Effect of 8-oxo-1,N6-ethenoadenine derivatives on the activity of RNA polymerases of the SARS-CoV-2 virus and Escherichia coli
- Authors: Petushkov I.V.1,2, Aralov A.V.3,4, Ivanov I.A.3,5, Baranov M.S.3,6, Zatsepin T.S.7, Kulbachinskiy A.V.1,2
-
Affiliations:
- National Research Centre “Kurchatov Institute”
- Institute of Gene Biology, Russian Academy of Sciences
- Shemyakin–Ovchinnikov Institute of Bioorganic Chemistry, Russian Academy of Sciences
- RUDN University
- LLC “Organicum”
- Pirogov Russian National Research Medical University
- Lomonosov Moscow State University
- Issue: Vol 89, No 12 (2024)
- Pages: 2132-2144
- Section: Articles
- URL: https://bakhtiniada.ru/0320-9725/article/view/283297
- DOI: https://doi.org/10.31857/S0320972524120099
- EDN: https://elibrary.ru/IFBLLS
- ID: 283297
Cite item
Full Text
Abstract
Bacterial and viral RNA polymerases are promising targets for the development of new transcription inhibitors. One of the potential blockers of RNA synthesis is 7,8-dihydro-8-oxo-1,N6-ethenoadenine (oxo-εA), a synthetic compound that is a combination of two modifications of adenine: 8-oxoadenine and 1,N6-ethenoadenine. In this study we synthesized oxo-εA triphosphate (oxo-εATP) and showed that it could be incorporated by RNA-dependent RNA polymerase of the SARS-CoV-2 virus into the synthesized RNA opposite template residues A and G in the presence of Mn2+ ions. In the case of Escherichia coli RNA polymerase, the incorporation occurred opposite A residues in the template DNA strand. If oxo-εA was present instead of adenine in the template DNA strand, transcription was completely stopped at the site of modification. At the same time, oxo-εATP did not suppress RNA synthesis by both RNA polymerases in the presence of unmodified nucleotides. Thus, oxo-εA modification significantly disrupts the template properties of the nucleotide during RNA synthesis by RNA polymerases of different classes, and the corresponding nucleotide derivatives are not potential antiviral or antibacterial transcription inhibitors.
Full Text
Принятые сокращения: РНКП – ДНК-зависимая РНК-полимераза; oxo-εA – 7,8-дигидро-8-оксо-1,N6-этеноаденин; oxo-εATP – 7,8-дигидро-8-оксо-1,N6-этеноаденозинтрифосфат; RdRp – РНК-зависимая РНК-полимераза вируса SARS-CoV-2.
ВВЕДЕНИЕ
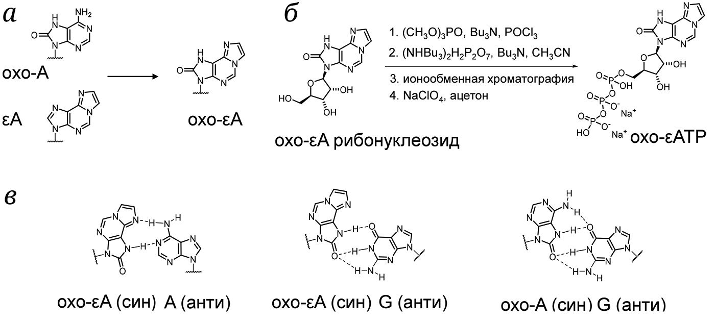
Производные природных азотистых оснований, нуклеозидов, нуклеотидов и нуклеиновых кислот находят широкое применение в фундаментальных исследованиях, а также при создании терапевтических агентов, т.к. модификации приводят к появлению и/или улучшению широкого набора свойств по сравнению с природными аналогами. Недавняя пандемия, вызванная РНК-содержащим вирусом SARS-CoV-2, стимулировала поиск новых нуклеозидных ингибиторов вирусной РНК-зависимой РНК-полимеразы (RdRp), а также показала необходимость дальнейшей работы в данном направлении для создания эффективных препаратов при появлении устойчивых линий и/или новых вирусов. Одним из возможных кандидатов на роль ингибитора RdRp является 7,8-дигидро-8-оксо-1,N6-этеноаденин (oxo-εA), который является комбинацией двух модификаций аденина: 7,8-дигидро-8-оксоаденина (oxo-A) и 1,N6-этеноаденина (εA) (рис. 1, а). Ранее было показано, что ДНК, содержащая oxo-εA, может реплицироваться клеточными ДНК-полимеразами, которые включают напротив него остатки А [1]. В составе ДНК-дуплекса азотистое основание oxo-εA находится преимущественно в син-конформации и спаривается с аденином, образуя пару, схожую по параметрам с АТ-парой [1]. Это позволяет ожидать, что oxo-εA-трифосфат может потенциально включаться в РНК.
Рис. 1. Структура oxo-εA-модификации (а), химический синтез oxo-εATP (б) и предполагаемые пары oxo-εA:A, oxo-εA:G и oxo-A:G (в)
Геном вируса SARS-CoV-2 представляет собой одноцепочечную молекулу РНК размером 29,9 тысяч нуклеотидов, которая реплицируется и транскрибируется RdRp, имеющей сложное строение [2]. RdRp SARS-CoV-2 состоит из каталитической субъединицы nsp12 и двух вспомогательных факторов, nsp7 и nsp8. Активный центр RdRp локализован в nsp12 и содержит 2 остатка аспартата, D760 и D761, необходимых для связывания двух ионов двухвалентных металлов, играющих ключевую роль при катализе [3]. Существуют данные о том, что RdRp SARS-CoV-2 является самой быстрой изо всех вирусных полимераз (скорость включения 600 нт/с) [4], что объясняет высокую частоту ошибок (частота включения некомплементарных оснований 10−1 – 10−3) [5]. Такая высокая ошибочность требует наличия корректирующей активности, осуществляемой 3′–5′ экзорибонуклеазой nsp14, которая регулируется вирусным белком nsp10 [6]. С другой стороны, такая высокая частота ошибок способствует высокой скорости адаптации вирусов в условиях отбора [7–9]. Несмотря на низкую точность, RdRp является чувствительным к структуре субстратов ферментом. Так, она требует обязательного наличия 2′-OH-группы на 3′-конце как РНК-продукта, так и включаемого нуклеотида [10, 11]. Вместе с тем RdRp способна включать в растущую цепь РНК фосфорилированные формы некоторых синтетических нуклеозидов, на основе которых получены лекарственные препараты: софосбувир [12, 13], ремдесивир [14, 15] и молнупиравир [16]. Включение модифицированных остатков в РНК-продукт может блокировать его дальнейшее удлинение [13, 17, 18], а их наличие в РНК-матрице может затруднять последующий синтез комплементарного РНК-продукта или увеличивать число ошибок [16, 19–21]. Кроме того, было показано, что некоторые природные модификации РНК-матрицы, такие как N1-метиладенозин, N3-метилуридин и 2′-О-метилгуанозин, являются практически непреодолимыми препятствиями для RdRp [11, 22].
