-гигиенического норматива по остальным металлам – Li, Sr, Mo, Sb и V – не отмечается. Содержание Li, As и Mo сопоставимо с концентрациями данных элементов для кларка речной воды, а Sb – ниже. Содержание Sr заметно выше его концентрации в кларках речной воды и земной коры, а также превышает принятые в России значения ПДКрх, что косвенно свидетельствует об антропогенных источниках его поступления в поверхностные воды р. Волги (табл. 2).
По результатам статистического анализа из 79 проб воды к токсичным отнесено 16 проб, в то время как по данным биотестирования к их числу относились 37 проб [26]. Из этих 37 проб воды для 17 проб отмечено значимое снижение числа молоди на одну самку по сравнению с контролем (эффект угнетения), а для 20 – значимое увеличение данного показателя на ≥30% (эффект стимуляции). Среди выделенных ранее 17 проб, обладающих эффектом угнетения, для восьми проб по результатам статистического анализа отмечен аналогичный результат. Известно, что в ходе химических реакций в водной среде происходит образование новых соединений, которые могут быть токсичнее или, наоборот, безвреднее исходных ингредиентов [1]. Возможно, для остальных девяти проб, выделенных по результатам биотестирования как оказывающие хроническое токсическое действие, токсичность увеличивалась за счет комплексного действия соединений, содержание которых не учитывалось в данной работе. Исследования в течение года на лабораторной культуре ветвистоусых рачков дают основание утверждать, что их плодовитость зависит от токсичности воды и от сезона, выживаемость от времени года не зависит, а имеет прямую связь только с качеством воды [2]. Таким образом, выделенные токсичные металлы влияли на смертность рачков, но не оказывали значимого влияния на их плодовитость, что могло послужить причиной малого совпадения результатов расчетов методом k-средних с результатами биотестирования, которое составило 47%.
Также стоит отметить, что в числе 16 токсичных проб, выделенных статистическим анализом, лишь одна проба (ст. Всехсвятское, Рыбинское водохранилище) оказывала стимулирующий эффект по данным биотестирования. Вероятно, использованная методология не позволяет корректно относить такие пробы к выделенным группам токсичности ввиду наличия дополнительных факторов. Стимулирующее действие тестируемых проб как характеристика токсичности – спорный момент. С одной стороны, стимуляция репродуктивных показателей – не обязательно ответ на токсичность, это может быть и отклик на факторы, повышающие метаболические процессы: присутствие в исследуемых средах окисляемых органических и биогенных веществ, витаминов, гормонов, биостимуляторов [11]. Данный эффект может наблюдаться и в реальных водных экосистемах, где загрязнение редко достигает уровней, приводящих к их гибели. В этих условиях активизация роста и размножения даже без дополнительного поступления биогенных веществ может приводить к бурному развитию отдельных групп водных организмов, нарушая нормальное течение экологических процессов. С другой стороны, такие эффекты считаются свидетельством интоксикации и рассматриваются исключительно как негативные проявления, непременно приводящие к неблагополучию для организма или популяции [13, 35].
В настоящее время поверхностные воды характеризуются комплексным загрязнением, при котором могут проявляться как синергетические, так и антагонистические эффекты [39]. Токсичное влияние загрязняющих веществ в природных водоемах может не соответствовать установленным в лабораторных условиях значениям ПДК в зависимости от природных условий водоема, содержания Ca, гумусовых веществ, температурных условий [1, 28].
При оценке качества водных экосистем широко применяются химические методы анализа загрязняющих веществ с дальнейшим их сравнением с существующими отечественными или зарубежными нормативами. Рассчитанные средние концентрации Sr и Mo в токсичной группе оказались близки к существующим нормативам содержания этих веществ для водных объектов рыбохозяйственного значения, а для Li и As – были на порядок ниже (табл. 2). Возможные причины столь высоких средних концентраций Li и As в токсичной группе могут быть связаны с отсутствием поправок на региональные физико-химические характеристики и геохимический фон поверхностных вод каскада Волжских водохранилищ при разработке норматива. Следует отметить, что нидерландскими учеными [34] на основе анализа многочисленных экспериментальных и натурных исследований для поверхностных вод суши рекомендована концентрация мышьяка 1.0 мкг/л, рассчитанная же авторами статьи средняя концентрация в токсичной группе оказалась к ней близка и составила 1.20 мкг/л.
