Femtosecond Dynamics of an Excited Primary Electron Donor in Reaction Centers of the Purple Bacterium Rhodobacter sphaeroides
- Authors: Khristin A.M.1, Fufina T.Y.1, Khatypov R.A.1
-
Affiliations:
- Pushchino Scientific Center for Biological Research of the Russian Academy of Sciences
- Issue: Vol 89, No 7 (2024)
- Pages: 1263-1275
- Section: Articles
- URL: https://bakhtiniada.ru/0320-9725/article/view/276377
- DOI: https://doi.org/10.31857/S0320972524070091
- EDN: https://elibrary.ru/WMOYCT
- ID: 276377
Cite item
Full Text
Abstract
Femtosecond transient absorption spectroscopy spectroscopy was used to study the dynamics of the excited primary electron donor in the reaction centers of the purple bacterium Rhodobacter sphaeroides. Using global analysis and the interval method, a correlation was found between the vibrational coherence damping of the excited primary electron donor and the lifetime of the charge-separated state P+BA–, indicating the reversibility of electron transfer to the primary electron acceptor, the BA molecule. In the reaction centers, signs of superposition of two electronic states of P were found for a delay time of less than 200 fs. It is suggested that the admixture value of charge transfer state PA+PB– with the excited primary electron donor P* is about 24%. The results obtained are discussed in terms of the two-step electron transfer mechanism.
Full Text
Принятые сокращения: РЦ – реакционный центр; ВА – мономерный бактериохлорофилл а в активной цепи кофакторов переноса электрона; DADS – дифференциальные спектры поглощения, связанные с экспоненциальным затуханием; НА – бактериофеофитин а; Р – специальная пара бактериохлорофиллов РА (РL) и РВ (РM), которая является первичным донором электрона; Р* – возбужденный первичный донор электрона; Р−* – нижний экситонный уровень возбужденного первичного донора электрона; PA+PB− – состояние с переносом заряда; P+BA− и P+HA− – состояния с разделенными зарядами; Rba. – Rhodobacter.
ВВЕДЕНИЕ
Несмотря на то, что фотохимические реакции в реакционном центре (РЦ) исследуются уже несколько десятилетий, предметом дискуссий являются факторы, определяющие предельно высокую эффективность процесса разделения зарядов. В РЦ пурпурной бактерии Rhodobacter (Rba.) sphaeroides первичным донором электрона Р является димер сильно взаимодействующих между собой молекул бактериохлорофилла, РA и РB. При поглощении кванта света первичный донор электрона фотоокисляется и передает электрон на молекулу мономерного бактериохлорофилла а (BA), а затем на молекулу бактериофеофитина а (НA). Существует единое мнение, что молекула BA непосредственно участвует в переносе электрона на НA [1–6], однако не исключается, что перенос электрона может также осуществляться и по механизму суперобмена [7]. В последнее время появляется все больше фактов, что к возбужденному первичному донору электрона может примешиваться состояние с переносом заряда РА+РB−, и это состояние вовлечено в процесс переноса электрона на молекулу BA [8–12]. Недавно на основе данных, полученных методом двумерной спектроскопии, было обнаружено, что электронная когерентность связывает возбужденное состояние Р* и состояние с переносом заряда РА+РB−, а колебательная когерентность способствует стабилизации состояния с разделенными зарядами Р+BA−, и оба вида когерентности обеспечивают высокую квантовую эффективность разделения зарядов в РЦ [13–16]. Ранее методом спектроскопии Штарка были обнаружены признаки диполя РА+РB− в основном состоянии первичного донора электрона [17, 18]. В возбужденном состоянии Р* признаки частичного разделения зарядов РАδ+РBδ− были обнаружены методом возбуждения–зондирования [8, 9]. Образование состояния с переносом заряда