В отличие от большинства вирусных РНК-зависимых РНК-полимераз, бактериальные, архейные и эукариотические ДНК-зависимые РНК-полимеразы (РНКП) являются многосубъединичными белками [23]. Они также нуждаются в ионах Me2+ для катализа [24, 25]. Данные белки также относительно часто допускают ошибки при транскрипции (частота 10−3 – 10−5) [26, 27], но делают их реже, чем коронавирусные RdRp. Как и вирусные RdRp, клеточные РНКП способны включать некоторые модифицированные аналоги нуклеотидов [28–30]. Кроме того, РНКП реагируют на наличие модифицированных нуклеотидов в ДНК-матрице. В зависимости от природы модификации азотистого основания в матричной цепи ДНК, РНКП может включить неправильный остаток в растущую цепь РНК напротив повреждения или остановиться в повреждённом участке, что делает РНКП важным сенсором повреждений в ДНК [31]. Наличие остатка oxo-A в матричной цепи ДНК является серьёзным препятствием для архейной РНКП [32], а наличие εA блокирует активность бактериальной РНКП [33]. Как будет влиять комбинация этих двух модификаций на работу РНКП, неизвестно.
Цель исследования: изучить влияние oxo-εA в составе нуклеозидтрифосфата или матричной цепи на синтез РНК вирусной и прокариотической РНК-полимеразами. Задачи работы: 1. Установить, способна ли RdRp включать oxo-εA-трифоcфат (7,8-дигидро-8-оксо-1,N6-этеноаденозинтрифосфат, oxo-εATP) в синтезируемую РНК напротив различных матричных нуклеотидов, а также установить, приводит ли включение остатка oxo-εA к дальнейшему ингибированию синтеза РНК. 2. Проверить, способна ли РНКП E. coli использовать oxo-εATP в качестве субстрата, а также исследовать влияние oxo-εA в матричной ДНК на синтез РНК-транскрипта.
МАТЕРИАЛЫ И МЕТОДЫ
Химический синтез. Оборудование и реактивы. Все реагенты были приобретены у компании «Sigma-Aldrich» (США). Растворители были приобретены у компании «ХИММЕД» (Россия). 1H, 13C и 31P ЯМР-спектры регистрировали на спектрометре Bruker Avance III 600 («Bruker», Германия) при 600, 150 и 243 МГц соответственно. Мультиплетность указана с использованием следующих сокращений: с (синглет), д (дублет) и м (мультиплет). Константы спин-спинового взаимодействия (J) указаны в Гц. Ионообменную хроматографию проводили на приборе Akta Explorer 100 («Cytiva», Швеция).
Синтез и очистка oxo-εATP (динатриевая соль). К рибонуклеозиду oxo-εA [34] (0,62 г, 2,0 ммоль) в сосуде Шленка (100 мл) в инертной атмосфере добавляли свежеперегнанные триметилфосфат ((CH3O)3PO, 8,0 мл) и трибутиламин (Bu3N, 0,95 мл). Смесь интенсивно перемешивали при комнатной температуре в течение 30 мин и охлаждали до −10 °С. К охлаждённой реакционной смеси в инертной атмосфере добавляли оксихлорид фосфора (POCl3, 0,33 мл, 3,6 ммоль) и перемешивали при −10 °С в течение 1 ч. Затем к смеси добавляли охлаждённую до −20 °С фосфорилирующую смесь, полученную интенсивным перемешиванием смеси ацетонитрила (CH3CN, 20 мл), Bu3N (2,8 мл, 11,8 моль) и пирофосфата бис(трибутиламмония) ((NHBu3)2H2P2O7, 1,2 г, 2,2 ммоль) в инертной атмосфере в течение 20 мин. После перемешивания в течение 1 ч при −10 °С к реакционной смеси добавляли холодную воду (65 мл) и перемешивали в течение 1 ч при 0 °С. Смесь переносили в делительную воронку и промывали хлористым метиленом (15 мл × 5). Водный слой отделяли и добавляли к нему водный раствор аммиака до рН 7,0. Полученный раствор oxo-εATP хранили в холодильнике до очистки ионообменной хроматографией. Очистку проводили методом ионообменной хроматографии на колонке 50 × 250 мм, упакованной сорбентом HEMA-BIO 1000 DEAE 70 мкм (Германия), в градиенте 50–600 мМ концентраций бикарбоната триэтиламмония (pH 7,6). Фракции, содержащие целевой продукт, упаривали, затем остаток повторно растворяли в воде и упаривали для удаления остатков буфера. Полученный продукт переводили в натриевую соль переосаждением из водного раствора десятикратным объёмом 3%-ного раствора перхлората натрия (NaClO4) в ацетоне. Осадок промывали сухим ацетоном и сушили под вакуумом. Выход 0,52 г (0,86 ммоль, 43%). 1H ЯМР (600 МГц, D2O): δ 9,10 (с, 1H), 8,02 (д, J = 1,2 Гц, 1H), 7,63 (д, J = 1,2 Гц, 1H), 6,06 (д, J = 5,6 Гц, 1H), 5,36 (дд, J = 5,6 Гц, J = 5,7 Гц, 1H), 4,80–4,75 (м, 1H), 4,40–4,35 (м, 2H), 4,32–4,26 (м, 1H). 13C ЯМР (150 МГц, D2O): δ 154,1, 135,8, 135,4, 133,8, 132,9, 112,2, 108,4, 86,1, 82,9 (д, J = 8,4 Гц, 1С), 70,5, 69,9, 65,3 (д, J = 5,2 Гц, 1С). 31P ЯМР (243 МГц, D2O): δ −6,10 (д, J = 19,7 Гц, 1P), −10,79 (д, J = 18,8 Гц, 1P), −21,65 (дд, J = 19,7 Гц, J = 18,8 Гц, 1P). Спектры ЯМР приведены в Приложении.
Синтез ДНК-олигонуклеотидов с oxo-εA 2′-дезоксирибонуклеотидом. Синтез oxo-εA 2′-дезоксирибонуклеотид 3′-фосфорамидита и модифицированных ДНК-олигонуклеотидов проводили, как описано ранее [1]. Вкратце, модифицированные ДНК-олигонуклеотиды были получены с использованием фосфорамидитного твердофазного метода и синтезатора MerMade 12 («Bioautomation», США). Защищённые 2′-дезоксирибонуклеозид 3′-фосфорамидиты, Unylinker-CPG (500 Å) и S-этилтио-1H-тетразол были приобретены в «ChemGenes» (США). В синтезе использовали стандартный протокол удаления защитных групп обработкой водным насыщенным раствором аммиака при 55 °C в течение ночи. Растворы упаривали, и аликвоты анализировали с помощью ВЭЖХ (чистота > 95%). Анализ и очистку олигонуклеотидов с помощью ВЭЖХ проводили с использованием системы ВЭЖХ Agilent 1260 («Agilent», США), оснащённой автосемплером и коллектором фракций на колонке 4,6 × 250 мм Jupiter C18 (5 мкм, «Phenomenex», США); буфер A: 0,05 М ацетат аммония (pH 7,0), 5% ацетонитрила; буфер B: 0,03 М ацетат аммония, 80% ацетонитрила (pH 7,0); градиент B: 0 → 15% (1 объём колонки), 15 → 50% (10 объёмов колонки); скорость потока 1 мл/мин; температура 45 °C.
