LncRNA Genes of the SNHGs Family: Cometylation and Common Functions in Ovarian Cancer
- Authors: Braga E.A.1, Filippova E.A.1, Uroshlev L.A.2, Lukina S.S.1, Pronina I.V.1, Kazubskaya T.P.3, Kushlinsky D.N.3, Loginov V.I.1, Fridman M.V.4, Burdenny A.M.1, Kushlinsky N.E.3
-
Affiliations:
- Research Institute of General Pathology and Pathophysiology
- Vavilov Institute of General Genetics of the Russian Academy of Sciences
- Blokhin National Medical Research Center of Oncology
- Vavilov Institute of General Genetics, Russian Academy of Sciences
- Issue: Vol 89, No 11 (2024)
- Pages: 1982-2001
- Section: Regular articles
- URL: https://bakhtiniada.ru/0320-9725/article/view/282297
- DOI: https://doi.org/10.31857/S0320972524110179
- EDN: https://elibrary.ru/IJTAVG
- ID: 282297
Cite item
Full Text
Abstract
Long non-coding RNA (lncRNA) genes of the small nucleolar RNA host gene family (SNHGs) may participate in oncogenesis both through regulatory functions inherent to lncRNA and through their influence on the formation of small nucleolar RNAs and ribosome biogenesis. The aim of this work is to evaluate changes in the methylation level and the degree of comethylation of a group of lncRNA genes of the SNHGs family (SNHG1, GAS5/SNHG2, SNHG6, SNHG12, SNHG17) in clinical samples of ovarian cancer (OC) for different stages of cancer as a criterion for the similarity of their role in oncogenesis. On a representative set of 122 OC samples, MS-qPCR showed a statistically significant (p < {0.01-0.0001}) increase in the methylation level of 5 studied lncRNA genes. A statistically significant relationship was shown between the increased methylation level of GAS5, SNHG6, SNHG12 and OC progression: with the clinical stage, tumor size and metastasis, which indicates the possible functional significance of hypermethylation of these genes. For 4 of the 5 genes: SNHG1, GAS5, SNHG6, SNHG12, a statistically significant pairwise positive correlation of methylation levels was revealed for the first time (rs > 0.35; p ≤ 0.001). Our data on co-methylation of these 4 genes are in agreement with the GEPIA 2.0 data (for 426 OC samples), revealing their co-expression (rs > 0.5; p < 0.001); the correlation of GAS5 and SNHG6 expression levels was confirmed by quantitative RT-PCR (rs = 0.46; p = 0.007). For lncRNA SNHG1, GAS5, SNHG6 and SNHG12, common miRNAs were predicted bioinformatically, potentially capable of interacting with one or more of them via the mechanism of competing endogenous RNAs. The mRNAs, the expression of which they are thus capable of influencing, were also predicted. The possible involvement of genes corresponding to these mRNAs in a number of processes significant for oncogenesis, including RNA processing and splicing and epithelial-mesenchymal transition, was studied. Thus, 4 lncRNAs of the SNHGs family were identified, which have similarities both in their regulation and in their putative biological functions in the pathogenesis of OC.
Full Text
Принятые сокращения: днРНК – длинные некодирующие РНК; миРНК – микроРНК; мякРНК – малые ядрышковые РНК; нкРНК – некодирующие РНК; РЯ – рак яичников; ЭМП – эпителиально-мезенхимальный переход; SNHG – семейство генов-хозяев малых ядрышковых РНК.
ВВЕДЕНИЕ
По состоянию на 2024 г. в мире ежегодно диагностируется 314 000 новых случаев рака яичников (РЯ) и 207 000 случаев имеют неблагоприятный исход, что ставит РЯ на первое место по показателям смертности среди злокачественных новообразований женской репродуктивной системы в экономически развитых странах, в том числе в России [1, 2]. РЯ протекает бессимптомно до поздних стадий с обширным метастазированием, ввиду чего исследование механизмов развития и прогрессии РЯ необходимо для своевременного выявления метастатического заболевания [3].
В последнее время превалирует точка зрения, что в процессах прогрессирования рака главную роль играют не столько генетические нарушения, сколько эпигенетические факторы, такие как ДНК- и РНК-метилирование, модификация гистонов, ремоделирование хроматина, а также воздействия некодирующих РНК (нкРНК), которые почти не имеют рамок считывания, но вовлечены в сложную регуляцию экспрессии генов [4]. Эпигенетические модификации обратимы и могут повышать фенотипическую пластичность опухолевой клетки, необходимую, например, при осуществлении процессов, связанных с метастазированием, таких как эпителиально-мезенхимальный переход (ЭМП) [5]. Постгеномные исследования показали, что в транскриптоме человека преобладают нкРНК. Взаимодействия РНК–белок, РНК–РНК или РНК–ДНК, реализуемые с участием нкРНК, позволили по-новому взглянуть на механизмы регуляции разнообразных биологических процессов в онкогенезе. Открытие микроРНК (миРНК) и длинных нкРНК (днРНК) подняло на новый уровень представления о транскриптоме и регуляторных генных сетях в развитии и прогрессии злокачественных опухолей [6]. Важным этапом стало выявление механизма конкурирующих эндогенных РНК (ceRNA-model), объяснившего участие разных миРНК в регуляции экспрессии множества мРНК за счёт общих сайтов связывания миРНК (MiRNA Response Elements, MRE) [6]. Этот же механизм оказался задействованным в регуляции генов с участием днРНК по схеме днРНК/миРНК/мРНК, в частности, при раке яичников [7].
В геноме человека обнаружено 232 гена малых ядрышковых РНК (мякРНК); среди них выявлены гены, получившие название генов-хозяев малых ядрышковых РНК (Small Nucleolar RNA Host Genes, SNHG), которые не кодируют стабильную мРНК, но кодируют днРНК. На сегодняшний день это семейство насчитывают 32 гена SNHG1–SNHG33, включая DANCR (SNHG13), GAS5 (SNHG2), MEG8 (SNHG23) (https://www.genenames.org/tools/search/#!/?query=snhg; на 17.08.2024). Изучение функциональной значимости этих генов в норме и в патологии привлекает всё большее внимание биологов и онкологов [8, 9]. Так, стало известно, что многие днРНК семейства SNHG участвуют в онкогенезе как за счёт функций типичных днРНК (например, взаимодействий с миРНК по механизму конкурирующих эндогенных РНК [7]), так и за счёт влияния на регуляцию уровня мякРНК и биогенез рибосом [8–10]. Представляется актуальным поиск подходов к исследованию механизмов участия днРНК и мякРНК в онкогенезе и биогенезе рибосом.
Анализ коэкспрессии генов используют для выявления генов с общими функциями и выяснения новых функций генов [11]. Кометилирование может также отражать скоординированную регуляцию генов и их совместное участие в определённых процессах. Цель данной работы – оценить в клинических образцах РЯ изменения уровня метилирования и степень кометилирования для группы генов днРНК, относящихся к семейству SNHG. Кроме того, для продолжения дальнейших исследований мы ставили себе целью предварительно оценить влияние метилирования на их экспрессию и коэкспрессию. В исследование включены 5 генов этого семейства: SNHG1, GAS5/SNHG2, SNHG6, SNHG12, SNHG17, для которых обнаружено гиперметилирование в опухолях яичников [12–14]. Из этих 5 днРНК наиболее исследован ген GAS5 (growth arrest-specific transcript 5), для которого отмечены супрессорные свойства, в том чиселе в опухолях яичников [15].
МАТЕРИАЛЫ И МЕТОДЫ
Образцы опухолей яичников собраны и морфологически охарактеризованы в ФГБУ «НМИЦ онкологии им. Н.Н. Блохина» Минздрава России. Исследовали образцы опухолей больных, которые до операции не получали лучевую, химио- или гормонотерапию. Все опухоли были классифицированы в соответствии с TNM-классификацией Международного противоракового союза и гистологически верифицированы на основании критериев классификации ВОЗ [16]. Для отбора образцов с высоким содержанием опухолевых клеток (не менее 70–80%) проводили дополнительный гистологический анализ микросрезов (3–5 мкм), окрашенных гематоксилином-эозином. Образцы тканей хранили при −70 °С. В работе использовали 122 образца опухолей и 105 образцов гистологически неизменённой ткани яичников (табл. 1).
Таблица 1. Обобщённые данные по образцам опухолей яичников
Клинико-гистологический параметр | n = 122 | |
Гистологический тип | серозная аденокарцинома | 91 |
эндометриоидная аденокарцинома | 21 | |
другие типы | 10 | |
Клиническая стадия | I | 26 |
II | 19 | |
III | 68 | |
IV | 9 | |
Размер и распространенность | Т1 | 26 |
Т2 | 20 | |
Т3 | 76 | |
Гистологическая степень | G1 | 28 |
G2 | 35 | |
G3 | 57 | |
Отдаленные метастазы | M0 | 113 |
M1 | 9 | |
Лимфатические метастазы | N0 | 101 |
N1–3 | 21 | |
Диссеминация по брюшине и в сальник | нет | 45 |
есть | 77 | |
Метастазы всех типов | нет | 43 |
есть | 79 | |
Анализ уровня метилирования генов днРНК проводили с применением бисульфитной конверсии ДНК и количественной метил-специфичной ПЦР (МС-ПЦР) с детекцией в реальном времени, как описано в работе Van Dam et al. [11]. Использован набор реактивов qPCRmix-HS SYBR («Евроген», Россия). Амплификацию проводили на приборе Bio-Rad CFX96 Real-Time PCR Detection System («Bio-Rad», США). Полноту конверсии ДНК определяли с помощью контрольного локуса ACTB с использованием олигонуклеотидов, специфичных к неконвертированной матрице. Для сравнительного анализа эффективности амплификации также применялся локус ACTB с использованием олигонуклеотидов, специфичных к конвертированной матрице. Последовательности олигонуклеотидов и условия проведения ПЦР для генов днРНК приведены в табл. 2. В качестве контролей для неметилированных аллелей использовали коммерческий препарат ДНК #G1471 («Promega», США). В качестве положительного контроля 100%-ного метилирования использовали коммерческий препарат ДНК #SD1131 («Thermo Fisher Scientific», США). Исследование метилирования 5 генов днРНК выполнено на тотальной выборке из 122 образцов опухолей яичников.
