A FCM Runoff Model for Small Rivers with Rainfall Recharge. 2. Parameterization and Verification
- Authors: Gartsman B.I.1,2, Gubareva T.S.3,4, Shamov V.V.5, Lupakov S.Y.2
-
Affiliations:
- Water Problems Institute, Russian Academy of Sciences
- Pacific Geographical Institute, Far Eastern Branch of the Russian Academy of Sciences
- Water Problems Institute, Russian Academy of Sciences, 119333, Moscow, Russia
- Pacific Geographical Institute, Far East Branch, Russian Academy of Sciences, 690041, Vladivostok, Russia
- Pasific Geographical Institute, Far-Eastern Branch, Russian Academy of Sciences, 690041, Vladivostok, Russia
- Issue: Vol 50, No 4 (2023)
- Pages: 407-422
- Section: МАТЕМАТИЧЕСКИЕ МОДЕЛИ В РЕШЕНИИ ЗАДАЧ ГИДРОЛОГИИ СУШИ
- URL: https://bakhtiniada.ru/0321-0596/article/view/134868
- DOI: https://doi.org/10.31857/S0321059623040090
- EDN: https://elibrary.ru/QKPSUG
- ID: 134868
Cite item
Full Text
Abstract
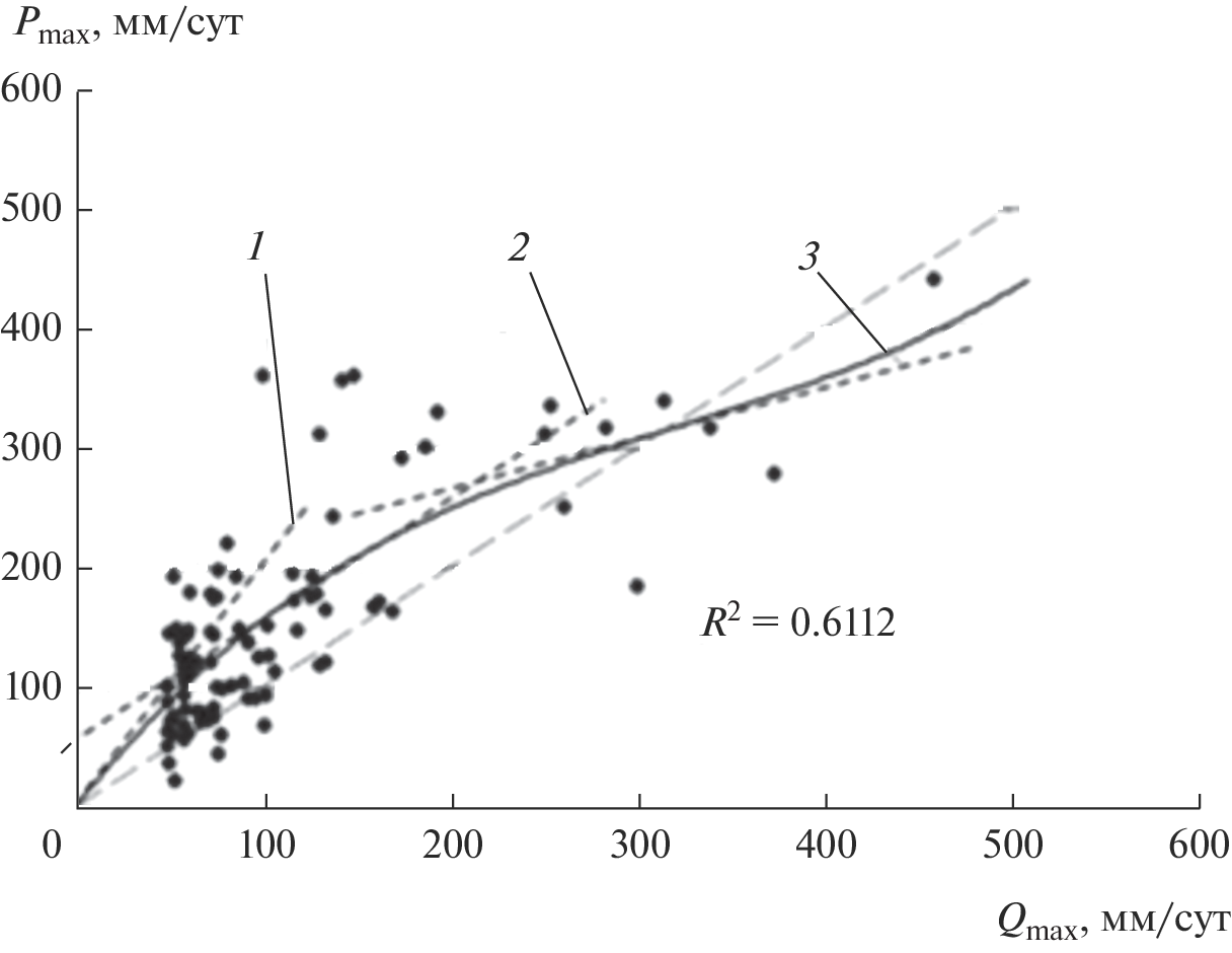
The specific features of the parameterization and verification of FCM model were analyzed, and the data published before, as well as new results of the authors’ field observations, are systematized. The parameterization algorithms and the results of model testing in different regions with the predominance of rain floods in river regime are described. The basis and empirical confirmation of some principal hypotheses of FCM are discussed and the so-called effect of basin buffer storage is considered. This most vivid manifestation of the nonlinearity of the extreme runoff formation is, though a rare, but principally important phenomenon in the formation of extraordinary rain floods.