объясняют процессами электронно-колебательной релаксации в первичном доноре электрона, которые приводят к сдвигу стимулированного излучения [19–21]. Возможность существования состояния с переносом заряда была показана теоретически. В частности, было высказано предположение, что при возбуждении первичного донора электрона происходит сдвиг электронной плотности от молекулы РA к РB, а уровень энергии состояния с переносом заряда РА+РB− примешивается к экситонным уровням Р* [22–24]. Как известно, при возбуждении первичного донора электрона Р импульсами света длительностью менее 30 фс в кинетике стимулированного излучения наблюдаются осцилляции, которые связаны с когерентным движением ядерной системы в первичном доноре электрона Р* [25–27]. Теоретическое моделирование осцилляций показало, что в процессе разделения зарядов в РЦ функциональными являются моды 130 см−1 и 30 см−1 [28–31]. Квантово-механические вычисления показали, что свидетельством образования промежуточного состояния с переносом заряда РА+РB− может являться дефазировка низкочастотных колебательных мод, проявляющихся в осцилляциях стимулированного излучения [11]. Кроме того, на формирование состояния с переносом заряда существенное влияние оказывает экситонное взаимодействие между молекулами РA и РB [11]. Как известно, в результате экситонного взаимодействия происходит расщепление QY оптического перехода первичного донора электрона на нижний (P−*) и верхний (P+*) экситонные уровни. При криогенных температурах максимум QY-полосы поглощения P смещается от 870 нм до 900 нм. Одним из объяснений сдвига длинноволновой полосы поглощения P при понижении температуры является предположение, что состояние с переносом заряда расположено выше нижнего экситонного уровня на шкале энергии [32]. Положение уровня энергии верхнего экситонного уровня P+* остается предметом исследований, и по разным данным он находится либо в области 790 нм [33], либо 810–815 нм [34–36], либо при 840 нм [37].
В данной работе с целью получения новой информации о последовательности сверхбыстрых стадий разделения зарядов в РЦ пурпурной бактерии Rba. sphaeroides проведены исследования спектральных и кинетических свойств возбужденного первичного донора электрона при селективном возбуждении первичного донора импульсами света длительностью 25 фс. Для визуализации кинетики сильно перекрывающихся спектральных полос в дифференциальных спектрах поглощения мы использовали метод интервалов. В реакционных центрах с открытым и заблокированным переносом электрона исследовали поглощение из возбужденного состояния первичного донора электрона. В качестве РЦ с открытым переносом электрона использовали РЦ дикого типа Rba. sphaeroides, а с заблокированным переносом электрона – мутант М160LH + L131LH + М197FH, в котором в криогенных условиях полностью блокируется перенос электрона на ближайшие акцепторы – BA и HA [38, 39].
МАТЕРИАЛЫ И МЕТОДЫ
Приготовление образца. Конструирование рекомбинантного штамма Rba. sphaeroides, содержащего мутантные РЦ с аминокислотными заменами в положениях М160LH + L131LH + М197FH было описано в работе Хмельницкого и др. [40]. Реакционные центры Rba. sphaeroides дикого типа и мутанта выделяли согласно описанной ранее методике [41]. Для измерений при физиологических температурах РЦ были суспендированы в буфере, содержащем 20 мМ Tris-HCl (pH 8,0) и 0,1% Triton X-100, и сконцентрированы до поглощения 0,5 при 870 нм (длина оптического пути – 1 мм). Для измерений в криогенных условиях образец смешивали с глицерином (60%, v/v), помещали в криостат («Specac», Великобритания) и замораживали до 100 К. Спектры поглощения реакционных центров (рис. П1 в Приложении) измеряли на спектрофотометре UV1800 («Shimadzu», Япония).