Таблица 2. Праймеры и условия метил-специфичной ПЦР
Ген днРНК | M/U | Праймер, нуклеотидная последовательность (5′→3′) | Размер, п.н. | Tотж., °С |
GAS5 | M | MF: CGTTATCGTCGGTATTGGAGGGG | 185 | 60 |
MR: CGCCCGACGCCTTATCCC | ||||
U | UF: TGTTATTGTTGGTATTGGAGGGGTGAG | 179 | 60 | |
UR: CAACACCTTATCCCCATCTTCTCCA | ||||
SNHG1 | M | MF: CGGCGATCGAGGTTTTAGGA | 210 | 60 |
MR: ACTAACTCACCGACCGCATT | ||||
U | UF: TGGTGATTGAGGTTTTAGGA | 210 | 55 | |
UR: ACTAACTCACCAACCACATT | ||||
SNHG6 | M | MF: TTGAGTTATCGCGTTCGGTTT | 295 | 61 |
MR: CTCTTCCGATACGCGACCC | ||||
U | UF: CTCTTCCAATACACAACCC | 295 | 58 | |
UR: CAAAAACCATAAACCACCCTCC | ||||
SNHG12 | M | MF: CGCGTTTAGTAAAATTATATATTAGTGGAAGAGATAAG | 239 | 60 |
MR: CCCGACGCTAAACCCACGC | ||||
U | UF: TGTGTTTAGTAAAATTATATATTAGTGGAAGAGATAAG | 245 | 56 | |
UR: TCAATACCCAACACTAAACCCACAC | ||||
SNHG17 | M | MF: GCGCGAAACGAGCGTA | 168 | 59 |
MR: CGACGCCCTAACGTCGAATA | ||||
U | UF: TTGGTGTGAAATGAGTGTA | 170 | 57 | |
UR: CAACACCCTAACATCAAATAACA | ||||
ACTB1 | BSF: TGGTGATGGAGGAGGTTTAGTAAGT | 60 | 135 | |
BSR: AACCAATAAAACCTACTCCTCCCTTAA | ||||
Примечание. MF/UF и MR/UR – прямые и обратные праймеры к метилированному/неметилированному аллелю соответственно. Олигонуклеотиды подобраны с использованием базы данных (https://www.ncbi.nlm. nih.gov/gene/) и программы (http://www.urogene.org/methprimer2/) c проверкой в программе SeqBuilder Pro, которая входит в пакет программ Lasergene 17.1 («DNASTAR», США).
Анализ относительного уровня экспрессии днРНК и миРНК. Выделение РНК и получение кДНК проводили, как описано ранее [17]. Изменения уровня экспрессии днРНК и миРНК определяли методом количественной ПЦР в реальном времени на приборе Bio-Rad CFX96 Real-Time PCR Detection System. Данные анализировали с использованием метода ΔΔCt [18]. Изменение уровня экспрессии менее чем в 2 раза (|ΔΔCt| ≤ 2) принимали за отсутствие изменений. Праймеры для анализа уровня экспрессии 5 днРНК и контрольного гена B2M приведены в табл. 3. Наличие продуктов ПЦР и их размер проверяли с помощью электрофореза в 1%-ном агарозном геле с окрашиванием интеркалирующим красителем бромидом этидия. Исследование изменений уровня экспрессии 5 генов днРНК выполнено на тотальной выборке из 68 парных образцов РНК.
Таблица 3. Праймеры, условия ПЦР и размеры продукта ПЦР 5 днРНК и контрольного гена
РНК | Праймеры, нуклеотидная последовательность (5′→3′) | Tотж., °C | Размер, п.н. |
GAS5 | F: GAGCAAGCCTAACTCAAGCC R: TCAAGCCGACTCTCCATACCC | 60 | 157 |
SNHG6 | F: GCGAGGTGCAAGAAAGCC R: TGCTGCATGCCACACTTGA | 60 | 94 |
SNHG12 | F: TCTGGTGATCGAGGACTTCC R: AGCATGCTGTTGTTTCTACCTAA | 60 | 157 |
SNHG17 | F: GGGATCTGGGTTTGCTGATATT R: GTAGCCTCACTCTCCATTCTCT | 62 | 89 |
B2M | F: TGACTTTGTCACAGCCCAAGATAG R: CAAATGCGGCATCTTCAAACCTC | 60/62 | 81 |
Примечание. Праймеры подбирали в программе Beacon Designer (Premier Biosoft International) и с использованием PrimerSelect, Lasergene (http://www.dnastar.com/t-primerselect.aspx).
Анализ изменений уровня экспрессии миРНК проводили с использованием наборов TaqMan MicroRNA Assays («Thermo Fisher Scientific»): hsa-miR-124-3p (Assay ID: 4427975-001182); hsa-miR-124-5p (Assay ID: 4427975-002197); hsa-miR-137-3p (Assay ID: 4427975-001129) и контрольных наборов TaqMan™ MicroRNA Assays («Thermo Fisher Scientific»): RNU48 (Assay ID: 4427975-001006); RNU6B (Assay ID: 4427975-001093). Исследование уровня экспрессии миРНК выполнено на тотальной выборке из 44 парных образцов РНК.
Статистический анализ. Для анализа результатов использовали пакет статистических программ IBM SPSS Statistics 22; значимость различий между исследуемыми группами оценивали, используя непараметрический U-тест Манна–Уитни для независимых выборок. Анализ корреляции производили с помощью критерия Спирмена. Различия считали значимыми при p ≤ 0,05.
Биоинформатический анализ. Данные полногеномного бисульфитного секвенирования серозной аденокарциномы яичников в NCBI’s Gene Expression Omnibus (NCBI GEO) GSE146556 (https://www.ncbi.nlm.nih.gov/geo/query/acc.cgi? acc=GSE146555) и GSE81228 (https://www.ncbi.nlm.nih.gov/geo/query/acc.cgi?acc=GSE81228) привлечены как первичный тест наличия гиперметилирования у генов днРНК в опухолях яичников.
Для оценки предсказанных изменений уровня экспрессии исследуемых генов днРНК и предсказанных корреляций между этими изменениями была использована база данных GEPIA 2.0 (Gene Expression Profiling Interactive Analysis) [19], содержащая данные об экспрессии генов из библиотек TCGA для 426 образцов серозной аденокарциномы яичников и 88 образцов нормальной ткани яичников (http://gepia2.cancer-pku.cn/#index).
Оценка мРНК, положительно коррелирующих с исследуемыми днРНК, выполнена в среде программирования R с использованием набора данных из NCBI GEO (https://www.ncbi.nlm.nih.gov/geo/query/acc.cgi?acc=GSE211669) для 131 больных РЯ; учитывали данные при rs > 0,5 и p < 10−8.
Оценка миРНК, отрицательно коррелирующих с исследуемыми днРНК, выполнена с использованием данных полнотранскриптомного секвенирования из ICGC (International Cancer Genome Consortium; https://github.com/icgc-dcc) для 300 больных серозной цистаденокарциномой яичников и набора данных из NCBI GEO (https://www.ncbi.nlm.nih.gov/geo/query/acc.cgi?acc=GSE119055) для 6 образцов РЯ и 4 гистологически нормальных тканей яичников. Локальное выравнивание последовательностей между миРНК и днРНК было выполнено с использованием Архива нуклеотидов NCBI и алгоритма Смита–Уотермана [20].
Гены, связанные с ЭМП, отбирали с использованием баз данных GeneCards (https://www. genecards.org/Search/Keyword?queryString= epithelial-mesenchymal) и dbEMT 2.0 (http://dbemt.bioinfo-minzhao.org/).
Расчёт анализа обогащения выполнен с привлечением набора инструментов g:Profiler (https://biit.cs.ut.ee/gprofiler): Gene Ontology (GO; https://geneontology.org/); Reactome Pathway Database (REAC; https://reactome.org/); Kyoto Encyclopedia of Genes and Genomes (KEGG; https://www.genome.jp/kegg/); базы транскрипционных факторов (TF); WikiPathway (WP); The Human Protein Atlas (HPA; https://www.proteinatlas.org/); CORUM: the comprehensive resource of mammalian protein complexes–2022 (http://mips.helmholtz-muenchen.de/corum/) [21].
РЕЗУЛЬТАТЫ ИССЛЕДОВАНИЯ
Гиперметилирование группы генов днРНК семейства SNHG и связь уровня метилирования с прогрессией рака яичников. Методом количественной МС-ПЦР проведён анализ изменений уровней метилирования 5 генов днРНК (SNHG1, GAS5, SNHG6, SNHG12, SNHG17) на выборке из 122 образцов опухолей яичников (рис. 1).
Рис. 1. Изменения уровней метилирования 5 генов днРНК семейства генов SNHG в опухолях яичников; гены GAS5 и SNHG6 исследованы в 122 образцах опухолей и 105 образцах нормы; гены SNHG1, SNHG12, SNHG17 – в 93 образцах опухолей и 75 образцах нормы; ** p < 0,01, # p < 0,0001; N – образцы парной нормальной ткани яичника; T – опухолевые образцы рака яичника
Как видно из рис. 1, все 5 генов статистически значимо повышают уровень метилирования в опухоли яичников в сравнении с гистологически неизменённой тканью, что согласуется с данными полногеномного бисульфитного секвенирования NCBI GEO (GSE146556 и GSE81228) и работ Burdennyy et al. [12, 13] и Lukina et al. [14]. Однако 4 гена (GAS5, SNHG1, SNHG6 и SNHG1) изменяют своё метилирование в разы (p < 0,0001), в то время как изменение метилирования SNHG17 гораздо менее значительно (p < 0,01).
Проведён анализ связи изменений уровней метилирования 5 генов днРНК с прогрессией РЯ (рис. 2). Для 3 генов днРНК (GAS5, SNHG6 и SNHG12) показано статистически значимое (p < 0,01) повышение на более поздних клинических стадиях (III–IV по сравнению с I–II) с наиболее высокой достоверностью для генов GAS5 и SNHG12 (p < 0,0001). С увеличением размера и распространённости РЯ (T3 по сравнению с T1–T2) также наблюдается статистически значимое повышение уровня метилирования этих 3 генов с наибольшей достоверностью гена GAS5 (p < 0,0001), с меньшей – SNHG12 (p < 0,001) и SNHG6 (p < 0,01).
Рис. 2. Связь уровней метилирования генов GAS5, SNHG6 и SNHG12 с прогрессией РЯ; а – с клинической стадией (I–II – 45 образцов РЯ, III–IV – 77 образцов РЯ); б – с размером и распространённостью рака (T1 + T2 – 46 образцов РЯ, T3 – 76 образцов РЯ); в – с метастазированием в лимфоузлы (N0 – 101 образец РЯ, N1 – 21 образец РЯ); г – с диссеминацией по брюшине и в сальник (нет – 45, есть – 77); д – с учётом всех типов метастазирования (43 – нет, 79 – есть); * p < 0,05; ** p < 0,01; *** p < 0,001; # p < 0,0001
Известно, что при РЯ доминирует перитонеальный путь метастазирования [3]. В соответствии с этим диссеминация в брюшную полость и сальник отмечена у 77 пациентов, а метастазирование в лимфоузлы – только у 21 больного из 122. С образованием метастазов связаны те же 3 гена (GAS5, SNHG6 и SNHG12), но ассоциации не такие высокозначимые, как с клинической стадией. Так, с лимфогенными метастазами ассоциировано повышение метилирования у генов SNHG6 (p < 0,05) и SNHG12 (p < 0,01); с диссеминацией по брюшине и в сальник – у гена GAS5 (p < 0,05); при учёте всех типов метастазирования ассоциации выявлены у генов GAS5 (p < 0,05) и SNHG6 (p < 0,01). Выявленная связь с прогрессией РЯ у 3 генов (GAS5, SNHG6 и SNHG12) указывает на возможную функциональную значимость метилирования этих генов при РЯ.