Экспрессия и выделение белков. RdRp SARS-CoV-2 получали путём гетерологической экспрессии в клетках E. coli BL-21(DE3) и очистки путём Ni-аффинной и анионообменной хроматографий, как описано ранее [11]. Кор-фермент РНКП E. coli экспрессировали в клетках того же штамма с использованием вектора pVS10 и очищали путём осаждения полиэтиленимином с последующей гепариновой, Ni-аффинной и анионообменной хроматографией, как описано ранее [35].
Реакции синтеза РНК in vitro c RdRp SARS-CoV-2. Анализ способности RdRp включать oxo-εATP проводили с использованием РНК-олигонуклеотидов («ДНК-синтез», Россия), соответствующих праймеру и РНК-матрице. Радиоактивную метку вводили на 5′-конец праймера путём кинирования с помощью Т4 полинуклеотидкиназы («New England Biolabs», США) в присутствии 0,8 МБк γ-[32P]-ATP (ИБХ РАН, Россия), согласно протоколу производителя. РНК-субстрат получали путём смешения меченого праймера и матричной цепи до конечных концентраций 2 мкМ и 2,2 мкМ соответственно в транскрипционном буфере (ТВ) следующего состава: 10 мМ Tris-HCl, pH 7,9, 10 мМ KCl, 0,1 мМ ЭДТА (все реактивы производства «Sigma-Aldrich»). Смесь прогревали при 95 °С 3 мин, затем охлаждали до 85 °С за 2 мин и плавно остужали до 25 °С со средней скоростью охлаждения 0,5 °С/мин. РНК-субстрат разводили ТВ и смешивали с RdRp до конечных концентраций 25 нМ и 500 нМ соответственно и инкубировали смесь при 30 °С 10 мин. Реакцию запускали путём добавления смеси NTP («Illustra», Великобритания), MgCl2 («Sigma-Aldrich») или MnCl2 («Sigma-Aldrich») до конечных концентраций 10 мкМ и 1,1 мМ соответственно. При тестировании oxo-εATP добавляли до 100 мкМ. Транскрипцию проводили при 30 °С от 30 с до 10 мин. Реакцию останавливали путём добавления равного объёма стоп-раствора, содержащего формамид («Вектон», Россия) и гепарин (100 мкг/мл, «Sigma-Aldrich»). Пробы прогревали при 95 °С в течение 3 мин. Продукты транскрипции разделяли путём электрофореза в 15%-ном ПААГ (19 : 1, компоненты производства «Sigma-Aldrich») в денатурирующих условиях (7,5 М мочевины, «Roth», Германия) в буфере TBE. Детекцию продуктов транскрипции проводили при помощи фосфоримиджера Typhoon 9500 («GE Healthcare», США).
Транскрипция in vitro c РНКП E. coli. Анализ способности РНКП включать oxo-εATP и проходить oxo-εA в матричной цепи ДНК проводили с использованием РНК- и ДНК-олигонуклеотидов, соответствующих РНК-транскрипту, матричной и нематричной цепи. Немодифицированные олигонуклеотиды были синтезированы фирмой «Синтол» (Россия). В РНК вводили 5′-концевую радиоактивную метку, как описано выше. Меченый РНК-олигонуклеотид смешивали с матричной цепью ДНК до конечных концентраций 1 и 2 мкМ соответственно в транскрипционном буфере (TB2) следующего состава: 40 мМ Tris-HCl, pH 7,9, 40 мМ KCl, 0,1 мМ ЭДТА («Sigma-Aldrich»). Смесь прогревали при 65 °С 3 мин, затем плавно остужали до 25 °С со средней скоростью охлаждения 0,5 °С/мин. Собранный дуплекс разводили TB2 до 250 нМ, добавляли кор-фермент РНКП E. coli до 1 мкМ (в опытах по включению oxo-εATP) или до 2 мкМ (в опытах по прохождению через oxo-εdA). Смесь инкубировали при 37 °С 10 мин. Затем добавляли нематричную цепь до конечной концентрации 2,5 мкM, и образцы инкубировали при 37 °С 15 мин. Собранный элонгационный комплекс разводили в 10 раз буфером TB2. Реакцию запускали путём добавления смеси NTP («Illustra», Великобритания), MgCl2 или MnCl2 («Sigma-Aldrich») до конечных концентраций 10 мкМ и 10 мМ соответственно. При тестировании oxo-εATP добавляли до 100 мкМ. Транскрипцию проводили при 37 °С 30 с. Реакцию останавливали путём добавления равного объёма стоп-буфера, содержащего 8 М мочевину («Roth»), 30 мМ ЭДТА («Sigma-Aldrich»), 2× TBE. Продукты транскрипции разделяли путём электрофореза, как описано выше.
РЕЗУЛЬТАТЫ ИССЛЕДОВАНИЙ
Химический синтез oxo-εATP. Соединение было получено, исходя из 7,8-дигидро-8-оксо-1,N6-этеноаденозина (oxo-εA рибонуклеозид) [34] и следуя описанной методике с незначительными модификациями [36] (рис. 1, б). Вкратце, обработка oxo-εA рибонуклеозида POCl3 в присутствии Bu3N в (CH3O)3PO в качестве растворителя приводила к дихлорфосфоридату нуклеозида. Реакция полученного промежуточного соединения с (NHBu3)2H2P2O7 и последующий гидролиз образовавшегося циклического промежуточного продукта давали неочищенный oxo-εATP, который очищали ионообменной хроматографией и высаживали раствором NaClO4 в ацетоне, получая целевой продукт с выходом 43%.
Включение oxo-εATP RdRP в растущую цепь РНК. На первом этапе нашего исследования мы протестировали способность RdRp SARS-CoV-2 включать трифосфорилированную форму oxo-εA (oxo-εATP) в растущую цепь РНК. Для этого мы использовали разработанную ранее модельную систему (рис. 2, а), которая хорошо зарекомендовала себя при изучении биохимической активности RdRp и влияния ингибиторов на работу данного фермента [11, 37–39]. В реакциях использовали препарат RdRp, содержащий каталитическую субъединицу nsp12 и слитые друг с другом субъединицы nsp7 и nsp8. РНК-субстрат состоял из двух комплементарных РНК-олигонуклеотидов: РНК-праймера, содержащего радиоактивную метку на 5′-конце, и РНК-матрицы. RdRp инкубировали с РНК-субстратом для образования комплекса, добавляли нуклеотиды и проводили реакцию в течение 10 мин при 30 °С. При добавлении RdRp и полного набора немодифицированных NTP происходит эффективное удлинение исходного праймера в присутствии как ионов Mg2+, так и Mn2+ (рис. 2, б, дорожки 9 и 18).
Рис. 2. Анализ включения oxo-εATP RdRp SARS-CoV-2. а – Схема РНК-субстрата, использованного в экспериментах. РНК-праймер показан красным цветом, РНК-матрица – чёрным, первое матричное основание отмечено «+1». Остатки, включаемые RdRp при удлинении праймера, изображены серым цветом (показаны 7 остатков, включаемых при добавлении ограниченного набора NTP), направление транскрипции указано стрелкой. б – Анализ продуктов транскрипции RdRp в присутствии разных наборов NTP и oxo-εATP при добавлении ионов Mg2+ (левая панель) и Mn2+ (правая панель). Контрольные образцы, которые инкубировали без NTP, отмечены знаком «−». Справа отмечена длина РНК-продуктов в нуклеотидах. Электрофореграмма продуктов транскрипции в 15%-ном ПААГ в денатурирующих условиях
Путём добавления различного набора NTP можно установить эффективность включения тестируемого соединения напротив разных матричных азотистых оснований. В +1 положении матрицы находится остаток G (рис. 2, а). Добавление только oxo-εATP в присутствии ионов Mg2+ не приводит к удлинению РНК-праймера (дор. 2). В контрольном опыте при добавлении CTP (дор. 3) большая часть праймера удлиняется на 1–2 нуклеотида (вероятно, за счёт включения СТР напротив остатков G и А, что соответствует опубликованным данным о достаточно низкой точности RdRp SARS-CoV-2 [5]). В присутствии ионов Mn2+ RdRp приобретает способность включать два остатка oxo-εA напротив остатков G и A в РНК-матрице (дор. 11) и также включает два остатка С напротив G и А (дор. 12).