About the authors
B. I. Gartsman
Water Problems Institute, Russian Academy of Sciences; Pacific Geographical Institute, Far Eastern Branch of the Russian Academy of Sciences
Email: gartsman@inbox.ru
Russian, Moscow; Russian, Vladivostok
T. S. Gubareva
Water Problems Institute, Russian Academy of Sciences, 119333, Moscow, Russia; Pacific Geographical Institute, Far East Branch, Russian Academy of Sciences, 690041, Vladivostok, Russia
Email: tgubareva@bk.ru
Россия, 119333, Москва; Россия, 690041, Владивосток
V. V. Shamov
Pasific Geographical Institute, Far-Eastern Branch, Russian Academy of Sciences, 690041, Vladivostok, Russia
Email: vlshamov@yandex.ru
Россия, 690041, Владивосток; Россия, 677010, Якутск
S. Yu. Lupakov
Pacific Geographical Institute, Far Eastern Branch of the Russian Academy of Sciences
Author for correspondence.
Email: gartsman@inbox.ru
Russian, Vladivostok
References
- Василенко Н.Г. Гидрология рек зоны БАМ: экспедиционные исследования. СПб.: Нестор-История, 2013. 672 с.
- Васильева Е.С., Белякова П.А., Алексюк А.И., Селезнева Н.В., Беликов В.В. Моделирование быстроразвивающихся паводков на малых реках Северного Кавказа с использованием современных данных автоматизированной гидрометеорологической сети // Вод. ресурсы. 2021. Т. 48. № 2. С. 135–146.
- Гарцман Б.И. Дождевые наводнения на реках юга Дальнего Востока: методы расчетов, прогнозов, оценок риска. Владивосток: Дальнаука, 2008. 223 с.
- Гарцман Б.И. Модель стока FCM для малых рек с дождевым питанием 1. Концепция и алгоритмы // Вод. ресурсы. 2023. Т. 50. № 4. С. 395–406.
- Гарцман Б.И., Губарева Т.С., Лупаков С.Ю. и др. Формы линейной организации склонового стока в среднегорье (на примере Сихотэ-Алиня) // Вод. ресурсы. 2020. Т. 47. № 2. С. 123–132.
- Гарцман Б.И., Губарева Т.С., Шамов В.В. Речные системы Дальнего Востока России: четверть века исследований. Владивосток: Дальнаука, 2015. 492 с.
- Ли К.Т., Чен Н.К., Гарцман Б.И., Бугаец А.Н. Современная версия модели единичного гидрографа и ее применение в Тайване и России // География и природ. ресурсы. 2009. № 1. С. 144–151.
- Михайлов В.М. Пойменные талики Северо-Востока России. Новосибирск: Гео, 2013. 244 с.
- Найденов В.И. Нелинейная динамика поверхностных вод суши. М.: Наука, 2004. 318 с.
- Шамов В.В., Шекман Е.А., Губарева Т.С. и др. Характеристики и условия формирования предпочтительных водопроводящих путей на склонах долин малых горных рек // Гидросфера. Опасные процессы и явления. 2021. Т. 3. № 3. С. 275–296.
- Belyakova P.A., Gartsman B.I. Possibilities of flood forecasting in the West Caucasian rivers based on FCM model // Water Resour. 2018. T. 45. № S1. C. S50–S58.
- Beven K.J. Rainfall-runoff Modelling: The Primer. Chichester: Wiley&Sons, 2001. 488 p.
- Bloeschl G. 133 Rainfall-runoff Modelling of Ungauged Catchments // Encyclopedia of Hydrol. Sci. / Eds M.G. Anderson, J.J. McDonnell. New York: John Wiley, 2005. P. 2061–2080. https://doi.org/10.1002/0470848944.hsa140
- Gartsman B.I., Lupakov S.Yu. Changes in the maximum runoff regime in the Ussuri River Basin: the methodological aspects of forecasting based on dynamic-stochastic simulation // Water Resour. 2018. T. 45. № 1. P. 79–89.
- Gonchukov L.V., Bugaets A.N., Gartsman B.I., Lee K.T. Weather radar data for hydrological modelling: an application for south of Primorye region, Russia // Water Resour. 2019. T. 46. № 2. P. 25–30.
- Mathematical models of small watershed hydrology // Eds V.P. Singh, D.K. Frevert. Highlands Ranch: Water Resour. Publ., 2001. 972 p.
- Tromp-van Meerveld H.J., McDonnell J.J. Threshold relations in subsurface stormflow: 1. A 147-storm analysis of the Panola hillslope // Water Resour. Res. 2006. V. 42. W02410. https://doi.org/10.1029/2004WR003778
- van Meerveld H.J.I., Kirchner J.W., Vis M.J.P., Assendelft R.S., Seibert J. Expansion and contraction of the flowing stream network alter hillslope flowpath lengths and the shape of the travel time distribution // Hydrol. Earth Syst. Sci. 2019. V. 23. P. 4825–4834. https://doi.org/10.5194/hess-23-4825-2019
- Wagener T., Wheater H.S., Gupta H.V. Ranfall-runoff Modelling in gauged and ungauged catchments. London: Imperial College Press, 2004. 332 p.
Supplementary files