Кометилирование и коэкспрессия группы генов днРНК семейства SNHG при РЯ. Методом статистического анализа на основании расчёта коэффициента корреляции Спирмена определены попарные корреляции уровней метилирования 5 аберрантно метилированных генов днРНК (рис. 3).
Рис. 3. Корреляционная матрица, отражающая степень корреляции уровней метилирования 5 генов днРНК (GAS5, SNHG1, SNHG6, SNHG12, SNHG17) при РЯ (попарные корреляции для 5 генов в 93 образцах РЯ, кроме пары GAS5 – SNHG6, для которой корреляция определена в 122 общих образцах). Положительные корреляции показаны красным, отрицательные – синим; интенсивность цвета эквивалентна коэффициенту корреляции Спирмена
Как видно из корреляционной матрицы, 4 гена (GAS5, SNHG1, SNHG6, SNHG12) из 5 исследованных проявили попарные положительные корреляции, тогда как отрицательные корреляции выявлены только для гена SNHG17. Cтатистически значимое кометилирование (rs > 0,35; p ≤ 0,001) показано для 6 попарных сочетаний этих 4 генов: GAS5 – SNHG1, GAS5 – SNHG6, GAS5 – SNHG12, SNHG1 – SNHG6, SNHG1 – SNHG12, SNHG6 – SNHG12. Количественные данные о попарных положительных корреляциях представлены в табл. 4. Для гена SNHG17 обнаруживаются 3 отрицательных корреляции с генами GAS5, SNHG6 и SNHG12 (табл. 4), с геном SNHG1 корреляция тоже отрицательная, хотя статистически не значимая (см. рис. 3).
Таблица 4. Данные о попарном кометилировании группы генов днРНК и их сопоставление с данными о коэкспрессии по GEPIA 2.0
Пара генов днРНК | Кометилирование | Коэкспрессия по GEPIA 2.0 | ||
rs | p-value | rs | p-value | |
1. GAS5 – SNHG1 | 0,39 | < 0,001 | 0,55 | < 0,001 |
2. GAS5 – SNHG6 | 0,39 | < 0,001 | 0,52 | < 0,001 |
3. GAS5 – SNHG12 | 0,59 | < 0,001 | 0,50 | < 0,001 |
4. SNHG1 – SNHG6 | 0,36 | 0,001 | 0,41 | < 0,001 |
5. SNHG1 – SNHG12 | 0,48 | < 0,001 | 0,68 | < 0,001 |
6. SNHG6 – SNHG12 | 0,77 | < 0,001 | 0,39 | < 0,001 |
7. SNHG17 – GAS5 | −0,35 | 0,001 | – | – |
8. SNHG17 – SNHG6 | −0,27 | 0,010 | – | – |
9. SNHG17 – SNHG12 | −0,29 | 0,005 | – | – |
Примечание. Приведены значения коэффициента корреляции Спирмена (rs) и уровня статистической значимости (р-value).
Для оценки функциональной значимости вывода о кометилировании, эти результаты были сопоставлены с данными об уровнях экспрессии и о возможной коэкспрессии 5 исследуемых генов днРНК, полученных из базы данных GEPIA 2.0 (http://gepia2.cancer-pku.cn/#index), содержащей данные из библиотек TCGA для более 400 образцов рака яичников. На рис. 4 приведены изменения уровней экспрессии 5 днРНК.
Рис. 4. Изменения уровней экспрессии 5 днРНК GAS5, SNHG1, SNHG6, SNHG12, SNHG17, при серозной цистаденокарциноме яичников, по данным GEPIA 2.0 (красный цвет – в опухоли, темно-серый – в норме); 426 образцов опухолей, 88 образцов нормальной ткани; красная звездочка соответствует р < 0,01; TPM – transcripts per million (транскриптов на миллион картированных прочтений)
Следует отметить, что в отличие от гена SNHG17, другие 4 гена днРНК, по данным GEPIA 2.0, показали выраженное снижение уровня экспрессии, причём GAS5, SNHG1, SNHG12 – статистически значимое (р < 0,01), что согласуется с их гиперметилированием при РЯ. Результат анализа корреляций экспрессии исследуемых днРНК, по данных GEPIA 2.0., приведён на рис. 5.
Рис. 5. Положительные корреляции между изменениями уровней экспрессии в 6 парах 4 днРНК семейства SNHG, по данным GEPIA 2.0 (выборка: 426 образцов серозной цистаденокарциномы яичников, 88 образцов нормы). Приведены коэффициент корреляции Спирмена (rs) и значимость (p-value)
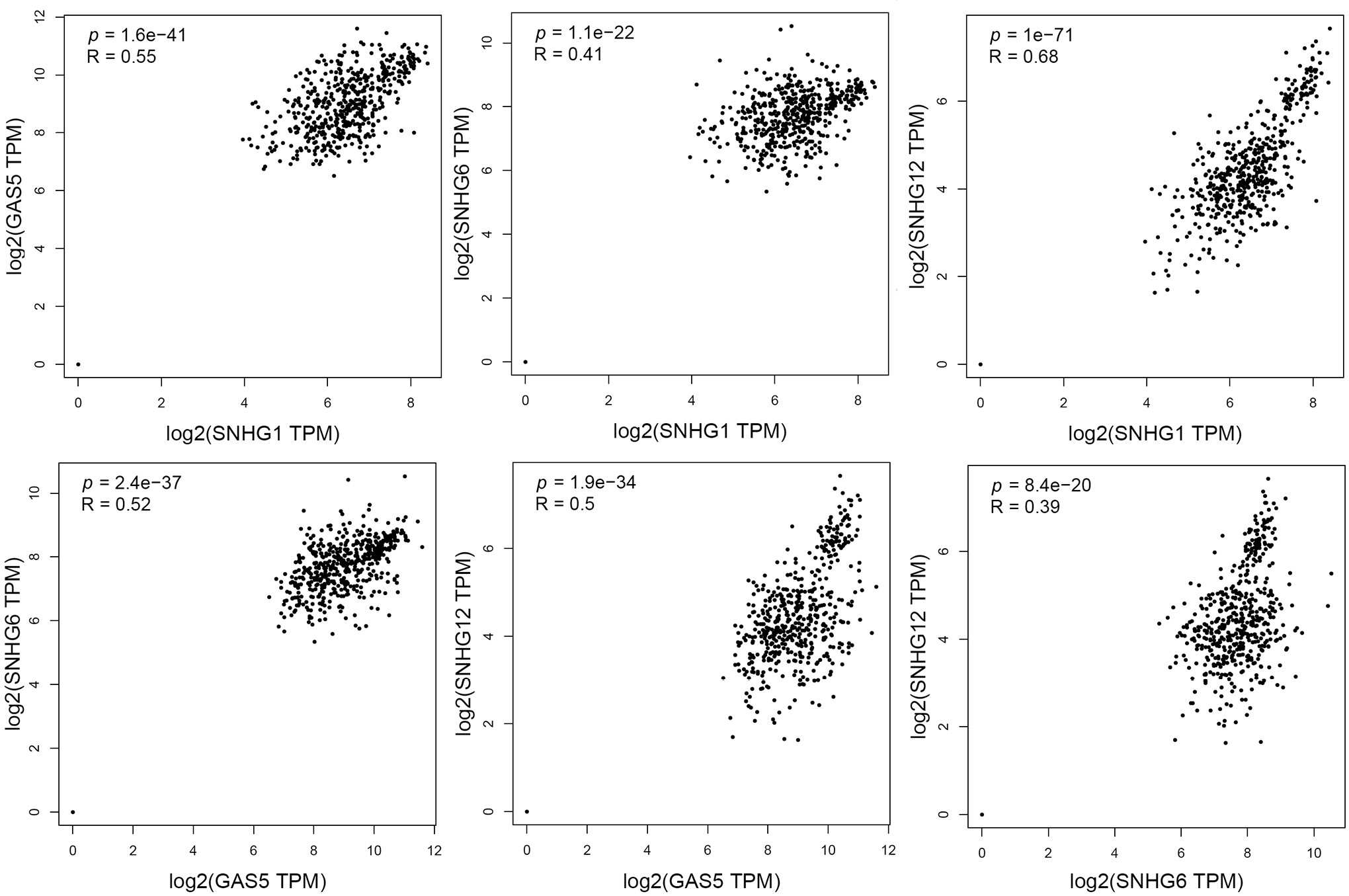
Важно подчеркнуть, что коэкспрессия, по данным GEPIA 2.0, выявлена для тех же 4 днРНК семейства SNHG (SNHG1, GAS5, SNHG6 и SNHG12), которые проявили кометилирование (рис. 5). Причём выявлены те же 6 попарных сочетаний днРНК: SNHG1 – GAS5, SNHG1 – SNHG6, SNHG1 – SNHG12, GAS5 – SNHG6, GAS5 – SNHG12, SNHG6 – SNHG12 (табл. 4; rs = 0,39–0,68; p < 0,001).
Нами были определены уровни экспрессии 2 днРНК GAS5 и SNHG6 методом количественной ОТ-ПЦР на представительных выборках образцов РЯ, а также получены пилотные данные для днРНК SNHG12 и SNHG17. Наблюдается снижение уровней экспрессии днРНК GAS5, SNHG6 и SNHG12 (рис. 6, а), что согласуется с данными об их гиперметилировании. Статистически значимое повышение уровня экспрессии SNHG17 (p = 0,048) может указывать на отсутствие функциональной значимости гиперметилирования гена SNHG17 (рис. 6, а).
Рис. 6. Выявление согласованной регуляции среди группы генов днРНК семейства SNHG. а – Изменение уровней экспрессии 4 днРНК GAS5, SNHG6, SNHG12, SNHG17 в образцах опухолей относительно нормальной ткани; GAS5 исследовали на выборке из 68 парных образцов РЯ; SNHG6 – в 57 парных образцах РЯ; SNHG12, SNHG17 – в 29 парных образцах РЯ. б – Положительная корреляция уровней экспрессии днРНК GAS5 и SNHG6 на выборке из 33 общих образцов РЯ. в – Отрицательная корреляция между уровнями экспрессии и метилировании днРНК GAS5 на выборке из 53 общих образцов РЯ; г – отрицательная корреляция между уровнями экспрессии и метилировании днРНК SNHG6 на выборке из 30 общих образцов РЯ. Рассчитан коэффициент корреляции Спирмена (rs)
Проведён анализ возможной коэкспрессии днРНК GAS5 и SNHG6 в опухолях яичников с расчётом коэффициента корреляции Спирмена, и определена статистически значимая положительная корреляция (rs = 0,46; p = 0,007; рис. 6, б). Важно, что экспериментально полученный результат о коэкспрессии этих днРНК совпал с результатом анализа базы данных GEPIA для этой пары днРНК GAS5 – SNHG6 (rs = 0,52; p < 0,001; рис. 5).