При совместном добавлении CTP и oxo-εATP в присутствии обоих катионов происходит последовательное включение остатка С и oxo-εA, что видно по более медленной электрофоретической подвижности 37 нт РНК-продукта (дор. 4 и 13) по сравнению с реакциями, содержащими только СТР (дор. 3 и 12). Таким образом, oxo-εA в этих условиях включается напротив матричного остатка А с большей эффективностью, чем СТР (который тоже присутствовал в реакциях на дор. 4 и 13). При добавлении CTP и UTP, как и ожидалось, происходит удлинение РНК на 2 нуклеотида и образование 37 нт продукта (дор. 7, 14). При добавлении смеси CTP, UTP и oxo-εATP дальнейшего удлинения 37 нт продукта не наблюдается (дор. 6 и 15). Таким образом, остаток oxo-εAp не включается RdRp напротив матричного С в следующем положении. При добавлении CTP, UTP, GTP в присутствии Mg2+ наблюдается формирование остановленного комплекса с РНК-транскриптом размером 42 нт (дор. 7), который не удлиняется при добавлении в реакцию oxo-εATP (дор. 8). Таким образом, RdRp не включает oxo-εATP напротив матричного U в следующем положении. Любопытно, что в присутствии ионов Mn2+ значительная часть элонгационных комплексов продолжает дальнейший синтез путём включения некомплементарных NTP (дор. 16), причём наличие oxo-εATP частично ингибирует эту реакцию (дор. 17). При добавлении всех 4 NTP не наблюдается разницы в электрофоретической подвижности РНК-продуктов в присутствии и в отсутствии oxo-εATP как с ионами Mg2+ (дор. 9, 10), так и с ионами Mn2+ (дор. 18, 19). Таким образом, в присутствии природных NTP существенного включения oxo-εATP не наблюдается.
Для более детального анализа включения oxo-εATP мы модифицировали использованную тест-систему. Чтобы проверить включение oxo-εATP напротив каждого из матричных нуклеотидов в одинаковых условиях, были синтезированы 4 идентичных РНК-матрицы с вариабельным матричным нуклеотидом в +1 положении. Кроме того, для лучшего разделения РНК-продуктов в ПААГ был использован более короткий РНК-праймер (рис. 3, а). С целью уменьшения включения неправильных (не образующих каноническую пару Уотсона–Крика) нуклеотидов время реакции было уменьшено до 30 с. В присутствии ионов Mg2+ RdRp с высокой эффективностью включает NTP, образующие каноническую пару с матричным нуклеотидом (UTP, CTP, GTP и ATP в случае матричных А, G, C и U соответственно; рис. 3, б, дор. 2, 6, 8, 10), но практически не включает oxo-εATP (дор. 3, 7, 9, 11). Принципиально другая картина наблюдается в присутствии ионов Mn2+.
Рис. 3. Включение oxo-εATP RdRp на РНК-субстратах с вариабельным матричным основанием в +1 позиции. а – Схема РНК-субстратов, использованных в экспериментах. РНК-праймер показан красным цветом, РНК-матрица – чёрным. Вариабельное матричное основание в +1 положении (X) выделено жёлтым цветом, встраиваемый напротив него остаток (Y) и последующие три остатка показаны серым цветом. б – Анализ продуктов транскрипции RdRp в присутствии природных NTP и/или oxo-εATP при добавлении ионов Mg2+. Контрольный образец, который инкубировали без NTP, отмечен знаком «−». Реакции проводили с РНК-матрицами, содержащими остатки A, G, C или U в +1 положении. в – Анализ продуктов транскрипции RdRp в присутствии природных NTP и/или oxo-εATP при добавлении ионов Mn2+ по аналогии с панелью б. Электрофореграммы продуктов транскрипции в 15%-ном ПААГ в денатурирующих условиях. Справа отмечена длина РНК-продуктов в нуклеотидах
В этом случае в контрольных реакциях каждый из нуклеотидов включается не только напротив соответствующего матричного остатка, но и в следующей позиции, напротив матричного U (рис. 3, в, дор. 2, 7, 10, 12). В реакциях с oxo-εATP модифицированный нуклеотид с высокой эффективностью включается напротив матричных остатков A и G (рис. 3, в, дор. 3, 7) и не включается напротив C и U (дор. 11, 13). В случае матриц А и G в присутствии oxo-εATP и АТР происходит дальнейшее удлинение РНК-праймера (в сумме на 4 нуклеотида), что показывает возможность совместного включения oxo-εATP и АТР в синтезируемую РНК.
Включение oxo-εATP РНКП в растущую цепь РНК. Чтобы понять, является ли способность RdRp включать oxo-εATP универсальным явлением, мы протестировали активность клеточной РНКП, которая неродственна RdRp, в аналогичных реакциях. В отличие от RdRp, РНКП синтезирует РНК, двигаясь по двунитевой ДНК и осуществляя плавление цепей ДНК по мере синтеза. В этом случае для анализа транскрипции с использованием олигонуклеотидов был получен синтетический элонгационный комплекс, который содержал кор-фермент РНКП E. coli, короткий РНК-транскрипт, матричную и нематричную цепи ДНК (рис. 4, а) [40–42]. Как можно видеть на рис. 4, б, oxo-εATP не включается напротив остатка dG в матричной цепи в присутствии обоих протестированных катионов (дор. 2, 12). При добавлении CTP или СТР и GTP происходит удлинение РНК на 1 или 3 нуклеотида (до 21 или 23 нт), но при этом добавление oxo-εATP не приводит к дальнейшему росту транскрипта (дор. 3–6, 13–16). Таким образом, oxo-εATP также не может включаться напротив остатков dC и dT в следующих положениях матрицы. При добавлении CTP, GTP и ATP транскрипция в контрольных реакциях останавливается после добавления 4 нуклеотидов, в соответствии с последовательностью матрицы (синтезируется РНК длиной 24 нт; дор. 7, 17). В присутствии oxo-εATP наблюдается дополнительное удлинение РНК ещё на два нуклеотида (до 26 нт), которое происходит более эффективно в присутствии ионов Mn2+ (дор. 8 и 18).