Несоответствие установленных уровней ПДКрх отмечается и для других элементов. Максимальные естественные концентрации Mo в некоторых водотоках Кавказа сравнимы с техногенно обусловленными, что говорит о природном геохимическом повышенном его содержании и о крайне низких значениях ПДКрх для данного региона [23]. Также неоднократно отмечалось, что в России по сравнению с другими странами (Канада, США, страны ЕС) завышены нормативы для Сd, As, Pb и Al [16]. Поэтому система ПДК, базирующаяся на данных экспериментальных работ, не дает научной основы для экологического нормирования поступающих в водоемы загрязняющих веществ.
Заключение
Статистический анализ данных о химическом составе воды совместно с результатами биотестирования позволил выделить токсичные пробы воды, при биотестировании которых наблюдалась повышенная смертность тест-организма C. affinis по сравнению с контролем. Установлена зависимость показателей смертности от концентрации исследованных элементов. Показатели плодовитости слабо зависели или вовсе не зависели от концентрации химических элементов. Определен набор элементов, оказывающих наибольшее влияние на смертность модельного организма. Статистический анализ химического состава воды не позволил выделить токсичные пробы, обладающие стимулирующим влиянием на репродуктивные показатели рачков, поэтому совпадение его результатов с результатами биотестирования составило 47%.
Таким образом, статистический анализ и в первую очередь метод анализа избыточности (RDA) позволяет определить вклад тяжелых металлов в общую токсичность проб и их влияние на жизнедеятельность тест-организма. Но данный метод имеет ограничения, поэтому может применяться только совместно с методом биотестирования.
Благодарности
Авторы выражают благодарность А. В. Крылову (ИБВВ РАН) и И. В. Поздееву (Пермский филиал ПермНИРО) за ценные советы и рекомендации при подготовке рукописи.
About the authors
Р. А. Ложкина
Институт биологии внутренних вод им. И. Д. Папанина РАН
Author for correspondence.
Email: lozhkina.roza@yandex.ru
Russian Federation, 152742, пос. Борок, Ярославская обл.
Д. Г. Селезнев
Институт биологии внутренних вод им. И. Д. Папанина РАН
Email: lozhkina.roza@yandex.ru
Russian Federation, 152742, пос. Борок, Ярославская обл.
И. И. Томилина
Институт биологии внутренних вод им. И. Д. Папанина РАН
Email: lozhkina.roza@yandex.ru
Russian Federation, 152742, пос. Борок, Ярославская обл.
М. В. Гапеева
Институт биологии внутренних вод им. И. Д. Папанина РАН
Email: lozhkina.roza@yandex.ru
Russian Federation, 152742, пос. Борок, Ярославская обл.
References
- Абакумов В.А., Сущеня Л.М. Гидробиологический мониторинг пресноводных экосистем и пути его совершенствования // Экологические модификации и критерии экологического нормирования: труды международного симпозиума. М.: Гидрометеоиздат, 1991. С. 41–51.
- Александрова В.В. Биотестирование как современный метод оценки токсичности природных и сточных вод. Нижневартовск: Изд-во НВГУ, 2013. 119 с.
- Болгов М.В., Кочарян А.Г., Лебедева И.П. и др. Качество природных вод в каскаде Волжских водохранилищ // Арид. экосистемы. 2008. Т. 14. № 35–36. С. 68–81.
- Брагинский Л.П., Комаровский Ф.Я., Щербань Э.П. и др. Эколого-токсикологическая ситуация в водной среде // Гидробиол. журн. 1989. Т. 25. № 6. С. 91–101.
- Виноградов А.П. Средние содержания химических элементов в главных типах изверженных горных пород земной коры // Геохимия. 1962. Вып. 7. С. 555–571.
- Государственный доклад “О состоянии и об охране окружающей среды Российской Федерации в 2011 году”. М.: Минприроды России, НИА-Природа, 2013. 120 с.
- Государственный доклад “О состоянии и об охране окружающей среды Российской Федерации в 2013 году”. М.: Минприроды России, НИА-Природа, 2014. 463 с.
- Государственный доклад “О состоянии и об охране окружающей среды Российской Федерации в 2017 году”. М.: Минприроды России, НИА-Природа, 2018. 890 с.
- Дебольский В.К., Кочарян А.Г., Григорьева И.Л. и др. Проблемы формирования качества воды в поверхностных источниках водоснабжения и пути их решения на примере Иваньковского водохранилища // Вода: химия и экология. 2009. № 7 (13). С. 2–11.