Проведён анализ возможных корреляций между изменениями уровней экспрессии и метилирования для генов днРНК GAS5 и SNHG6 в опухолях яичников с расчётом коэффициентов корреляции Спирмена. Показаны статистически значимые отрицательные корреляции между изменениями уровней экспрессии и метилирования для гена днРНК GAS5 (rs = −0,47; p < 0,001) и для гена днРНК SNHG6 (rs = −0,66; p < 0,001; рис. 6, в и г).
Полученный результат о статистически значимых обратных зависимостях между уровнями экспрессии и метилирования, показанными для обоих генов GAS5 и SNHG6, служит дополнительным подтверждением согласованных изменений уровней метилирования и экспрессии генов днРНК GAS5 и SNHG6.
Итак, для 4 из 5 исследованных днРНК (GAS5, SNHG1, SNHG6, SNHG12) получены экспериментальные данные о статистически значимом кометилировании для 6 возможных попарных сочетаний между ними: SNHG1 – GAS5, SNHG1 – SNHG6, SNHG1 – SNHG12, GAS5 – SNHG6, GAS5 – SNHG12, SNHG6 – SNHG12 (рис. 3; табл. 4), и об их коэкспрессии, которая показана в результате анализа GEPIA 2.0. для тех же 6 попарных сочетаний (рис. 5). На примере пары GAS5 – SNHG6 коэкспрессия показана также экспериментально (рис. 6, б). На согласованность в регуляции этих двух днРНК указывают также обратные зависимости между уровнями метилирования и экспрессии, полученные для генов GAS5 и SNHG6 (рис. 6, в и г).
Обращает на себя внимание совершенно иное поведение SNHG17 в онкогенезе РЯ по сравнению с другими членами этого семейства, несмотря на то что он тоже является геном-хозяином для мякРНК SNORA71B [22]. Такая ситуация ставит вопрос о том, не могут ли различия быть связанными с функцией соответствующих днРНК в патогенезе РЯ.
Скрининг потенциально регулируемых миРНК для 4 днРНК семейства SNHG при РЯ. Основной механизм посттранскрипционной регуляции генов в опухолях при участии днРНК и миРНК осуществляется по схеме днРНК/миРНК/мРНК [7]. Проведён отбор миРНК, статистически значимо отрицательно коррелирующих с 4 днРНК семейства SNHG (SNHG1, GAS5, SNHG6 и SNHG12). С использованием набора данных ICGC (https://github.com/icgc-dcc) для РЯ определена группа потенциально регулируемых миРНК: miR-124, miR-137, miR-1286, miR-1290, miR-4771, miR-4791 и др. (rs < −0,5; p < 0,01). Для miR-124 и miR-137 отрицательная корреляция биоинформатически выявляется со всеми 4 днРНК: SNHG1, GAS5, SNHG6 и SNHG12 (табл. 5), но не с SNHG17.
Таблица 5. Значения коэффициента Спирмена и p-value для корреляции между 4 днРНК и 2 миРНК, согласно результатам анализа базы данных ICGC
миРНК | днРНК | rs | p = | миРНК | днРНК | rs | p = |
miR-124 | SNHG1 | −0,71 | 0,0001 | miR-137 | SNHG1 | −0,71 | 0,0027 |
GAS5 | −0,56 | 0,0051 | GAS5 | −0,74 | 0,0015 | ||
SNHG6 | −0,53 | 0,0073 | SNHG6 | −0,80 | 0,0003 | ||
SNHG12 | −0,68 | 0,0003 | SNHG12 | −0,80 | 0,0003 |
Примечание. В использованном наборе данных отсутствовали данные о 3p- и 5p-плечах.
Нами исследован относительный уровень экспрессии трёх миРНК (miR-124-3p, miR-124-5p, miR-137-3p) и возможные корреляции между изменениями уровней трёх миРНК и днРНК GAS5 и SNHG6; получены данные о статистически значимой отрицательной корреляции между GAS5 и miR-124-5p: rs = −0,48; р = 0,009 (рис. 7, а и б).
Рис. 7. Выявление корегулируемых миРНК. а – Уровень экспрессии miR-124-3p, miR-124-5p, miR-137-3p в образцах опухолей яичников относительно парной нормы; miR-124-3p исследован в 38 парных образцах РЯ, miR-124-5p – в 44 образцах РЯ, miR-137-3p – в 41 образце РЯ. б – Отрицательная корреляция уровней экспрессии днРНК GAS5 и miR-124-5p на выборке из 28 общих парных образцов РЯ
Можно отметить, что этот результат согласуется с данными другой предсказательной базы для рака яичников (GSE119055), согласно которой среди этих 2 миРНК и 4 днРНК максимальная отрицательная корреляция предсказана для пары miR-124-5p – GAS5 (rs = −0,71; p < 0,0014) и несколько ниже – для пары miR-124-5p – SNHG6 (rs = −0,64; p = 0,005).
Чтобы выявить полный набор общих миРНК, способных к прямому связыванию с каждой из днРНК GAS5 и SNHG6, проведён скрининг миРНК на основе анализа корреляций и комплементарностей. Для этого выполнен анализ набора данных для рака яичников (GSE119055) при rs ≤ −0,6 (p < 0,01) и проведено локальное выравнивание последовательностей с использованием алгоритма Смита–Уотермана [20]. В результате определены 9 общих миРНК (табл. 6), которые, наряду с миРНК специфичными для GAS5 (66) и для SNHG6 (40), могут участвовать в опухолях яичников в прямом связывании с обеими днРНК и в снижении их уровня.
Таблица 6. Данные локального выравнивания последовательностей
миРНК | GAS5 | SNHG6 |
hsa-miR-32-3p | 6mer | 7mer-a1 |
hsa-miR-181a-2-3p | 6mer | g-bulged 6mer |
hsa-miR-199a-5p | 7mer-a1 | g-bulged 6mer |
hsa-miR-298 | 6mer | 7mer-m8 |
hsa-miR-425-5p | 7mer-a1 | 6mer |
hsa-miR-532-5p | 6mer | g-bulged 7mer |
hsa-miR-548c-3p | 6mer | g-bulged 6mer |
hsa-miR-578 | 7mer-m8 | 7mer-a1 |
hsa-miR-642a-5p | g-bulged 7mer | 6mer |
Примечание. Жирным шрифтом выделены наилучшие показатели комплементарности.
Из этого анализа можно заключить, что до 10% отобранных миРНК могут участвовать в опухолях яичников в регуляции генов совместно с обеими днРНК GAS5 и SNHG6 по схеме: днРНК/миРНК/мРНК. МиРНК hsa-miR-578, по-видимому, обладает наибольшей комплементарностью к сайтам связывания на обеих днРНК GAS5 и SNHG6 и представляется наиболее вероятным кандидатом.
Предсказанные общие коэкспрессирующиеся мРНК при РЯ и общие процессы для 5 днРНК семейства SNHG при РЯ. Обнаружение согласованных изменений в метилировании и экспрессии для 4 днРНК (GAS5, SNHG1, SNHG6, SNHG12) и выявление общих регуляторных миРНК позволили предположить также общие мишени и общие функции для этих 4 днРНК семейства SNHG в патогенезе РЯ. Чтобы проверить эту гипотезу, биоинформатически были определены мРНК, коэкспрессирующиеся совместно с исследуемыми днРНК в опухолях яичников. Такие мРНК могут представлять мишени днРНК, и их взаимодействие может осуществляться при посредничестве миРНК, белков или напрямую. При наиболее обычном взаимодействии по типу конкурирующих эндогенных РНК (днРНК/миРНК/мРНК) корреляция между экспрессией днРНК и мРНК положительна. На основе данных NCBI GEO (GSE211669) были рассчитаны группы мРНК, уровни которых положительно коррелируют с днРНК семейства SNHG при РЯ. Так, для SNHG1 предсказано 83 коэкспрессирующихся мРНК, для GAS5 – 196, SNHG6 – 114, SNHG12 – 94, SNHG17 – 53 мРНК (rs > 0,5; p < 10−8). Далее, были определены наборы коэкспрессирующихся мРНК, общих для попарных сочетаний 4 исследуемых днРНК: GAS5 – SNHG1 (7 общих мРНК), GAS5 – SNHG6 (92 общих мРНК), GAS5 – SNHG12 (8 общих мРНК), SNHG1 – SNHG12 (18 общих мРНК), SNHG6 – SNHG12 (1 общая мРНК). Среди мРНК, коэкспрессирующихся с днРНК SNHG17, не обнаружено общих с другими 4 днРНК.
Далее, был применён анализ обогащения по функциональной принадлежности с привлечением пакета gprofiler2 (https://biit.cs.ut.ee/gprofiler), и в результате на основе данных о наборах коэкспрессирующихся мРНК были определены процессы, характерные для 5 днРНК семейства SNHG: GAS5, SNHG1, SNHG6, SNHG12 и SNHG17 (табл. 7).
Таблица 7. Процессы, предсказанные для 5 днРНК семейства SNHG при РЯ
днРНК | Предсказанные процессы, согласно gprofiler2 (https://biit.cs.ut.ee/gprofiler) с учётом баз данных: GO, REAC, KEGG, HP, HPA, CORUM, TF, WP (p < 0,05) |
SNHG1 | 151; GO: RNA processing, ncRNA processing, mRNA processing, tRNA processing, RNA methylation, RNA binding, nucleic acid binding; HPA: fallopian tube, endometrium, breast, cervix; MIRNA: hsa-mir-6807; REAC: mRNA-3′-end Processing, mRNA Splicing, mRNA Splicing – Major Pathway; TF: E2F, YY1, MYC; WP: mRNA processing |
GAS5 | 716; CORUM: TNF-alpha/NF-kappa B signaling complex 6; GO: translation, cytoplasmic translation, ribosome biogenesis, RNA processing, ncRNA processing, ribonucleoprotein complex biogenesis, nucleolus, nucleus, cytoplasm, gene expression, signal transduction by p53 class mediator, positive regulation of intrinsic apoptotic signaling pathway by p53 class mediator, negative regulation of post-translational protein modification, focal adhesion, extracellular exosome, cell junction, RNA binding, nucleic acid binding, rRNA binding, mRNA binding, protein binding, cadherin binding; HP: neoplasm; HPA: fallopian tube, endometrium, breast, cervix, ovary; MIRNA: hsa-mir-615-3p, hsa-mir-16-5p; REAC: translation, regulation of expression of SLITs and ROBOs, rRNA processing; TF: ELF, YY1, EHF |
SNHG6 | 742; CORUM: TNF-alpha/NF-kappa B signaling comlex 6; GO: translation, cytoplasmic translation, ribosome biogenesis, RNA processing, ncRNA processing, ribonucleoprotein complex biogenesis, nucleolus, nucleoplasm, gene expression, mRNA 5’-UTR binding, signal transduction by p53 class mediator, positive regulation of intrinsic apoptotic signaling pathway by p53 class mediator, focal adhesion, extracellular exosome, RNA binding, nucleic acid binding, rRNA binding, mRNA binding, protein binding; HP: neoplasm; HPA: fallopian tube, endometrium, breast, cervix, ovary; MIRNA: hsa-mir-100-5p, hsa-mir-615-3p; REAC: translation, regulation of expression of SLITs and ROBOs, rRNA processing, Cellular responses to stress; TF: ELF, YY1, EHF, ELK; WP: Direct reversal repair |
SNHG12 | 13; REAC: mRNA Splicing, mRNA Splicing – Major Pathway |
SNHG17 | 3; GO: nucleus, nucleoplasm |
Примечание. Обозначены базы данных, использованные для поиска; перечислены наиболее значимые процессы, связанные с онкогенезом РЯ, рака эндометрия, шейки матки и молочной железы.