Рис. 4. Анализ включения oxo-εATP РНКП E. coli. а – Схема элонгационного комплекса, использованного в экспериментах. РНК-олигонуклеотид показан красным цветом, матричная цепь ДНК – чёрным цветом, нематричная цепь – синим. Показана точка начала включения нуклеотидных остатков (+1), первые 4 включённых нуклеотидных остатка отмечены серым цветом, направление транскрипции указано стрелкой. б – Анализ продуктов транскрипции в присутствии разных наборов NTP и oxo-εATP при добавлении ионов Mg2+ (левая панель) и Mn2+ (правая панель). Контрольные образцы, которые инкубировали без NTP, отмечены знаком «−». Электрофореграмма продуктов транскрипции в 15%-ном ПААГ в денатурирующих условиях. Справа отмечена длина РНК-продуктов в нуклеотидах
Вероятно, при этом происходит включение остатка oxo-εA в 25 положении РНК напротив матричного остатка dA и дальнейшее удлинение РНК ещё на один нуклеотид из-за включения G напротив матричного dC в 26 положении. Так как после этого транскрипция останавливается, то oxo-εATP не является функциональным аналогом UTP. Наконец, при совместном добавлении oxo-εATP и полного набора NTP разницы между экспериментом и контролем с полным набором NTP не наблюдается (дор. 9, 10, 19, 20).
Включение NTP напротив oxo-εA 2′-дезоксирибонуклеотида РНКП. На заключительном этапе нашего исследования мы протестировали противоположную ситуацию, когда модифицированный остаток oxo-εA находится в матричной цепи ДНК, а синтез РНК клеточной РНКП происходит с использованием немодифицированных NTP. Для этого по аналогии с предыдущим пунктом были собраны синтетические элонгационные комплексы, содержащие остаток oxo-εA 2′-дезоксирибонуклеотида в +2 положении матричной цепи ДНК относительно 3′-конца РНК-праймера (в +1 положении при этом находится остаток dА; рис. 5, а). В качестве контроля использовали ДНК-олигонуклеотид, содержащий немодифицированный остаток dA в +2 положении. В случае контрольной матрицы РНКП добавляет в растущую цепь РНК комплементарные NTP: UTP (происходит удлинение 17 нт РНК на 2 нт, до 19 нт; рис. 5, б, дор. 10), UTP и GTP (удлинение на 4 нт, до 21 нт; дор. 12) или все четыре NTP (дор. 16). В соответствии с предыдущими экспериментами также наблюдается слабое включение oxo-εATP напротив матричного dА (дор. 15). В случае элонгационного комплекса, содержащего oxo-εA в +2 положении матричной цепи ДНК, во всех реакциях наблюдается включение лишь первого остатка UTP напротив матричного dА, после чего синтез останавливается и дальнейшего включения NTP напротив oxo-εA не происходит (рис. 5, в, дор. 2–8).
Рис. 5. Анализ прохождения РНКП E. coli остатка oxo-εA в матричной цепи ДНК. а – Схема элонгационного комплекса, использованного в экспериментах. РНК-олигонуклеотид показан красным цветом, матричная цепь – чёрным цветом, нематричная цепь – синим. Позиция oxo-εA или контрольного dA отмечена буквой X и выделена жёлтым цветом. Показана точка начала включения нуклеотидных остатков (+1), первые 4 включённых нуклеотидных остатка отмечены серым цветом, буквой Y показан остаток, включаемый напротив oxo-εA или dA. б – Анализ продуктов транскрипции при прохождении РНКП через oxo-εA в +2 положении матричной цепи (левая панель) или через контрольный dA (правая панель). Контрольный образец, который инкубировали без NTP, отмечен знаком «−». Электрофореграмма продуктов транскрипции в 15%-ном ПААГ в денатурирующих условиях. Справа отмечена длина РНК-продуктов в нуклеотидах
ОБСУЖДЕНИЕ РЕЗУЛЬТАТОВ
Мы обнаружили, что синтетический аналог аденозина oxo-εA в форме трифосфорилированного нуклеозида включается в растущую цепь РНК двумя неродственными РНК-полимеразами. Это говорит о том, что oxo-εATP способен проникать в область активного центра ферментов благодаря своему небольшому размеру и сходству с природными аналогами.
При этом, так как Уотсон–Криковские взаимодействия блокированы этено-модификацией, oxo-εATP, вероятно, принимает син-конформацию и спаривается с пуриновым азотистым основанием матричного нуклеотидного остатка в +1 положении, формируя пару, аналогичную oxo-εA:A [1] или частично напоминающую oxo-A:G [43] в ДНК-контексте (рис. 1, в). Этим объясняются наблюдаемые предпочтения к включению oxo-εATP напротив пуриновых нуклеотидов матрицы. В присутствии ионов Mg2+ RdRp SARS-CoV-2 медленно включает oxo-εATP напротив остатка А (сравн. включение на 4 дорожке рис. 2 за 10 мин и на 3 дорожке рис. 3 за 30 с). Ситуация сильно меняется в присутствии ионов Mn2+, когда наблюдается включение как напротив остатка A, так и G. В случае РНКП E. coli включение oxo-εAMP происходит только напротив остатка dA, причём эффективность такого включения также увеличивается в присутствии ионов Mn2+. Такая разница, вероятно, связана с особенностями структуры активного центра клеточных РНКП, обеспечивающей большую точность синтеза РНК, т.к. пара oxo-εA-dA более похожа на каноническую, чем пара oxo-εA-dG (рис. 1, в).
Стимулирующее действие ионов марганца на включение oxo-εAМР, наблюдаемое в случае обеих РНК-полимераз, вероятно, объясняется разницей в химических свойствах и размерах катионов Mn2+ и Mg2+. Ранее методами анализа быстрой кинетики для RdRp полиовируса было продемонстрировано, что контроль правильности включения комплементарного NTP в присутствии ионов Mg2+ осуществляется на двух стадиях: реориентации трифосфата входящего NTP и переноса фосфорила [44]. В присутствии ионов Mn2+ RdRp теряет способность использовать этап переноса фосфорила для контроля точности из-за одинаковой скорости для комплементарного и некомплементарного NTP [45], что приводит к снижению точности RdRp в присутствии Mn2+ [46–48]. Мы предполагаем, что такое поведение при включении синтетических и некомплементарных NTP связано с разницей в размерах данных катионов. Ион Mn2+ имеет меньший радиус, чем Mg2+, что освобождает место в активном центре и позволяет неканонической паре разместиться в активном центре в благоприятном для катализа положении. Также для РНКП E. coli показано, что в присутствии ионов Mn2+ быстрее идут реакции экзо- и эндонуклеазного расщепления РНК [49], которые осуществляются в том же активном центре фермента, что и синтез РНК [25]. Это указывает на возможность Mn2+ менять нуклеофильные свойства участников реакции (в данном случае молекулы воды) [49]. Также имеются данные о том, что связывание иона Mn2+ приводит к увеличению гибкости белковой молекулы RdRp [50], что может дополнительно способствовать включению NTP, формирующего пару, отличную от канонической. Для более детального понимания наблюдаемого явления необходимы дальнейшие исследования. В то же время замена стандартного катиона Mg2+ на Mn2+ может быть использована для ферментативного включения модифицированных NTP в растущую цепь РНК в прикладных задачах.