- Жмур Н.С. Государственный и производственный контроль токсичности вод методами биотестирования в России. М.: Международ. дом сотрудничества, 1997. 117 с.
- Жмур Н.С. Экотоксикологический контроль. Приемы исследований и лабораторная практика. М.: Акварос, 2018. 472 с.
- Журавлева М.В., Воробьева О.В., Исакова Е.Ф. Влияние жесткости воды на токсичность тяжелых металлов для Daphnia magna // Экология гидросферы. 2021. № 1 (6). С. 40–48.
- Мелехова О.П., Коссова Г.В., Падалка С.М. и др. Экологические последствия слабых загрязнений водной среды // Ульяновский мед.-биол. журн. 2012. № 4. С. 131–136.
- Мейсурова А.Ф., Лопина А.В. АЭС-ИСП-анализ содержания элементов в водах бассейна Верхней Волги в пределах трех субъектов РФ (Тверская, Московская и Ярославская области) // Вестн. ТвГУ. Сер. Биология и экология. 2018. № 4. С. 226–241.
- Методика определения токсичности воды и водных вытяжек из почв, осадков сточных вод, отходов по смертности и изменению плодовитости цериодафний. ФР 1.39.2007.03221. М.: Акварос, 2007. 56 с.
- Моисеенко Т.И. Оценка качества вод и “здоровья” экосистем с позиций экологической парадигмы // Вод. хоз-во России: проблемы, технологии, управление. 2017. № 3. С. 104–124.
- Моисеенко Т.И., Даувальтер В.А., Родюшкин И.В. Механизмы круговорота природных и антропогенных металлов в поверхностных водах Субарк тики // Вод. ресурсы. 1998. Т. 25. № 2. С. 231–243.
- Моисеенко Т.И., Кудрявцева Л.П., Гашкина Н.А. Рассеянные элементы в поверхностных водах суши. М.: Наука, 2006. 61 с.
- Никаноров А.М., Жулидов А.В., Покаржевский А.Д. Биомониторинг тяжелых металлов в пресноводных экосистемах. Л.: Гидрометеоиздат, 1985. 144 с.
- Олькова А.С., Ашихмина Т.Я. Факторы получения репрезентативных результатов биотестирования водных сред (обзор) // Теорет. приклад. экология. 2021. № 2. С. 22–30.
- Предельно допустимые концентрации (ПДК) химических веществ в воде водных объектов хозяйственно-питьевого и культурно-бытового водопользования. ГН 2.1.5.1315–03. М.: РПОХБВ Минздрава РФ, 2003. 154 с.
- Приказ Минсельхоза России “Об утверждении нормативов качества воды, водных объектов рыбохозяйственного значения, в том числе нормативов предельно допустимых концентраций вредных веществ в водах водных объектов рыбохозяйственного значения”. М.: Минюст РФ, 2016. 142 с.
- Реутова Т.В., Дреева Ф.Р., Реутова Н.В. Природное и антропогенное загрязнение молибденом водных объектов Центрального Кавказа и его биоиндикация // Геоэкология. Инженерная геология. Гидрогеология. Геокриология. 2018. № 2. С. 51–60.
- Стандарты и целевые показатели качества воды // Обз. инф. Экол. экспертиза. М.: ВИНИТИ, 1999. № 4. С. 42–72.
- Соловов А.П., Архипов А.Я., Бугров В.А. и др. Справочник по геохимическим поискам полезных ископаемых. М.: Недра, 1990. С. 9–10.
- Томилина И.И., Гапеева М.В., Ложкина Р.А. Оценка качества воды и донных отложений каскада водохранилищ реки Волга по показателям токсичности и химического состава // Разнообразие, распределение и обилие гидробионтов в водохранилищах Волжско-Камского бассейна. Тр. ин-та биологии внутрен. вод. Вып. 82 (85). 2018. C. 107–131.
- Филенко О.Ф. Биотестирование: возможности и перспективы использования в контроле поверхностных вод. Методы биоиндикации и биотестирования природных вод. Л.: Гидрометеоиздат, 1989. С. 185–193.
- Чеботарев Г.Н., Моисеенко Т.И., Бородач М.В. и др. Обоснование региональных нормативов качества вод и правовых механизмов их установления на уровне субъектов Российской Федерации // Вестн. Тюменского гос. ун-та. 2012. № 12. С. 227–237.
- Черкашин С.А., Блинова Н.К. Экспериментальные исследования токсичности фенола для ракообразных (обзор) // Гидробиол. журн. 2013. Т. 49. № 3. С. 61–74.