Далее, мы отобрали процессы, общие для попарных сочетаний 4 днРНК (GAS5, SNHG1, SNHG6, SNHG12), и сопоставили их с числом общих коэкспрессирующихся мРНК (рис. 8). Наибольшее количество общих процессов выявлено для днРНК GAS5 и SNHG6, среди которых типичные вовлечённые в онкогенез процессы: адгезия клеток, связывание нуклеиновых кислот (мРНК, нкРНК, микроРНК, ДНК), экспрессия генов (рис. 8, а). Кроме того, выявляется роль GAS5 и SNHG6 в процессинге РНК, трансляции и биогенезе рибосом, что может быть связано с возможным участием днРНК этого семейства в регуляции экспрессии малых ядрышковых РНК. Для GAS5 и SNHG6 показана связь с функцией таких органов, как фаллопиевы трубы и яичники, что согласуется с вовлечённостью этих днРНК в развитие опухолей яичников. Среди процессов, общих как для GAS5 и SNHG1, так и для SNHG1 и SNHG6, выявляются процессинг РНК, связывание нуклеиновых кислот (нкРНК, мРНК, рРНК, тРНК, ДНК), а также связь с рядом транскрипционных факторов, например, EHF (ETS Homologous Factor) и YY1 (yin yang 1), ассоциированных с онкогенезом [23–25] (табл. 6; рис. 8, б и в).
Рис. 8. Диаграммы Венна мРНК, коэкспрессирующихся с GAS5, SNHG1, SNHG6 и SNHG12, и диаграммы рассеяния, отражающие процессы, общие для 4 попарных сочетаний днРНК при РЯ; процессы предсказаны по gprofiler2 и данным GO, REAC, KEGG, HP, HPA, CORUM, TF, WP (p < 0,05)
Из процессов, значимых в онкогенезе, SNHG12 вовлечена в сплайсинг, а SNHG1 – в процессинг и сплайсинг РНК, связывание и метилирование РНК, а также для SNHG1 показана связь с функционально значимыми процессами, происходящими в фаллопиевых трубах, из клеток которых развиваются определённые формы рака яичников (табл. 7). Для обеих днРНК SNHG1 и SNHG12 предсказано участие в сплайсинге (рис. 8, г).
Следует отметить, что для SNHG17 биоинформатически не выявлены ни мРНК, ни процессы, общие с другими 4 исследованными днРНК семейства SNHG, что согласуется с отсутствием кометилирования и коэкспрессии между ними и SNHG17 при РЯ.
Известно, что ЭМП относится к важнейшим процессам при инвазии и метастазировании РЯ [3]. Чтобы дополнительно оценить связь днРНК с процессами, типичными для онкогенеза в опухолях яичников, данные по мРНК, коэкспрессирующимся с 4 днРНК семейства SNHG (SNHG1, GAS5, SNHG6, SNHG12), были сопоставлены с данными по генам, ассоциированным с ЭМП (табл. 8). Использованы базы данных GeneCards (https://www.genecards.org/Search/Keyword?queryString=epithelial-mesenchymal) и dbEMT 2.0 (http://dbemt.bioinfo-minzhao.org/).
Таблица 8. Гены, коэкспрессирующиеся с днРНК GAS5, SNHG1, SNHG6, SNHG12 (rs > 0,5) и ассоциированные c ЭМП-процессом
днРНК | ЭМП-ассоциированные гены | |
SNHG1 | GLS2, GNL3, HNRNPUL2, ILF3, LETMD1, METTL3, MTA1, OGT, PABPN1, SRSF11, TFAP4 | |
SNHG12 | CIRBP, CNKSR1, EIF3I, HDAC1, HRAS, RASSF1, TAZ, YPEL3 | |
SNHG6 | Общие с GAS5 | ALKBH2, FAU, NACA, RPL12, RPL14, RPL22L1, RPL27A, RPL38, RPL6, RPL7, RPL7A, RPL9, RPLP2, RPS13, RPS4X, RPS6, RPS8, UBA52, USMG5 |
Специфичные SNHG6 | MGMT, RPLP22L1 | |
GAS5 | Общие с SNHG6 | ALKBH2, FAU, NACA, RPL12, RPL14, RPL22L1, RPL27A, RPL38, RPL6, RPL7, RPL7A, RPL9, RPLP2, RPS13, RPS4X, RPS6, RPS8, UBA52, USMG5 |
Специфичные GAS5 | BTF3, CCT3, EEF1D, EIF3E, EIF3F, IMPDH2, NOX1, PDCD5, PDZD9, RPL13, RPL15, RPL21, RPL4, RPS20, RPS25, RPS27A, RPSA, TPT1 | |
Как следует из табл. 8, SNHG1 положительно коррелирует с 11 ЭМП-ассоциированными генами, SNHG12 – с 8, SNHG6 – с 21, GAS5 – с 37 ЭМП-генами. Так, среди белков, ассоциированных с SNHG1, белок митохондриального матрикса (LETMD1), который был открыт как онкопротеин, способный стимулировать морфогенез эпителия или мезенхимы во время неопластической трансформации и переходы ЭМП–МЭП (мезенхимально-эпителиальный переход) при раке шейки матки (HCCR-1); повышение уровня miR-494 усиливало инвазию, регулируя уровень LETMD1 при этом виде рака [26]. Ген GLS2, кодирующий глутаминазу, относится к потенциальным мишеням SNHG1; повышенная экспрессия GLS2 снижает стволовость и мезенхимальные свойства клеток рака молочной железы, препятствуя ЭМП, а также повышает чувствительность к химиотерапии и ассоциирована с лучшей выживаемостью больных [27].
Связь с процессом ЭМП, играющим важнейшую роль в развитии, прогрессии и метастазировании рака, и в частности, опухолей яичников [3, 4], указывает на значимость днРНК SNHG1, GAS5, SNHG6 и SNHG12 в патогенезе РЯ. Важно, что 19 ЭМП-ассоциированных генов оказались общими между наборами генов, ассоциированных с GAS5 и SNHG6, что подтверждает сходство функций этих днРНК в онкогенезе яичников (табл. 8). Так, например, среди этих 19 общих для GAS5 и SNHG6 ЭМП-генов выявлен ген альфа-кетоглутарат-зависимой диоксигеназы (ALKBH2), который участвует в репарации ДНК и экспрессируется при различных типах злокачественных новообразований; ген ALKBH2 в регуляторных сетях связан с онкобелком MUC1, нокдаун ALKBH2 подавляет ЭМП и влияет на NF-κB-путь [28]. Ген USMG5, также известный как субъединица ATP-синтазы мембраны (ATP5MK), предложен как маркер множественной миеломы [29], а ген RPL22L1, кодирующий рибосомный белок с РНК-связывающей активностью, по данным работы Wu et al. [30], усиливает метастазирование РЯ через индукцию ЭМП; RPL22L1 цитирован в 30 статьях по раку (PubMed/2024/05/09).
ОБСУЖДЕНИЕ РЕЗУЛЬТАТОВ
В связи с открытием днРНК семейства SNHG вырос интерес к исследованию многофункциональных генов малых ядрышковых РНК (мякРНК), кодирующих РНК трёх типов: из интронов формируются малые ядрышковые РНК, представляющие нкРНК длиной 60–300 нуклеотидов, в основном функционирующие в ядрышке; из экзонов при повторном сплайсинге могут образовываться мРНК; а полноразмерный первичный транскрипт, включающий и экзоны, и интроны, сохраняется в ядре и цитоплазме и может функционировать как днРНК семейства SNHG [31, 32]. Надо отметить, что из 232 генов мякРНК только 32 гена кодируют именно днРНК семейства SNHG (https://www.genenames.org/tools/search/#!/?query=snhg; на 17.08.2024), а образующиеся мРНК, если они даже есть, как в случае GAS5, не являются долгоживущими и функциональными. Представляется актуальным поиск подходов к исследованию генов днРНК, вовлечённых и в онкогенез, и в биогенез рибосомы.
Кометилирование, как и коэкспрессия генов, в опухолях может указывать на их скоординированную регуляцию и совместное участие в общих сигнальных путях/процессах [33, 34]. Однако если анализу коэкспрессии генов в опухолях посвящены более 9000 публикаций, то кометилированию – только 54 работы (PubMed 2024/05/13). Причём при РЯ только в одном из недавних наших исследований анализируется кометилирование ДНК для группы генов регуляторных миРНК [35]. В настоящей работе с использованием общей представительной выборки образцов опухолей яичников впервые исследовано кометилирование 5 генов днРНК семейства SNHG: SNHG1, GAS5/SNHG2, SNHG6, SNHG12, SNHG17.
В настоящей работе обнаружена статистически значимая положительная корреляция уровней метилирования 4 из 5 исследованных генов: SNHG1, GAS5, SNHG6, SNHG12 (rs > 0,35; p ≤ 0,001), в отличие от гена SNHG17. Наблюдаемое кометилирование 4 из 5 генов оказалось в согласии с их коэкспрессией, по данным GEPIA 2.0. Причём для пары GAS5 – SNHG6 коэкспрессия подтверждена нами экспериментально. И кометилирование, и коэкспрессия выявлены для 6 попарных сочетаний: SNHG1 – GAS5, SNHG1 – SNHG6, SNHG1 – SNHG12, GAS5 – SNHG6, GAS5 – SNHG12, SNHG6 – SNHG12.
Далее, были получены данные, указывающие на возможное участие миРНК в механизмах действия этой группы генов днРНК. Так, с помощью скрининга баз данных ICGC (https://github.com/ icgc-dcc) и (GSE119055) были определены общие миРНК, потенциально взаимодействующие с 4 днРНК SNHG1, GAS5, SNHG6, SNHG12. Кроме того, предсказаны миРНК, способные участвовать в прямых связываниях с двумя днРНК, GAS5 и SNHG6.