Так как ранее было показано, что oxo-εA может «проходиться» ДНК-полимеразами в клетке [1], можно было ожидать, что РНКП также будет способна включать нуклеотиды напротив матричного oxo-εA. Однако было обнаружено, что при наличии остатков oxo-εA 2′-дезоксирибонуклеотида в матричной цепи происходит полное блокирование работы РНКП даже c ионами Mn2+. Наблюдаемая разница (включение oxo-εATP в РНК, но остановка синтеза напротив матричного oxo-εA 2′-дезоксирибонуклеотида), вероятно, также является следствием устройства активного центра РНКП. После транслокации нуклеотидный остаток в +1 положении матричной цепи ДНК закреплён в активном центре [51], в то время как входящий NTP может находиться в разных конфигурациях [51], т.е. является более подвижным, чем матричное основание, что позволяет занять положение, благоприятное для катализа.
Хотя исследованные РНК-полимеразы способны включать oxo-εATP в синтезируемую РНК, нам не удалось увидеть ингибирующего действия oxo-εATP на включение немодифицированных нуклеотидов. Несмотря на 10-кратный избыток oxo-εATP над природными NTP, изученные РНК-полимеразы не включают тестируемое соединение в присутствии полного набора NTP, и oxo-εATP не подавляет включение комплементарных нуклеотидов. Таким образом, oxo-εA не является потенциальным противовирусным или антибактериальным ингибитором транскрипции. Однако oxo-εA может являться прототипом для получения более эффективных ингибиторов транскрипции путём дальнейших модификаций. Учитывая флуоресцентные свойства [1], oxo-εA может также быть использован в качестве метки при изучении механизмов взаимодействий RdRp с РНК и нуклеотидными субстратами. На конкретном примере можно сделать предположение о том, что одновременная модификация азотистого основания на Уотсон–Криковской и Хугстиновской стороне заместителями, приводящими к перераспределению доноров и акцепторов водородных связей и сдвигающими равновесие в сторону син-конформации, делает такие модифицированные нуклеотиды слабыми ингибиторами вирусных и бактериальных РНКП.
Вклад авторов. А.В. Аралов, А.В. Кульбачинский, И.В. Петушков – концепция работы; А.В. Аралов, И.А. Иванов, М.С. Баранов и Т.С. Зацепин – химический синтез и очистка oxo-εATP и модифицированных ДНК-олигонуклеотидов; И.В. Петушков – проведение экспериментов; А.В. Аралов, А.В. Кульбачинский, И.В. Петушков – обсуждение результатов и написание статьи.
Финансирование. Работа проведена в рамках выполнения государственного задания НИЦ «Курчатовский институт».
Благодарности. Авторы благодарят А. Макарову, Е. Шилкина, Е. Болдинову (ИБГ РАН) за ценную дискуссию.
Конфликт интересов. Авторы заявляют об отсутствии конфликта интересов.
Соблюдение этических норм. Настоящая статья не содержит описания каких-либо исследований с участием людей или животных в качестве объектов.
Дополнительные материалы. Приложение к статье опубликовано на сайте журнала «Биохимия» (https://biochemistrymoscow.com).
About the authors
I. V. Petushkov
National Research Centre “Kurchatov Institute”; Institute of Gene Biology, Russian Academy of Sciences
Author for correspondence.
Email: telomer1@rambler.ru
Russian Federation, 123182 Moscow; 119334 Moscow
A. V. Aralov
Shemyakin–Ovchinnikov Institute of Bioorganic Chemistry, Russian Academy of Sciences; RUDN University
Email: telomer1@rambler.ru
Russian Federation, 117997 Moscow; 117198 Moscow
I. A. Ivanov
Shemyakin–Ovchinnikov Institute of Bioorganic Chemistry, Russian Academy of Sciences; LLC “Organicum”
Email: telomer1@rambler.ru
Russian Federation, 117997 Moscow; 127486 Moscow
M. S. Baranov
Shemyakin–Ovchinnikov Institute of Bioorganic Chemistry, Russian Academy of Sciences; Pirogov Russian National Research Medical University
Email: telomer1@rambler.ru
Russian Federation, 117997 Moscow; 117997 Moscow
T. S. Zatsepin
Lomonosov Moscow State University
Email: telomer1@rambler.ru
Faculty of Chemistry
Russian Federation, 119991 MoscowA. V. Kulbachinskiy
National Research Centre “Kurchatov Institute”; Institute of Gene Biology, Russian Academy of Sciences
Email: avkulb@yandex.ru
Russian Federation, 123182 Moscow; 119334 Moscow
References
- Aralov, A. V., Gubina, N., Cabrero, C., Tsvetkov, V. B., Turaev, A. V., Fedeles, B. I., Croy, R. G., Isaakova, E. A., Melnik, D., Dukova, S., Ryazantsev, D. Y., Khrulev, A. A., Varizhuk, A. M., Gonzalez, C., Zatsepin, T. S., and Essigmann, J. M. (2022) 7,8-Dihydro-8-oxo-1,N6-ethenoadenine: an exclusively Hoogsteen-paired thymine mimic in DNA that induces A-->T transversions in Escherichia coli, Nucleic Acids Res., 50, 3056-3069, https:// doi.org/10.1093/nar/gkac148.
- Kim, D., Lee, J.-Y., Yang, J.-S., Kim, J. W., Kim, V. N., and Chang, H. (2020) The architecture of SARS-CoV-2 transcriptome, Cell, 181, 914-921.e910, https://doi.org/10.1016/j.cell.2020.04.011.
- Hillen, H. S., Kokic, G., Farnung, L., Dienemann, C., Tegunov, D., and Cramer, P. (2020) Structure of replicating SARS-CoV-2 polymerase, Nature, 584, 154-156, https://doi.org/10.1038/s41586-020-2368-8.
- Shannon, A., Selisko, B., Le, N. T., Huchting, J., Touret, F., Piorkowski, G., Fattorini, V., Ferron, F., Decroly, E., Meier, C., Coutard, B., Peersen, O., and Canard, B. (2020) Rapid incorporation of Favipiravir by the fast and permissive viral RNA polymerase complex results in SARS-CoV-2 lethal mutagenesis, Nat. Commun., 11, 4682, https://doi.org/10.1038/s41467-020-18463-z.
- Yin, X., Popa, H., Stapon, A., Bouda, E., and Garcia-Diaz, M. (2023) Fidelity of ribonucleotide incorporation by the SARS-CoV-2 replication complex, J. Mol. Biol., 435, 167973, https://doi.org/10.1016/j.jmb.2023.167973.
- Moeller, N. H., Shi, K., Demir, O., Belica, C., Banerjee, S., Yin, L., Durfee, C., Amaro, R. E., and Aihara, H. (2022) Structure and dynamics of SARS-CoV-2 proofreading exoribonuclease ExoN, Proc. Natl. Acad. Sci. USA, 119, https://doi.org/10.1073/pnas.2106379119.
- Drake, J. W., and Holland, J. J. (1999) Mutation rates among RNA viruses, Proc. Natl. Acad. Sci. USA, 96, 13910-13913, https://doi.org/10.1073/pnas.96.24.13910.
- Jenkins, G. M., Rambaut, A., Pybus, O. G., and Holmes, E. C. (2002) Rates of molecular evolution in RNA viruses: a quantitative phylogenetic analysis, J. Mol. Evol., 54, 156-165, https://doi.org/10.1007/s00239-001-0064-3.
- Sanjuan, R., Nebot, M. R., Chirico, N., Mansky, L. M., and Belshaw, R. (2010) Viral mutation rates, J. Virol., 84, 9733-9748, https://doi.org/10.1128/JVI.00694-10.