- Шилова Н.А., Рогачева С.М., Губина Т.И. Влияние биогенных металлов на жизнедеятельность Daphnia magna // Изв. Самарского НЦ РАН. 2010. Т. 12. № 1–8. С. 1951–1953.
- Belanger S.E., Cherry D.S. Interacting effects of pH acclimation, pH, and heavy metals on acute and chronic toxicity to Ceriodaphnia dubia (Cladocera) // J. Crustacean Biol. 1990. V. 10. № 2. P. 225–235.
- Chen C.Y., Folt C.L. Bioaccumulation and diminution of arsenic and lead in a freshwater food web // Environ. Sci. Tech. 2000. V. 34. № 18. P. 3878–3884.
- Chowdhury M.J., Blust R. Strontium homeostasis and toxicology of non-essential metals // Fish Physiol. 2011. V. 31B. P. 351–390.
- Crommentuijn Т., Sijm D., Bruijn J. et al. Maximum permissible and negligible concentrations for metals and metalloids in the Netherlands, taking into account background concentrations // J. Environ. Management. 2000. V. 60. P. 121–143.
- Filenko O.F., Isakova E.F., Gershkovich D.M. Stimulation of life processes in Ceriodaphnia affinis Lilljeborg (Crustacea, Anomopoda) at low concentrations of potentially toxic substances // Inland Water Biol. 2013. V. 6. № 4. P. 357–361.
- Frossard J., Renaud O. Permutation tests for regression, ANOVA, and comparison of signals. The permuco Package // J. Statistical Software. 2021. V. 99. № 15. P. 1–32.
- Liaw A., Wiener M. Classification and regression by randomForest // R News. 2002. V. 2. № 3. P. 18–22. https://CRAN.R-project.org/doc/Rnews/
- Lobus N.V. Elemental composition of zooplankton in the Kara Sea and the bays on the eastern side of Novaya Zemlya // Oceanol. 2016. V. 56. № 6. P. 809–818.
- Moiseyenko T.I., Gashev S.N., Shalabodov A.D. Water quality and ecosystem stability: theoretical and practical aspects of research // Tyumen State Univ. Herald. 2012. № 12. P. 4–13.
- Nam S.H., Yang C.Y., An Y.J. Effects of antimony on aquatic organisms (Larva and embryo of Oryzias latipes, Moina macrocopa, Simocephalus mixtus and Pseudokirchneriella subcapitata) // Chemosphere. 2009. V. 75. № 7. P. 889–893.
- Mount D.I., Norberg T.J. A seven-day life-cycle cladoceran toxicity test // Environ. Toxicol. Chem. 1984. № 3. P. 425–434.
- Oksanen J., Blanchet F.G., Friendly M. et al. (2019). Vegan: community ecology package (version 2.5–6). The Comprehensive R Archive Network. 2019. https://CRAN.R-project.org/package=vegan
- Olkova A.S. Chronic toxity testing with Daphnia magna in three generations // Environ. Res. Engineering Management. 2022. V. 78. № 1. P. 31–37.
- Oremland R.S., Stolz J.F. The ecology of arsenic // Sci. 2003. V. 300. № 5621. P. 939–944.
- R Core Team. R: A language and environment for statistical computing. R Foundation for Statistical Computing. 2020. 201 p. https://www.R-project.org/
- Savenko A.V., Ivanov A.N., Savenko V.S., Pokrov- sky O. S. Chemical composition of the surface and ground waters of Matua island, the Kurile island arc // Geochem. Int. 2020. V. 58. № 5. P. 549–561.
- Sorvari J., Sillanpää M. Influence of metal complex formation on heavy metal and free EDTA and DTPA acute toxicity determined by Daphnia magna // Chemosphere. 1996. V. 33. № 6. P. 1119–1127.
- Suzuki R., Terada Y., Shimodaira H. pvclust: Hierarchical Clustering with P-Values via Multiscale Bootstrap Resampling. R package version 2.2–0. 2019. https://CRAN.R-project.org/package=pvclust/
- Taylor H.E. Inductively coupled plasma-mass spectrometry. Practices and techniques. San Diego: Acad. Press, 2001. 294 p.
- Wang N.X., Liu Y.Y., Wei Z.B. et al. Waterborne and dietborne toxicity of inorganic arsenic to the freshwater zooplankton Daphnia magna // Environ. Sci. Technol. 2018. V. 52. № 15. P. 8912–8919.
Supplementary files