Полученные результаты о возможных механизмах действия 4 днРНК (SNHG1, GAS5, SNHG6, SNHG12) при РЯ позволили предположить их совместное участие в биологических процессах. С помощью скрининга коэкспрессируемых мРНК с использованием данных NCBI GEO (GSE211669) были определены общие мРНК для попарных сочетаний 4 днРНК. Далее, был выполнен анализ обогащения по функциональной принадлежности с привлечением пакета gprofiler2 (https://biit.cs.ut.ee/gprofiler), что позволило выявить для всех 4 днРНК (SNHG1, GAS5, SNHG6 и SNHG12) вовлечённость в процессинг и/или сплайсинг РНК. Для SNHG1 предсказано также участие в связывании нуклеиновых кислот (мРНК, нкРНК, ДНК) и метилировании РНК. Для GAS5 и SNHG6 предсказано наибольшее количество разнообразных процессов, среди которых типичные для онкогенеза: адгезия клеток, связывание нуклеиновых кислот (ДНК, мРНК, нкРНК, миРНК), экспрессия генов, формирование комплексов с белком, апоптоз, сигналинг p53, и др. Для GAS5, SNHG6 и SNHG1 показана связь с процессами, ассоциированными с функционированием таких органов, как фаллопиевы трубы и яичники, что согласуется с вовлечённостью этих днРНК в развитие опухолей яичников.
Необходимо подчеркнуть, что для GAS5 и SNHG6 получены также данные о непосредственном участии в биогенезе рибосом и трансляции. Эти результаты согласуются с данными литературы о роли днРНК семейства SNHG в механизмах патогенеза опухолей, в том числе связанных с биогенезом рибосом и посттранскрипционными модификациями РНК.
Как отмечено в недавних публикациях [8–10, 32], семейство SNHG относится к особому виду днРНК. Так, подобно другим днРНК, члены этого семейства выполняют функции в ядре (эпигенетическая модификация и регуляция транскрипции) и цитоплазме (регуляция трансляции, конкурентное связывание свободных миРНК и посттранскрипционная модификация). Однако, помимо этого, днРНК семейства SNHG могут участвовать в регуляции уровня мякРНК, которые вовлечены в процессы сплайсинга и процессинга предшественников рибосомальной РНК (рРНК), а также в посттранскрипционной модификации и биосинтезе рибосом [8–10, 32, 36].
Установлено, что гиперактивация биогенеза рибосом и нарушение структуры рибосом могут быть вызваны активацией онкогенов или потерей активности генов-супрессоров опухоли и играют важную роль в инициации и прогрессировании рака [37–39]. Для мякРНК, в регуляции которых задействованы днРНК семейства SNHG, показано участие в метилировании разных компонентов рибосом, включая 2′-O-метилирование рРНК, что необходимо для сборки рибосом [40]. В опухолях обнаружены взаимосвязанные нарушения профилей метилирования компонентов рибосом и профилей экспрессии мякРНК, регулируемых днРНК семейства SNHG. Таким образом, днРНК семейства SNHG могут участвовать в онкогенезе, воздействуя на процессы биогенеза рибосом, посттранскрипционной модификации и трансляции [36].
Известно, что класс мякРНК, вовлечённых в ядрышковый процессинг прерибосомальных РНК, делят на два семейства в зависимости от структуры и модификаций, которыми они управляют: семейство SNORD (C/D box), которое управляет метилированием 2′-О-рибозы, и семейство SNORA (H/ACA box), которое опосредует переход уридинов в псевдоуридины [8, 32, 41].
Методом биоинформатического поиска нами выявлено наибольшее число общих процессов для пары днРНК GAS5 и SNHG6, предполагающих их совместное участие в процессинге РНК, биогенезе рибосом и трансляции мРНК, которые регулируются мякРНК, что указывает на связь днРНК GAS5 и SNHG6 с регуляцией мякРНК.
Как известно, транскрипт GAS5 (Growth Arrest-Specific 5, Ch1q25.1) размером в 4 т.п.н. содержит 13 экзонов и может посредством альтернативного сплайсинга образовывать до 50 транскриптов и до 24 различных зрелых изоформ днРНК [42] (https://www.ncbi.nlm.nih.gov/gene/60674). 10 C/D-мякРНК, кодируемых в интронах GAS5, предсказаны как регулирующие 2′-O-метилирование рРНК, тем самым облегчая сворачивание РНК и взаимодействие с рибосомами, а SNORDA103 участвует в конверсии уридинов [43, 44]. С помощью CRISPR/Cas9-модификаций в клеточных культурах показано, что созревание предшественника днРНК GAS5 является SNORD-зависимым [42].
Таким образом, GAS5 характеризуется сложной организацией и может обладать разнообразными функциями. Биоинформатически нам также удалось выявить 196 потенциальных мРНК-мишеней и более 700 значимых процессов. И действительно, по данным литературы, GAS5 регулирует экспрессию множества генов, в том числе при посредничестве миРНК или через связывание с промотором [42].
m6A(N6-метиладенозин)-метилирование РНК (мРНК, миРНК и днРНК) играет решающую роль в сплайсинге, стабильности, экспорте и трансляции РНК. m6A-Метилирование вовлечено в регуляцию сплайсинга GAS5 и SNHG1. SNORD75 связывает факторы, участвующие в сплайсинге GAS5, среди которых METTL3/METTL14 (methyltransferase-like 3/14) [45]. SNHG1 содержит 18 сайтов m6A-метилирования, и показано, что в клетках колоректального рака происходит модификация по этим сайтам под действием METTL3, которая повышает стабильность SNHG1 [46].
Ассоциация SNHG1 и SNHG12 со сплайсингом РНК и сплайсосомой обнаружена при глиоме и при гепатобластоме, причём при гепатобластоме показана вовлечённость в альтернативный механизм сплайсинга через связывание с регулятором сплайсинга PABPN1 (Polyadenylate-binding nuclear protein 1), который приводит к снижению уровня мякРНК (SNORD27, SNORA24, SNORA16A, SNORA61 и SNORD60) при сохранении интронов и уровня днРНК [47, 48].
Ген SNHG6 подвержен альтернативному сплайсингу, имеет 8 сплайс-вариантов; содержащаяся в интроне SNHG6 мякРНК U87 (SNORD87) участвует в метилировании рРНК и в биогенезе рибосом [49]. Гены-мишени SNHG6, предсказанные при раке предстательной железы, также связаны с процессингом рРНК, трансляцией и сплайсингом мРНК [50]. В другой работе, тоже in silico, показано, что родственные и экспрессируемые совместно с SNHG6 гены, колокализованные на 8q-плече, влияют на структурную целостность рибосомы и уровень трансляции при гепатоцеллюлярной карциноме [51]. Биоинформатический анализ белков, регулируемых с участием днРНК SNHG6, при колоректальном раке показал связь с рибосомами, сплайсосомами и процессингом мРНК и влияние на процессы транскрипции и трансляции [52].
Интересно отметить также, что для днРНК SNHG1, GAS5 и SNHG12 с применением технологии аффинной очистки транслирующих рибосом (TRAP, translating ribosome affinity purification) показана непосредственная связь с рибосомами в пирамидных нейронах префронтальной коры мозга мышей [53, 54].
На вовлечённость в онкогенез 4 исследованных днРНК семейства SNHG указывает также обнаруженная ассоциация с ЭМП-связанными генами. Так, среди генов, ассоциированных с SNHG12, выявлены классический опухолевый супрессор RASSF1A, ингибирующий ЭМП при раке лёгкого и желудка [55, 56]; классический супрессор ЭМП и индуктор старения клеток через путь Hippo, ген YPEL3 (Yippee-like 3) [57, 58]; а также ген TAZ (tafazzin, phospholipid-lysophospholipid transacylase), выполняющий, напротив, роль онкогена, драйвера ЭМП и стволовости через ингибирование пути Hippo [59, 60].
ЗАКЛЮЧЕНИЕ
Таким образом, для группы генов днРНК семейства SNHG (SNHG1, GAS5, SNHG6, SNHG12) в опухолях яичников нами впервые обнаружена роль кометилирования и коэкспрессии, биоинформатически определены общие регуляторные миРНК и общие коэкспрессирующиеся мРНК, а также предсказано участие в общих биологических процессах, ассоциированных с онкогенезом. Среди предсказанных процессов преобладают связывание нуклеиновых кислот (рРНК, тРНК, мРНК, нкРНК, днРНК и ДНК), процессинг и альтернативный сплайсинг, биогенез рибосом и трансляция, в осуществлении которых важная роль отводится мякРНК, содержащимся в интронах генов этого семейства.
На участие в онкогенезе этой группы днРНК указывает также их ассоциация с ЭМП-связанными генами. Определение 19 общих ЭМП-связанных генов для днРНК GAS5 и SNHG6 дополнительно подтверждает их сходство в функциях.
Таким образом, полученные нами данные важны для определения путей регуляции и функций этой группы днРНК семейства SNHG в патогенезе опухолей. Наши результаты о связи днРНК GAS5, SNHG1, SNHG6 и SNHG12 c биогенезом рибосомы при РЯ согласуются с данными литературы, полученными в опухолях других локализаций, что отражает новизну нашего исследования и приоритетность результатов.
Вклад авторов. Э.А. Брага, А.М. Бурдённый и Н.Е. Кушлинский – концепция работы; С.С. Лукина и И.В. Пронина – проведение экспериментов; Е.А. Филиппова, Л.А. Урошлев и В.И. Логинов – биоинформатический и статистический анализ; Т.П. Казубская и Д.Н. Кушлинский – сбор и характеристика клинических образцов; М.В. Фридман – анализ литературных данных, написание текста статьи, обсуждение результатов исследования; Э.А. Брага и А.М. Бурдённый – написание текста статьи. Все авторы – чтение, редактирование текста статьи и обсуждение результатов.
Финансирование. Работа выполнена при финансовой поддержке Российского научного фонда (грант № 20-15-00368-П).
Конфликт интересов. Авторы заявляют об отсутствии конфликта интересов.
Соблюдение этических норм. Все процедуры, выполненные в исследованиях с участием людей, соответствуют этическим стандартам национального комитета по исследовательской этике, Хельсинкской декларации 1964 года и её последующим изменениям или сопоставимым нормам этики. От каждого из включённых в исследование участников было получено информированное добровольное согласие. Экспериментальное исследование «Кометилирование группы генов длинных некодирующих РНК семейства SNHG в опухолях яичников как потенциальный маркер их корегуляции и общих функций» рассмотрено и одобрено локальным Этическим комитетом ФГБНУ «НИИОПП» (протоколы № 5 от 09.11.2022 и № 3 от 07.05.2024).
About the authors
E. A. Braga
Research Institute of General Pathology and Pathophysiology
Author for correspondence.