- Jones, A. N., Mourao, A., Czarna, A., Matsuda, A., Fino, R., Pyrc, K., Sattler, M., and Popowicz, G. M. (2022) Characterization of SARS-CoV-2 replication complex elongation and proofreading activity, Sci. Rep., 12, 9593, https://doi.org/10.1038/s41598-022-13380-1.
- Petushkov, I., Esyunina, D., and Kulbachinskiy, A. (2023) Effects of natural RNA modifications on the activity of SARS-CoV-2 RNA-dependent RNA polymerase, FEBS J., 290, 80-92, https://doi.org/10.1111/febs.16587.
- Sacramento, C. Q., Fintelman-Rodrigues, N., Temerozo, J. R., da Silva, A. P. D., Dias, S., da Silva, C. D. S., Ferreira, A. C., Mattos, M., Pao, C. R. R., de Freitas, C. S., Soares, V. C., Hoelz, L. V. B., Fernandes, T. V. A., Branco, F. S. C., Bastos, M. M., Boechat, N., Saraiva, F. B., Ferreira, M. A., Jockusch, S., Wang, X., Tao, C., Chien, M., Xie, W., Patel, D., et al. (2021) In vitro antiviral activity of the anti-HCV drugs daclatasvir and sofosbuvir against SARS-CoV-2, the aetiological agent of COVID-19, J. Antimicrob. Chemother., 76, 1874-1885, https://doi.org/ 10.1093/jac/dkab072.
- Jockusch, S., Tao, C., Li, X., Chien, M., Kumar, S., Morozova, I., Kalachikov, S., Russo, J. J., and Ju, J. (2020) Sofosbuvir terminated RNA is more resistant to SARS-CoV-2 proofreader than RNA terminated by Remdesivir, Sci. Rep., 10, 16577, https://doi.org/10.1038/s41598-020-73641-9.
- Kokic, G., Hillen, H. S., Tegunov, D., Dienemann, C., Seitz, F., Schmitzova, J., Farnung, L., Siewert, A., Hobartner, C., and Cramer, P. (2021) Mechanism of SARS-CoV-2 polymerase stalling by remdesivir, Nat. Commun., 12, 279, https://doi.org/10.1038/s41467-020-20542-0.
- Yin, W. M. C., Luan, X., Shen, D. D., Shen, Q., Su, H., Wang, X., Zhou, F., Zhao, W., Gao, M., Chang, S., Xie, Y. C., Tian, G., Jiang, H. W., Tao, S. C., Shen, J., Jiang, Y., Jiang, H., Xu, Y., Zhang, S., Zhang, Y., and Xu, H. E. (2020) Structural basis for inhibition of the RNA-dependent RNA polymerase from SARS-CoV-2 by remdesivir, Science, 368, 1499-1504, https://doi.org/10.1126/science.abc1560.
- Kabinger, F. S. C., Schmitzová, J., Dienemann, C., Kokic, G., Hillen, H. S., Höbartner, C., and Cramer, P. (2021) Mechanism of molnupiravir-induced SARS-CoV-2 mutagenesis, Nat. Struct. Mol. Biol., 28, 740-746, https:// doi.org/10.1038/s41594-021-00651-0.
- Wang, J., Shi, Y., Reiss, K., Maschietto, F., Lolis, E., Konigsberg, W. H., Lisi, G. P., and Batista, V. S. (2022) Structural insights into binding of remdesivir triphosphate within the replication–transcription complex of SARS-CoV-2, Biochemistry, 61, 1966-1973, https://doi.org/10.1021/acs.biochem.2c00341.
- Gordon, C. J., Tchesnokov, E. P., Woolner, E., Perry, J. K., Feng, J. Y., Porter, D. P., and Götte, M. (2020) Remdesivir is a direct-acting antiviral that inhibits RNA-dependent RNA polymerase from severe acute respiratory syndrome coronavirus 2 with high potency, J. Biol. Chem., 295, 6785-6797, https://doi.org/10.1074/jbc. RA120.013679.
- Gordon, C. J., Tchesnokov, E. P., Schinazi, R. F., and Götte, M. (2021) Molnupiravir promotes SARS-CoV-2 mutagenesis via the RNA template, J. Biol. Chem., 297, 100770, https://doi.org/10.1016/j.jbc.2021.100770.
- Tchesnokov, E. P., Gordon, C. J., Woolner, E., Kocinkova, D., Perry, J. K., Feng, J. Y., Porter, D. P., and Götte, M. (2020) Template-dependent inhibition of coronavirus RNA-dependent RNA polymerase by remdesivir reveals a second mechanism of action, J. Biol. Chem., 295, 16156-16165, https://doi.org/10.1074/jbc. AC120.015720.
- Luo, X., Wang, X., Yao, Y., Gao, X., and Zhang, L. (2022) Unveiling the “template-dependent” inhibition on the viral transcription of SARS-CoV-2, J. Phys. Chem. Lett., 13, 7197-7205, https://doi.org/10.1021/acs.jpclett.2c01314.
- Apostle, A., Yin, Y., Chillar, K., Eriyagama, A., Arneson, R., Burke, E., Fang, S., and Yuan, Y. (2023) Effects of epitranscriptomic RNA modifications on the catalytic activity of the SARS-CoV-2 replication complex, Chembiochem, 24, https://doi.org/10.1002/cbic.202300095.
- Iyer, L. M., and Aravind, L. (2012) Insights from the architecture of the bacterial transcription apparatus, J. Struct. Biol., 179, 299-319, https://doi.org/10.1016/j.jsb.2011.12.013.
- Steitz, T. A. (1998) A mechanism for all polymerases, Nature, 391, 231-232, https://doi.org/10.1038/34542.
- Sosunov, V., Sosunova, E., Mustaev, A., Bass, I., Nikiforov, V., and Goldfarb, A. (2003) Unified two-metal mechanism of RNA synthesis and degradation by RNA polymerase, EMBO J., 22, 2234-2244, https://doi.org/10.1093/emboj/cdg193.
- James, K., Gamba, P., Cockell, S. J., and Zenkin, N. (2017) Misincorporation by RNA polymerase is a major source of transcription pausing in vivo, Nucleic Acids Res., 45, 1105-1113, https://doi.org/10.1093/nar/gkw969.
- Imashimizu, M., Oshima, T., Lubkowska, L., and Kashlev, M. (2013) Direct assessment of transcription fidelity by high-resolution RNA sequencing, Nucleic Acids Res., 41, 9090-9104, https://doi.org/10.1093/nar/gkt698.
- Mäkinen, J., Shin, Y., Vieras, E., Virta, P., Metsä-Ketelä, M., Murakami, K., and Belogurov, G. (2021) The mechanism of the nucleo-sugar selection by multi-subunit RNA polymerases, Nat. Commun., 12, https://doi.org/10.1038/s41467-021-21005-w.
- Nedialkov, Y. A., and Burton, Z. F. (2013) Translocation and fidelity of Escherichia coli RNA polymerase, Transcription, 4, 136-143, https://doi.org/10.4161/trns.25527.
- Nudler, E., Gusarov, I., and Bar-Nahum, G. (2003) Methods of Walking with the RNA Polymerase, in Methods in Enzymology, Academic Press, pp. 160-169.