Дифференциальная абсорбционная спектроскопия. Фемтосекундные дифференциальные спектры поглощения получали с использованием спектрометра, работающего по методу накачки–зондирования. Титан-сапфировый лазер MaiTai SP («Spectra-Physics», США) использовали для генерации импульсов длительностью ~25 фс при длине волны 800 нм и частоте повторения 84 МГц. Импульсы генератора поступали в оптический регенеративный усилитель Spitfire Ace («Spectra-Physics»), на выходе которого получали ~35-фс импульсы на длине волны 800 нм с энергией ~3 мДж и частотой повторения 10 Гц. Часть энергии импульса (~750 мкДж) использовали для накачки коллинеарного оптического параметрического усилителя OPA800CF («Spectra-Physics»), перестраиваемого в диапазоне длин волн 1100–2900 нм. Частоту параметрических холостых импульсов удваивали на нелинейном кристалле и получали излучение на длине волны 870 нм (890 нм) с шириной на половине высоты ~55 нм для селективного возбуждения первичного донора электрона в реакционных центрах Rba. sphaeroides (рис. П1 в Приложении). Дисперсию групповой скорости параметрического импульса компенсировали с помощью двух призм LakL21 («Newport», США). Длительность сжатого возбуждающего импульса не превышала 25 фс. Энергия импульса возбуждения составляла ~10 мкДж. Импульсы возбуждения ослабляли и фокусировали на кювету с образцом так, чтобы возбуждать не более 10% первичного донора электрона. Каждый второй возбуждающий импульс блокировали синхронным механическим затвором SR 475 («Stanford Research Systems», США). Поляризацию возбуждающего импульса устанавливали параллельно по отношению к импульсу зондирующему. В канале зондирования малую долю импульса фундаментальной частоты (~1 мкДж) направляли на подвижный ретрорефлектор на платформе M531.DD («Physik Instrumente», Германия), регулирующий задержку времени между импульсами возбуждения и зондирования, и использовали для генерации суперконтинуума на воде в кварцевой кювете толщиной 5 мм. С помощью светофильтра ИКС1 выделяли спектральную область от 750 до 1100 нм. Полученный спектрально широкий импульс делили на зондирующий и опорный импульсы. Оба импульса вогнутым зеркалом фокусировали на вращающуюся кварцевую кювету с образцом. Длина оптического пути кюветы составляла 1 мм. Далее зондирующий и опорный импульсы направляли на входную щель спектрографа Spectra Pro 2300i («Acton Research», США), и спектры излучения регистрировали ПЗС-камерой Pixis 400BR («Princeton Instruments», США). Для повышения соотношения сигнал/шум проводили накопление 500 измерений спектров излучения зондирующего и опорного импульсов на каждой задержке времени. Спектры излучения зондирующего и опорного импульсов использовали для вычисления дифференциальных спектров поглощения (рис. П2 в Приложении). В отдельном эксперименте определяли дисперсию групповой скорости зондирующего импульса по сигналу нерезонансного отклика буферного раствора. В диапазоне длин волн от 870 до 940 нм временная дисперсия составляла порядка ~50 фс. С такой величиной дисперсии длительность зондирующего импульса на отдельной длине волны не превышала 25 фс и позволяла исследовать осцилляции стимулированного излучения, что согласуется с работой итальянских исследователей [42]. Для вычисления дважды дифференциальных спектров исходные дифференциальные спектры поглощения корректировали на величину дисперсии групповой скорости. Весь массив дифференциальных спектров поглощения аппроксимировали суммой экспонент с характерными амплитудами и временами жизни и получали дифференциальные спектры поглощения, связанные с экспоненциальным затуханием (decay-associated difference spectra, DADS) [43], используя программу Glotaran [44].
Метод интервалов. Кинетику отдельных полос в дифференциальных спектрах поглощения строили по методу интервалов [45]. На каждой задержке времени амплитуду полосы поглощения рассчитывали по формуле:
, (1)
где ∆Аm – изменения поглощения в максимуме полосы, ∆Аm−δ и ∆Аm+δ – изменения поглощения в равноудаленных от максимума точках спектра, δ – величина смещения от максимума полосы. Кинетику полосы поглощения получали, применяя указанную выше формулу к исходным дифференциальным спектрам поглощения на всех задержках времени. Зависимость построенной таким образом амплитуды полосы поглощения от времени отличается от кинетики изменений поглощения на фиксированной длине волны тем, что она преимущественно принадлежит исследуемой полосе поглощения и в значительно меньшей степени содержит вклад соседних спектральных компонентов. Полученные кинетические кривые изменений поглощения сдвигали на шкале времени на величину дисперсии зондирующего импульса. Очевидно, что этот подход дает хороший результат при исследовании спектрально узких полос, например полосы поглощения анион-радикала BA− при 1020 нм или QX-полосы поглощения молекулы HA− при 545 нм [45], и менее эффективен для перекрывающихся полос большой спектральной ширины.