Email: eleonora10_45@mail.ru
Russian Federation, 125315, Moscow
E. A. Filippova
Research Institute of General Pathology and Pathophysiology
Email: eleonora10_45@mail.ru
Russian Federation, 125315, Moscow
L. A. Uroshlev
Vavilov Institute of General Genetics of the Russian Academy of Sciences
Email: eleonora10_45@mail.ru
Russian Federation, 119991 Moscow
S. S. Lukina
Research Institute of General Pathology and Pathophysiology
Email: eleonora10_45@mail.ru
Russian Federation, 125315, Moscow
I. V. Pronina
Research Institute of General Pathology and Pathophysiology
Email: eleonora10_45@mail.ru
Russian Federation, 125315, Moscow
T. P. Kazubskaya
Blokhin National Medical Research Center of Oncology
Email: eleonora10_45@mail.ru
Russian Federation, 115522, Moscow
D. N. Kushlinsky
Blokhin National Medical Research Center of Oncology
Email: eleonora10_45@mail.ru
Russian Federation, 115522, Moscow
V. I. Loginov
Research Institute of General Pathology and Pathophysiology
Email: eleonora10_45@mail.ru
Russian Federation, 125315, Moscow
M. V. Fridman
Vavilov Institute of General Genetics, Russian Academy of Sciences
Email: eleonora10_45@mail.ru
Russian Federation, 119991, Moscow
A. M. Burdenny
Research Institute of General Pathology and Pathophysiology
Email: burdennyy@gmail.com
Russian Federation, 125315, Moscow
N. E. Kushlinsky
Blokhin National Medical Research Center of Oncology
Email: eleonora10_45@mail.ru
Russian Federation, 115522, Moscow
References
- Sideris, M., Menon, U., and Manchanda, R. (2024) Screening and prevention of ovarian cancer, Med. J. Aust., 220, 264-274, https://doi.org/10.5694/mja2.52227.
- Каприн А. Д., Старинский В. В., Шахзадова А. О. (2022) Злокачественные новообразования в России в 2021 году (заболеваемость и смертность), МНИОИ им. П.А. Герцена – филиал ФГБУ «НМИЦ радиологии» Минздрава России, Москва, 252 с.
- Braga, E. A, Fridman, M. V., and Kushlinskii, N. E. (2017) Molecular mechanisms of ovarian carcinoma metastasis: key genes and regulatory microRNAs, Biochemistry (Moscow), 82, 529-541, https://doi.org/10.1134/S0006297917050017.
- Dawson, M. A., and Kouzarides, T. (2012) Cancer epigenetics: from mechanism to therapy, Cell, 150, 12-27, https://doi.org/10.1016/j.cell.2012.06.013.
- Hanahan, D. (2022) Hallmarks of cancer: new dimensions, Cancer Discov., 12, 31-46, https://doi.org/10.1158/2159-8290.CD-21-1059.
- Salmena, L., Poliseno, L., Tay, Y., Kats, L., and Pandolfi, P. P. (2018) A ceRNA hypothesis: the Rosetta Stone of a hidden RNA language, Cell, 146, 353-358, https://doi.org/10.1016/j.cell.2011.07.014.
- Braga, E., A., Fridman, M., V., Moscovtsev, A., A., Filippova, E., A., Dmitriev, A. A., and Kushlinskii, N. E. (2020) LncRNAs in ovarian cancer progression, metastasis, and main pathways: ceRNA and alternative mechanisms, Int. J. Mol. Sci., 21, 8855, https://doi.org/10.3390/ijms21228855.
- Monziani, A., and Ulitsky, I. (2023) Noncoding snoRNA host genes are a distinct subclass of long noncoding RNAs, Trends Genet., 39, 908-923, https://doi.org/10.1016/j.tig.2023.09.001.
- Xiao, H., Feng, X., Liu, M., Gong, H., and Zhou, X. (2023) SnoRNA and lncSNHG: advances of nucleolar small RNA host gene transcripts in anti-tumor immunity, Front. Immunol., 14, 1143980, https://doi.org/10.3389/ fimmu.2023.1143980.
- Zheng, H., Wang, G., Wang, Y., Liu, J., Ma, G., and Du, J. (2023) Systematic analysis reveals a pan-cancer SNHG family signature predicting prognosis and immunotherapy response, iScience, 26, 108055, https://doi.org/10.1016/ j.isci.2023.108055.
- Van Dam, S., Võsa, U., van der Graaf, A., Franke, L., and de Magalhães, J. P. (2018) Gene co-expression analysis for functional classification and gene-disease predictions, Brief Bioinform., 19, 575-592, https://doi.org/10.1093/bib/bbw139.
- Burdennyy, A. M., Filippova, E. A., Lukina, S. S., Ivanova, N. A., Pronina, I. V., Loginov, V. I., Kazubskaya, T. P., Kushlinskii, N. E., and Braga, E. A. (2023) DNA methylation of a group of long non-coding RNA genes at different stages of ovarian cancer dissemination, Bull. Exp. Biol. Med., 176, 495-500, https://doi.org/10.1007/s10517024-06054-7.
- Burdennyy, A. M., Lukina, S. S., Uroshlev, L. A., Filippova, E. A., Pronina, I. V., Fridman, M. V., Zhordaniya, K. I., Kazubskaya, T. P., Kushlinskii, N. E., Loginov, V. I., and Braga, E. A. (2024) Hypermethylation in ovarian cancer of long noncoding RNA genes: HOTAIR, GAS5, LINC00472, LINC00886, TUG1, Russ. J. Genet., 60, 665-675, https://doi.org/10.1134/S1022795424700029.
- Lukina, S. S., Burdennyy, A. M., Filippova, E. A., Uroshlev, L. A., Pronina, I. V., Ivanova, N. A., Fridman, M. V., Zhordania, K. I., Kazubskaya, T. P., Kushlinskii, N. E., Loginov, V. I., and Braga, E. A. (2024) Methylation of long noncoding RNA genes SNHG6, SNHG12, and TINCR in ovarian cancer, Mol. Biol., 58, 429-438, https://doi.org/ 10.1134/S0026893324700067.
- Dong, Q., Long, X., Cheng, J., Wang, W., Tian, Q., and Di, W. (2021) LncRNA GAS5 suppresses ovarian cancer progression by targeting the miR-96-5p/PTEN axis, Ann. Transl. Med., 9, 1770, https://doi.org/10.21037/ atm-21-6134.
- Brierley, J. D., Gospodarowicz, M. K., and Wittekind, C. (2017) The TNM Classification of Malignant Tumours, 8th Edn., Wiley-Blackwell, Oxford, p. 272.
- Pronina, I. V., Loginov, V. I., Burdennyy, A. M., Fridman, M. V., Senchenko, V. N., Kazubskaya, T. P., Kushlinskii, N. E., Dmitriev, A. A., and Braga, E. A. (2017) DNA methylation contributes to deregulation of 12 cancer-associated microRNAs and breast cancer progression, Gene, 604, 1-8, https://doi.org/10.1016/j.gene.2016.12.018.
- Livak, K. J., and Schmittgen, T. D. (2001) Analysis of relative gene expression data using real-time quantitative PCR and the 2(-Delta Delta C(T)) method, Methods, 25, 402-408, https://doi.org/10.1006/meth. 2001.1262.
- Tang, Z., Kang, B., Li, C., Chen, T., and Zhang, Z. (2019) GEPIA2: an enhanced web server for large-scale expression profiling and interactive analysis, Nucleic Acids Res., 47, W556-W560, https://doi.org/10.1093/ nar/gkz430.
- Smith, T. F., and Waterman, M. S. (1981) Identification of common molecular subsequences, J. Mol. Biol., 147, 195-197, https://doi.org/10.1016/0022-2836(81)90087-5.
- Kolberg, L., Raudvere, U., Kuzmin, I., Adler, P., Vilo, J., and Peterson, H. (2023) g:Profiler-interoperable web service for functional enrichment analysis and gene identifier mapping (2023 update), Nucleic Acids Res., 51, W207-W212, https://doi.org/10.1093/nar/gkad347.
- Wu, G., Hao, C., Qi, X., Nie, J., Zhou, W., Huang, J., and He, Q. (2020) LncRNA SNHG17 aggravated prostate cancer progression through regulating its homolog SNORA71B via a positive feedback loop, Cell Death Dis., 11, 393, https://doi.org/10.1038/s41419-020-2569-y.
- Fossum, S. L., Mutolo, M. J., Tugores, A., Ghosh, S., Randell, S. H., Jones, L. C., Leir, S. H., and Harris, A. (2017) Ets homologous factor (EHF) has critical roles in epithelial dysfunction in airway disease, J. Biol. Chem., 292, 10938-10949, https://doi.org/10.1074/jbc.M117.775304.
- Sizemore, G. M., Pitarresi, J. R., Balakrishnan, S., and Ostrowski, M. C. (2017) The ETS family of oncogenic transcription factors in solid tumours, Nat. Rev. Cancer, 17, 337-351, https://doi.org/10.1038/nrc.2017.20.
- Hosea, R., Hillary, S., Wu, S., and Kasim, V. (2023) Targeting transcription factor YY1 for cancer treatment: current strategies and future directions, Cancers (Basel), 15, 3506, https://doi.org/10.3390/cancers15133506.
- Wen, N., Zhang, J., and Zhang, Q. (2022) MiR-494 inhibits the proliferation, migration and invasion of cervical cancer cells by regulating LETMD1, Cell Mol. Biol., 67, 81-87, https://doi.org/10.14715/cmb/2021.67.5.11.
- Ramirez-Peña, E., Arnold, J., Shivakumar, V., Joseph, R., Vidhya Vijay, G., den Hollander, P., Bhangre, N., Allegakoen, P., Prasad, R., Conley, Z., Matés, J. M., Márquez, J., Chang, J. T., Vasaikar, S., Soundararajan, R., Sreekumar, A., and Mani, S. A. (2019) The epithelial to mesenchymal transition promotes glutamine independence by suppressing GLS2 expression, Cancers (Basel), 11, 1610, https://doi.org/10.3390/cancers11101610.
- Ke, B., Ye, K., and Cheng, S. (2020) ALKBH2 inhibition alleviates malignancy in colorectal cancer by regulating BMI1-mediated activation of NF-κB pathway, World J. Surg. Oncol., 18, 328, https://doi.org/10.1186/s12957020-02106-0.
- Zhao, J., Wang, X., Zhu, H., Wei, S., Zhang, H., Ma, L., and He, P. (2022) Integrative analysis of bulk RNA-Seq and single-cell RNA-seq unveils novel prognostic biomarkers in multiple myeloma, Biomolecules, 12, 1855, https://doi.org/10.3390/biom12121855.
- Wu, N., Wei, J., Wang, Y., Yan, J., Qin, Y., Tong, D., Pang, B., Sun, D., Sun, H., Yu, Y., Sun, W., Meng, X., Zhang, C., Bai, J., Chen, F., Geng, J., Lee, K. Y., Fu, S., and Jin, Y. (2015) Ribosomal L22-like1 (RPL22L1) Promotes ovarian cancer metastasis by inducing epithelial-to-mesenchymal transition, PLoS One, 10, e0143659, https://doi.org/ 10.1371/journal.pone.0143659.