- Agapov, A., Olina, A., and Kulbachinskiy, A. (2022) RNA polymerase pausing, stalling and bypass during transcription of damaged DNA: from molecular basis to functional consequences, Nucleic Acids Res., 50, 3018-3041, https://doi.org/10.1093/nar/gkac174.
- Gehring, A. M., and Santangelo, T. J. (2017) Archaeal RNA polymerase arrests transcription at DNA lesions, Transcription, 8, 288-296, https://doi.org/10.1080/21541264.2017.1324941.
- Pupov, D., Ignatov, A., Agapov, A., and Kulbachinskiy, A. (2019) Distinct effects of DNA lesions on RNA synthesis by Escherichia coli RNA polymerase, Biochem. Biophys. Res. Commun., 510, 122-127, https://doi.org/10.1016/ j.bbrc.2019.01.062.
- Guseva, E. A., Kamzeeva, P. N., Sokolskaya, S. Y., Slushko, G. K., Belyaev, E. S., Myasnikov, B. P., Golubeva, J. A., Alferova, V. A., Sergiev, P. V., and Aralov, A. V. (2024) Modified (2′-deoxy)adenosines activate autophagy primarily through AMPK/ULK1-dependent pathway, Bioorg. Med. Chem. Lett., 113, 129980, https://doi.org/10.1016/ j.bmcl.2024.129980.
- Svetlov, V., and Artsimovitch, I. (2015) Purification of bacterial RNA polymerase: tools and protocols, Methods Mol. Biol., 1276, 13-29, https://doi.org/10.1007/978-1-4939-2392-2_2.
- Kore, A. R., Shanmugasundaram, M., Senthilvelan, A., and Srinivasan, B. (2012) Gram-scale chemical synthesis of 2′-deoxynucleoside-5′-O-triphosphates, Curr. Protocols Nucleic Acid Chem., 49, 13.10.11-13.10.12, https:// doi.org/10.1002/0471142700.nc1310s49.
- Kamzeeva, P., Petushkov, I., Knizhnik, E., Snoeck, R., Khodarovich, Y., Ryabukhina, E., Alferova, V., Eshtukov-Shcheglov, A., Belyaev, E., Svetlova, J., Vedekhina, T., Kulbachinskiy, A., Varizhuk, A., Andrei, G., and Aralov, A. (2023) Phenotypic test of benzo[4,5]imidazo[1,2-c]pyrimidinone-based nucleoside and non-nucleoside derivatives against DNA and RNA viruses, including coronaviruses, Int. J. Mol. Sci., 24, 14540, https://doi.org/ 10.3390/ijms241914540.
- Miropolskaya, N., Kozlov, M., Petushkov, I., Prostova, M., Pupov, D., Esyunina, D., Kochetkov, S., and Kulbachinskiy, A. (2023) Effects of natural polymorphisms in SARS-CoV-2 RNA-dependent RNA polymerase on its activity and sensitivity to inhibitors in vitro, Biochimie, 206, 81-88, https://doi.org/10.1016/j.biochi. 2022.10.007.
- Matyugina, E., Petushkov, I., Surzhikov, S., Kezin, V., Maslova, A., Ivanova, O., Smirnova, O., Kirillov, I., Fedyakina, I., Kulbachinskiy, A., Kochetkov, S., and Khandazhinskaya, A. (2023) Nucleoside analogs that inhibit SARS-CoV-2 replication by blocking interaction of virus polymerase with RNA, Int. J. Mol. Sci., 24, 3361, https://doi.org/10.3390/ijms24043361.
- Zhilina, E., Miropolskaya, N., Bass, I., Brodolin, K., and Kulbachinskiy, A. (2011) Characteristics of sigma-dependent pausing in RNA polymerases from E. coli and T. aquaticus, Biochemistry (Moscow), 76, 1348-1358, https://doi.org/10.1134/S0006297911100038.
- Zhilina, E., Esyunina, D., Brodolin, K., and Kulbachinskiy, A. (2012) Structural transitions in the transcription elongation complexes of bacterial RNA polymerase during sigma-dependent pausing, Nucleic Acids Res., 40, 3078-3091, https://doi.org/10.1093/nar/gkr1158.
- Petushkov, I., Esyunina, D., and Kulbachinskiy, A. (2017) σ38-dependent promoter-proximal pausing by bacterial RNA polymerase, Nucleic Acids Res., 45, 3006-3016, https://doi.org/10.1093/nar/gkw1213.
- Leonard, G. A., Guy, A., Brown, T., Teoule, R., and Hunter, W. N. (1992) Conformation of guanine-8-oxoadenine base pairs in the crystal structure of d(CGCGAATT(O8A)GCG), Biochemistry, 31, 8415-8420, https://doi.org/10.1021/bi00151a004.
- Arnold, J. J., and Cameron, C. E. (2004) Poliovirus RNA-dependent RNA polymerase (3Dpol): pre-steady-state kinetic analysis of ribonucleotide incorporation in the presence of Mg2+, Biochemistry, 43, 5126-5137, https://doi.org/10.1021/bi035212y.
- Arnold, J. J., Gohara, D. W., and Cameron, C. E. (2004) Poliovirus RNA-dependent RNA polymerase (3Dpol): pre-steady-state kinetic analysis of ribonucleotide incorporation in the presence of Mg2+, Biochemistry, 43, 5138-5148, https://doi.org/10.1021/bi035213q.
- Huang, Y., Beaudry, A., McSwiggen, J., and Sousa, R. (1997) Determinants of ribose specificity in RNA polymerization: effects of Mn2+ and deoxynucleoside monophosphate incorporation into transcripts, Biochemistry, 36, 13718-13728, https://doi.org/10.1021/bi971609o.
- Ranjith-Kumar, C. T., Kim, Y. C., Gutshall, L., Silverman, C., Khandekar, S., Sarisky, R. T., and Kao, C. C. (2002) Mechanism of de novo initiation by the hepatitis C virus RNA-dependent RNA polymerase: role of divalent metals, J. Virol., 76, 12513-12525, https://doi.org/10.1128/jvi.76.24.12513-12525.2002.
- Te Velthuis, A. J. W., Arnold, J. J., Cameron, C. E., van den Worm, S. H. E., and Snijder, E. J. (2009) The RNA polymerase activity of SARS-coronavirus nsp12 is primer dependent, Nucleic Acids Res., 38, 203-214, https:// doi.org/10.1093/nar/gkp904.
- Gottesman, M. E., Chudaev, M., and Mustaev, A. (2020) Key features of magnesium that underpin its role as the major ion for electrophilic biocatalysis, FEBS J., 287, 5439-5463, https://doi.org/10.1111/febs.15318.
- Poranen, M. M., Salgado, P. S., Koivunen, M. R. L., Wright, S., Bamford, D. H., Stuart, D. I., and Grimes, J. M. (2008) Structural explanation for the role of Mn2+ in the activity of ϕ6 RNA-dependent RNA polymerase, Nucleic Acids Res., 36, 6633-6644, https://doi.org/10.1093/nar/gkn632.
- Vassylyev, D. G., Vassylyeva, M. N., Zhang, J., Palangat, M., Artsimovitch, I., and Landick, R. (2007) Structural basis for substrate loading in bacterial RNA polymerase, Nature, 448, 163-168, https://doi.org/10.1038/ nature05931.
Supplementary files