РЕЗУЛЬТАТЫ И ОБСУЖДЕНИЕ
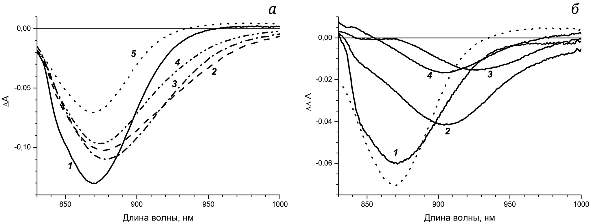
Исследование стимулированного излучения возбужденного первичного донора электрона в РЦ Rba. sphaeroides. На рис. 1, а представлены дифференциальные спектры поглощения, измеренные в ближней инфракрасной области спектра на выбранных задержках времени при селективном возбуждении первичного донора электрона импульсами света длительностью ~25 фс. На задержке времени 40 фс выцветание длинноволновой полосы поглощения первичного донора электрона достигает максимального значения. В дифференциальном спектре поглощения на этой задержке времени наблюдается отрицательная полоса с максимумом при 870 нм, обусловленная выцветанием полосы поглощения Р870 и стимулированным излучением из возбужденного состояния (рис. 1, а; кривая 1). К задержке времени 180 фс стимулированное излучение смещается из максимума поглощения первичного донора в длинноволновую область спектра (рис. 1, а; кривая 2). При увеличении времени задержки до 300 фс происходит смещение стимулированного излучения в коротковолновую область, связанное с обратимыми осцилляциями (рис. 1, а; кривые 2 и 3), которые затухают к задержке времени ~1,5 пс (рис. 1, а; кривая 4). На задержке времени 210 пс в дифференциальном спектре поглощения стимулированное излучение полностью отсутствует (рис. 1, а; кривая 5). Таким образом, из рис. 1, а видно, что с течением времени стимулированное излучение смещается на шкале длин волн.
Рис. 1. Дифференциальные спектры поглощения РЦ Rba. Sphaeroides (а) на задержках времени 40 фс (кривая 1), 180 фс (кривая 2), 300 фс (кривая 3), 1,5 пс (кривая 4) и 210 пс (кривая 5), измеренные при температуре 293 К. б – Дважды дифференциальные спектры поглощения, полученные вычитанием спектров на задержках времени: 40 фс минус 210 пс (кривая 1), 1,5 пс минус 210 пс (кривая 2), 180 фс минус 1,5 пс (кривая 3) и 300 фс минус 1,5 пс (кривая 4); пунктиром показан спектр ∆А, измеренный на задержке времени 210 пс
Для того чтобы найти положение максимума стимулированного излучения на разных задержках времени мы построили дважды дифференциальные спектры поглощения (рис. 1, б). Так, на задержке времени 40 фс в дважды дифференциальном спектре, полученном вычитанием дифференциального спектра, измеренного на задержке времени 210 пс, из спектра, измеренного на задержке времени 40 фс, наблюдается стимулированное излучение, совпадающее с длинноволновой полосой поглощения P870 (рис. 1, б; кривая 1). Очевидно, что на задержке времени ~40 фс стимулированное излучение локализовано в максимуме полосы поглощения Р, поскольку первичный донор электрона селективно возбуждался импульсами света, спектр излучения которых практически совпадал с полосой поглощения Р (рис. 1, б (пунктир); рис. П1 в Приложении). Максимум не осциллирующего стимулированного излучения можно наблюдать в дважды дифференциальном спектре, полученном вычитанием дифференциального спектра поглощения, измеренного на задержке времени 210 пс, из дифференциального спектра на задержке времени 1,5 пс (рис. 1, б; кривая 2). Как видно из рис. 1, максимум этого излучения находится в области ~915 нм и совпадает с максимумом спонтанной флуоресценции [46]. Осциллирующие компоненты стимулированного излучения проявляются в дважды дифференциальных спектрах, полученных вычитанием дифференциального спектра, измеренного на задержке времени 1,5 пс, из дифференциальных спектров, измеренных на задержках времени 180 фс и 300 фс. Из сопоставления переходных спектров на задержках времени 180 и 300 фс, представленных на рис. 1, а (кривые 2 и 3), можно заметить, что максимальные изменения стимулированного излучения наблюдаются на длинах волн 885 нм и 960 нм. Однако из дважды дифференциальных спектров поглощения (рис. 1, б; кривые 3 и 4) видно, что стимулированное излучение на задержке времени 180 фс и на задержке времени 300 фс в силу большой ширины различается на этих длинах волн, но имеет максимум излучения при 940 нм или 905 нм соответственно. Можно предположить, что максимум стимулированного излучения в результате колебательной релаксации обратимо смещается на шкале длин волн в области 905–940 нм и после нескольких периодов модуляций локализуется в области 915 нм. Однако при разложении дифференциального спектра поглощения на сумму гауссовых полос на отдельных задержках времени стимулированное излучение не описывается одной гауссовой функцией. Так, на задержке времени 180 фс наблюдается одновременно и излучение при 915 нм, и излучение при 940 нм (рис. П3 в Приложении). Стимулированное излучение при 940 нм особенно хорошо выражено в виде отчетливого плеча на длинноволновом склоне полосы Р в дифференциальных спектрах поглощения, измеренных при криогенных температурах (рис. П2 в Приложении). Представленные на рис. 1 спектры позволяют заключить, что стимулированное излучение отражает как некогерентную, так и когерентную динамику возбужденного первичного донора электрона. Максимум стимулированного излучения наблюдается при 915 нм, а излучение при 905 и 940 нм проявляется в виде сателлитов основного излучения, возникающих вследствие либо частотной, либо амплитудной модуляции.
Кинетические кривые стимулированного излучения, полученные методом интервалов. Для того чтобы визуализировать кинетику полос стимулированного излучения мы использовали метод интервалов. В стационарном спектре поглощения длинноволновая полоса поглощения первичного донора электрона при 870 нм имеет ширину на половине высоты ~60 нм. Мы построили кинетическую кривую отрицательной полосы с максимумом при 870 нм на интервале длин волн от 840 до 900 нм (рис. 2, а). Представленная на рис. 2, а кинетика обусловлена как выцветанием полосы поглощения первичного донора электрона, так и стимулированным излучением, локализованным в максимуме поглощения Р, которое удваивает амплитуду выцветания. Стимулированное излучение спадает с константой времени ~60 фс вследствие смещения излучения из максимума поглощения первичного донора в длинноволновую область. В кинетике отрицательной полосы при 870 нм наблюдается лишь одна слабая осцилляция на задержке времени ~300 фс, которая, возможно, является результатом вклада осциллирующего излучения при 905 нм. Наблюдаемое смещение стимулированного излучения из области поглощения Р может быть обусловлено сдвигом Стокса [12, 21, 47] либо образованием состояния с переносом заряда [47].