- Williams, G. T., and Farzaneh, F. (2012) Are snoRNAs and snoRNA host genes new players in cancer? Nat. Rev. Cancer, 12, 84-88, https://doi.org/10.1038/nrc3195.
- Huo, M., Rai, S. K., Nakatsu, K., Deng, Y., and Jijiwa, M. (2024) Subverting the canon: novel cancer-promoting functions and mechanisms for snoRNAs, Int. J. Mol. Sci., 25, 2923, https://doi.org/10.3390/ijms25052923.
- Akulenko, R., and Helms, V. (2013) DNA co-methylation analysis suggests novel functional associations between gene pairs in breast cancer samples, Hum. Mol. Genet., 22, 3016-3022, https://doi.org/10.1093/ hmg/ddt158.
- Sun, S., Dammann, J., Lai, P., and Tian, C. (2022) Thorough statistical analyses of breast cancer co-methylation patterns, BMC Genom. Data, 23, 29, https://doi.org/10.1186/s12863-022-01046-w.
- Lukina, S. S., Burdennyy, A. M., Filippova, E. A., Pronina, I. V., Ivanova, N. A., Kazubskaya, T. P., Kushlinskii, D. N., Utkin, D. O., Loginov, V. I., Braga, E. A., and Kushlinskii, N. E. (2022) Synergy between the levels of methylation of microRNA gene sets in primary tumors and metastases of ovarian cancer patients, Bull. Exp. Biol. Med., 173, 87-91, https://doi.org/10.1007/s10517-022-05499-y.
- Huldani, H., Gandla, K., Asiri, M., Romero-Parra, R. M., Alsalamy, A., Hjazi, A., Najm, M. A. A., Fawaz, A., Hussien, B. M., and Singh, R. (2023) A comprehensive insight into the role of small nucleolar RNAs (snoRNAs) and SNHGs in human cancers, Pathol. Res. Pract., 249, 154679, https://doi.org/10.1016/j.prp.2023.154679.
- Montanaro, L., Treré, D., and Derenzini, M. (2008) Nucleolus, ribosomes, and cancer, Am. J. Pathol., 173, 301-310, https://doi.org/10.2353/ajpath.2008.070752.
- Pelletier, J., Thomas, G., and Volarević, S. (2018) Ribosome biogenesis in cancer: new players and therapeutic avenues, Nat. Rev. Cancer, 18, 51-63, https://doi.org/10.1038/nrc.2017.104.
- Turi, Z., Lacey, M., Mistrik, M., and Moudry, P. (2019) Impaired ribosome biogenesis: mechanisms and relevance to cancer and aging, Aging (Albany NY), 11, 2512-2540, https://doi.org/10.18632/aging.101922.
- Barros-Silva, D., Klavert, J., Jenster, G., Jerónimo, C., Lafontaine, D. L. J., and Martens-Uzunova, E. S. (2021) The role of OncoSnoRNAs and ribosomal RNA 2′-O-methylation in cancer, RNA Biol., 18 (Sup. 1), 61-74, https://doi.org/10.1080/15476286.2021.1991167.
- Tanaka, R., Satoh, H., Moriyama, M., Satoh, K., Morishita, Y., Yoshida, S., Watanabe, T., Nakamura, Y., and Mori, S. (2000) Intronic U50 small-nucleolar-RNA (snoRNA) host gene of no protein-coding potential is mapped at the chromosome breakpoint t(3;6)(q27;q15) of human B-cell lymphoma, Genes Cells, 5, 277-287, https://doi.org/10.1046/j.1365-2443.2000.00325.x.
- Matveeva, A., Vinogradov, D., Zhuravlev, E., Semenov, D., Vlassov, V., and Stepanov, G. (2023) Intron editing reveals SNORD-dependent maturation of the small nucleolar RNA host gene GAS5 in human cells, Int. J. Mol. Sci., 24, 17621, https://doi.org/10.3390/ijms242417621.
- Popławski, P., Bogusławska, J., Hanusek, K., and Piekiełko-Witkowska, A. (2021) Nucleolar proteins and non-coding RNAs: roles in renal cancer, Int. J. Mol. Sci., 22, 13126, https://doi.org/10.3390/ijms222313126.
- Toraih, E. A., Alghamdi, S. A., El-Wazir, A., Hosny, M. M., Hussein, M. H., Khashana, M. S., and Fawzy, M. S. (2018) Dual biomarkers long non-coding RNA GAS5 and microRNA-34a co-expression signature in common solid tumors, PLoS One, 13, e0198231, https://doi.org/10.1371/journal.pone.0198231.
- Filippova, J. A., Matveeva, A. M., Zhuravlev, E. S., Balakhonova, E. A., Prokhorova, D. V., Malanin, S. J., Shah Mahmud, R., Grigoryeva, T. V., Anufrieva, K. S., Semenov, D. V., Vlassov, V. V., and Stepanov, G. A. (2019) Are small nucleolar RNAs “CRISPRable”? A report on box C/D Small nucleolar RNA editing in human cells, Front. Pharmacol., 10, 1246, https://doi.org/10.3389/fphar.2019.01246.
- Xu, Y., Bao, Y., Qiu, G., Ye, H., He, M., and Wei, X. (2023) METTL3 promotes proliferation and migration of colorectal cancer cells by increasing SNHG1 stability, Mol. Med. Rep., 28, 217, https://doi.org/10.3892/ mmr.2023.13104.
- Gandhi, S., Bhushan, A., Shukla, U., Pundir, A., Singh, S., and Srivastava, T. (2023) Downregulation of lncRNA SNHG1 in hypoxia and stem cells is associated with poor disease prognosis in gliomas, Cell Cycle, 22, 1135-1153, https://doi.org/10.1080/15384101.2023.2191411.
- Zhen, N., Zhu, J., Mao, S., Zhang, Q., Gu, S., Ma, J., Zhang, Y., Yin, M., Li, H., Huang, N., Wu, H., Sun, F., Ying, B., Zhou, L., and Pan, Q. (2023) Alternative splicing of lncRNAs from SNHG family alters snoRNA expression and induces chemoresistance in hepatoblastoma, Cell. Mol. Gastroenterol. Hepatol., 16, 735-755, https://doi.org/10.1016/ j.jcmgh.2023.07.007.
- Jafari-Oliayi, A., and Dabiri, S. (2022) SNHG6 203 RNA may be involved in the cell cycle progression in HER2-negative breast cancer cells, Iran. J. Pathol., 17, 251-260, https://doi.org/10.30699/IJP.2022.525346.2607.
- Yan, Y., Chen, Z., Xiao, Y., Wang, X., Qian, K. (2019) Long non-coding RNA SNHG6 is upregulated in prostate cancer and predicts poor prognosis, Mol. Biol. Rep., 46, 2771-2778, https://doi.org/10.1007/s11033019-04723-9.
- Birgani, M. T., Hajjari, M., Shahrisa, A., Khoshnevisan, A., Shoja, Z., Motahari, P., and Farhangi, B. (2018) Long non-coding RNA SNHG6 as a potential biomarker for hepatocellular carcinoma, Pathol. Oncol. Res., 24, 329-337, https://doi.org/10.1007/s12253-017-0241-3.
- Yao, X., Lan, Z., Lai, Q., Li, A., Liu, S., and Wang, X. (2020) LncRNA SNHG6 plays an oncogenic role in colorectal cancer and can be used as a prognostic biomarker for solid tumors, J. Cell Physiol., 235, 7620-7634, https:// doi.org/10.1002/jcp.29672.
- Heiman, M., Kulicke, R., Fenster, R. J., Greengard, P., and Heintz, N. (2014) Cell type-specific mRNA purification by translating ribosome affinity purification (TRAP), Nat. Protoc., 9, 1282-1291, https://doi.org/10.1038/nprot.2014.085.
- Rizavi, H. S., Gavin, H. E., Krishnan, H. R., Gavin, D. P., and Sharma, R. P. (2023) Ethanol- and PARP-mediated regulation of ribosome-associated long non-coding RNA (lncRNA) in pyramidal neurons, Noncoding RNA, 9, 72, https://doi.org/10.3390/ncrna9060072.
- Dubois, F., Keller, M., Calvayrac, O., Soncin, F., Hoa, L., Hergovich, A., Parrini, M. C., Mazières, J., Vaisse-Lesteven, M., Camonis, J., Levallet, G., and Zalcman, G. (2016) RASSF1A suppresses the invasion and metastatic potential of human non-small cell lung cancer cells by inhibiting YAP activation through the GEF-H1/RhoB pathway, Cancer Res., 76, 1627-1640, https://doi.org/10.1158/0008-5472.CAN-15-1008.
- Bin, Y., Deng, W., Hu, H., Zeng, Q., Chen, J., Xu, Y., Dai, Y., Liao, A., and Xiao, W. (2023) RASSF1A inhibits epithelial-mesenchymal transition of gastric cancer cells by downregulating P-JNK, Cell Biol. Int., 47, 573-583, https://doi.org/10.1002/cbin.11958.
- Zhang, J., Wen, X., Ren, X. Y., Li, Y. Q., Tang, X. R., Wang, Y. Q., He, Q. M., Yang, X. J., Sun, Y., Liu, N., and Ma, J. (2016) YPEL3 suppresses epithelial-mesenchymal transition and metastasis of nasopharyngeal carcinoma cells through the Wnt/β-catenin signaling pathway, J. Exp. Clin. Cancer Res., 35, 109, https://doi.org/10.1186/s13046-016-0384-1.
- Kwon, Y., Lee, H., Park, H., Lee, B., Kwon, T. U., Kwon, Y. J., and Chun, Y. J. (2023) YPEL3 expression induces cellular senescence via the Hippo signaling pathway in human breast cancer cells, Toxicol. Res., 39, 711-719, https://doi.org/10.1007/s43188-023-00208-x.
- Cordenonsi, M., Zanconato, F., Azzolin, L., Forcato, M., Rosato, A., Frasson, C., Inui, M., Montagner, M., Parenti, A. R., Poletti, A., Daidone, M. G., Dupont, S., Basso, G., Bicciato, S., and Piccolo, S. (2011) The Hippo transducer TAZ confers cancer stem cell-related traits on breast cancer cells, Cell, 147, 759-772, https://doi.org/10.1016/ j.cell.2011.09.048.
- Santoro, R., Zanotto, M., Carbone, C., Piro, G., Tortora, G., and Melisi, D. (2018) MEKK3 sustains EMT and stemness in pancreatic cancer by regulating YAP and TAZ transcriptional activity, Anticancer Res., 38, 1937-1946, https://doi.org/10.21873/anticanres.12431.
Supplementary files