Рис. 2. Кинетические кривые изменений поглощения при 870 нм (а), при 940 нм (б) и при 915 нм (в) в РЦ Rba. sphaeroides, полученные методом интервалов при температуре 293 К. Вклад стимулированного излучения выделен на рисунке серым цветом. Сплошной линией показана аппроксимация кинетики при 915 нм одной экспонентой. Пунктиром показаны положительные изменения, связанные с вкладом выцветания полосы поглощения первичного донора Р. На вставке представлена кинетическая кривая при 940 нм на шкале времени от -0,5 до 10 пс
Исходя из того, что стимулированное излучение проявляется в дважды дифференциальных спектрах поглощения в виде отрицательных полос, соизмеримых по ширине с полосой поглощения Р (рис. 1, б), мы построили методом интервалов кинетику полос поглощения с максимумами при 940 и 915 нм на интервалах длин волн 910–970 нм и 885–945 нм соответственно (рис. 2, б и в). Следует отметить, что выцветающая полоса поглощения первичного донора электрона, перекрывающаяся со стимулированным излучением и доминирующая по амплитуде, при построении кинетических кривых методом интервалов вносит положительный вклад в области от 900 до 970 нм. Если бы стимулированное излучение при 915 и 940 нм отсутствовало, то наблюдался бы только этот положительный компонент и кинетика его (рис. 2, б и в; пунктир) совпадала бы с кинетикой, приведенной на рис. 2, а. Стимулированное излучение при 915 и 940 нм наблюдается на базе этого положительного компонента. Обращает на себя внимание, что на всех субпикосекундных задержках времени наблюдается как некогерентное стимулированное излучение возбужденного первичного донора электрона при 915 нм, так и когерентное излучение при 940 и 905 нм.
Стимулированное излучение с максимумом при 940 нм, выделенное на рис. 2, б серым цветом, осциллирует с основным периодом ~240 фс. На вставке к рис. 2, б (см. также рис. П4 в Приложении) видно, что стимулированное излучение при 940 нм затухает к задержке времени ~1,5 пс и не содержит 3,5-пс экспоненциального компонента, поскольку кинетическая кривая на задержках времени от 1,5 пс и до десятков пикосекунд не отличается от положительных изменений, обусловленных выцветанием полосы поглощения первичного донора электрона. Исходя из того, что в кинетике при 940 нм осцилляции смещены в отрицательную область поглощения, можно предположить наличие монотонного компонента. Поэтому мы аппроксимировали кинетическую кривую линейной комбинацией затухающих гармонических функций и экспоненциального компонента (сплошная линия на рис. П5 в Приложении) согласно уравнению:
. (2)
Кинетика затухания стимулированного излучения при 940 нм удовлетворительно описывается частотами 136 см−1 и 225 см−1, затухающими с константами времени 280 фс и 190 фс соответственно, и монотонного компонента, который затухает с константой времени 0,9 пс (рис. П5 в Приложении). Осциллирующие составляющие стимулированного излучения при 940 нм и наблюдаемые в противофазе к ним осцилляции при 885 нм (рис. П4, г в Приложении) относительно изобестической точки при 915 нм могут указывать на колебательную когерентность возбужденного первичного донора электрона. Следует отметить, что мода ~136 см−1, найденная в осциллирующей составляющей кинетики 940 нм, доминирует по амплитуде и имеет теоретическое обоснование в литературе, а мода ~225 см−1 не находит однозначного соответствия. Не исключается, что в осцилляциях могут присутствовать и другие моды, однако, вероятно, их амплитуды слишком малы. Функциональное значение моды 136 см−1 обсуждается в ряде теоретических работ [28–31], причем величина этой моды, согласно литературным данным, меняется в диапазоне от 100 до 150 см−1. В частности, методами молекулярной динамики показано, что в основном состоянии первичного донора электрона относительные энергии PA и PB модулируются аксиальным вращением гистидинов L168 и M202 относительно оси Mg-N c частотами ~50 см−1 и 100 см−1, что приводит к температурному уширению длинноволновой полосы поглощения Р [29]. При электронном возбуждении первичного донора электрона вращение гистидина M202 с характерной частотой 100 см−1 выборочно понижает энергию PB, что приводит к однонаправленному смещению электронной плотности от PA к PB и определяет координату реакции, вдоль которой эволюционирует возбужденное состояние. За счет вращения гистидина M202 происходит смещение протона молекулы воды А в сети водородных связей с частотой 30–35 см−1 и усиливается сопряжение между Р и BA [30]. В то же время смещение протона от 3′-ацетила PA в сторону гистидина L168 снижает движущую силу рекомбинации зарядов. С помощью стохастической модели Ланжевена была рассчитана динамика отклика белка в ответ на образование диполя РА+РB− в первичном доноре электрона [31]. В частности, показано, что мода 118 см−1 со временем затухания >1,1 пс связана с колебаниями альфа-спиралей белка при формировании диполя РА+РB−.
Стимулированное излучение с максимумом при 915 нм является доминирующим и, так же как излучение при 940 нм, наблюдается на фоне положительных изменений, обусловленных выцветанием полосы поглощения P870. Это излучение, выделенное на рис. 2 серым цветом, монотонно затухает с константой времени ~3,5 пс (рис. 2, в; сплошная линия). Так как стимулированное излучение с максимумом 915 нм совпадает с максимумом спонтанной флуоресценции возбужденного первичного донора электрона, то это излучение, по всей видимости, происходит с нулевого колебательного подуровня нижнего экситонного уровня возбужденного состояния первичного донора электрона P−*.
Влияние процесса разделения зарядов на колебательную когерентность возбужденного первичного донора электрона. Для выяснения возможного вклада осциллирующего излучения в процесс разделения зарядов мы сопоставили кинетику стимулированного излучения при 940 нм с кинетикой полосы поглощения анион-радикала первичного акцептора электрона BA− при 1025 нм, построенной таким же методом, измеренной в тех же экспериментальных условиях. Из рис. 3, а видно, что при физиологической температуре (293 К) затухание осциллирующего стимулированного излучения при 940 нм совпадает по времени с нарастанием полосы поглощения анион-радикала BA− при 1025 нм (двусторонняя стрелка). Неслучайность такого совпадения подтверждается тем, что в криогенных условиях затухание излучения так же коррелирует с нарастанием полосы поглощения при 1025 нм (рис. 3, б).
Рис. 3. Кинетика стимулированного излучения при 940 нм (открытые символы) и кинетика полосы поглощения анион-радикала BA− при 1025 нм (закрытые символы), измеренные при температуре 293 К (а) и при температуре 100 К (б) в РЦ Rba. sphaeroides. Амплитуда первого пика стимулированного излучения нормирована с максимальным нарастанием полосы поглощения при 1025 нм. Двусторонняя стрелка показывает задержку времени, на которой полное затухание излучения совпадает с полным нарастанием поглощения BA−
Выше было показано (рис. 2, б), что кинетика затухания излучения при 940 нм аппроксимируется затухающими модами 136 см−1 и 225 см−1 и не осциллирующим компонентом. Поскольку затухание осциллирующих мод происходит гораздо быстрее, с константами времени затухания ~280 и ~190 фс, то можно предположить, что с нарастанием полосы поглощения анион-радикала BA− при 1025 нм коррелирует затухание монотонного компонента с константой времени ~0,9 пс в кинетике при 940 нм. Учитывая, что кинетика полосы поглощения анион-радикала BA− при 1025 нм инвертирована, а затухание компонента ~0,9 пс в кинетике стимулированного излучения при 940 нм совпадает со временем жизни состояния с разделенными зарядами P+BA−, можно предположить, что затухание когерентного излучения возбужденного первичного донора электрона обусловлено обратной реакцией переноса электрона Р* ← P+BA−.
Глобальный анализ массива данных. Поскольку, согласно представленным выше данным, стимулированное излучение при 915 нм и 940 нм затухает с разными константами времени, мы аппроксимировали экспериментальный массив данных методом глобального анализа с кинетическими компонентами ~1 пс и 3,5 пс (<1 пс и 1,2 пс при криогенной температуре) и незатухающим компонентом на шкале времени эксперимента (200 пс). В спектре DADS, связанном с незатухающим компонентом (рис. 4, кривая 3), наблюдаются отрицательная полоса при 870 нм, слабая положительная полоса, принадлежащая поглощению анион-радикала вторичного электронного акцептора – молекулы HA− – при 960 нм на фоне положительного бесструктурного поглощения Р+, которые отражают состояние с разделенными зарядами Р+HA−. В спектре DADS с константой времени 3,5 пс (рис. 4; кривая 2) затухание стимулированного излучения при 915 нм (отрицательная полоса при 915 нм) происходит с той же константой времени, что и нарастание полосы поглощения анион-радикала BA− (положительная полоса при 1025 нм). Спектр DADS, связанный с константой затухания 0,8 пс (рис. 4; кривая 1), подтверждает обнаруженную выше корреляцию. Действительно, затухание положительных изменений при 890 нм и отрицательных изменений при 940 нм, отражающих сателлиты стимулированного излучения, происходят с той же константой времени, что и затухание полосы поглощения анион-радикала BA− (отрицательная полоса при 1025 нм). Представленные на рис. 3 и 4 данные находятся в согласии с общепринятыми представлениями о механизме двухшагового переноса электрона на HA через молекулу BA [3, 5, 6]. Затухание осциллирующего стимулированного излучения возбужденного первичного донора электрона коррелирует со временем жизни состояния P+BA−, что является свидетельством обратимости переноса электрона на молекулу BA и образования состояния с разделенными зарядами P+BA−, время жизни которого составляет 0,8 пс (0,4 пс при 100 К).
Рис. 4. Дифференциальные спектры поглощения РЦ Rba. sphaeroides, связанные с экспоненциальным затуханием (decay-associated difference spectra, DADS), измеренные при физиологической температуре (а) и при температуре 100 К (б)
Исследование поглощения возбужденного первичного донора электрона при переходе P* → P** в РЦ Rba. sphaeroides. Возбужденный первичный донор электрона характеризуется не только стимулированным излучением, но и поглощением из возбужденного состояния при переходе P* → P**. Мы исследовали поглощение возбужденного донора при 810 нм в реакционных центрах Rba. sphaeroides дикого типа (с открытым переносом электрона) и мутанта М160LH + + L131LH + М197FH (с заблокированным переносом электрона при криогенных температурах).
На рис. 5 представлены дифференциальные спектры поглощения реакционных центров с открытым и с заблокированным переносом электрона на молекулу BA, измеренные в ближней инфракрасной области при возбуждении первичного донора электрона импульсами света длительностью 25 фс на длине волны 890 нм. И в том и в другом случае дифференциальные спектры поглощения отражают эволюцию возбужденного первичного донора электрона. Они характеризуются выцветанием полосы поглощения первичного донора из основного состояния при 890 нм и стимулированным излучением из возбужденного состояния на длинноволновом склоне выцветающей полосы Р, а также узкой положительной полосой поглощения возбужденного первичного донора, имеющей максимум ~810 нм, которую приписывают переходу первичного донора с нижнего экситонного уровня P−* на более высокий возбужденный уровень Р** [26, 27]. На задержках времени от 60 до 170 фс, когда в реакционных центрах с открытым переносом электрона амплитуда полосы поглощения возбужденного первичного донора электрона при 810 нм достигает своего максимального значения, максимум стимулированного излучения из возбужденного состояния первичного донора электрона смещается от 890 до 940 нм (рис. 5, а). В реакционных центрах мутанта с повышенным потенциалом происходит подобное длинноволновое смещение стимулированного излучения из возбужденного состояния примерно на тех же временах (рис. 5, б). Обращает на себя внимание, что в РЦ с заблокированным переносом электрона на задержках времени от 80 до 380 фс наблюдается увеличение амплитуды полосы поглощения возбужденного первичного донора при 810 нм (рис. 5, б; вставка), в то время как в РЦ с открытым переносом электрона полоса поглощения Р* при 810 нм не увеличивается (рис. 5, а; вставка). Прирост амплитуды полосы поглощения при 810 нм на таких задержках времени нельзя объяснить действием возбуждающего импульса, но этот прирост отражает увеличение концентрации возбужденного первичного донора электрона.
Рис. 5. Дифференциальные спектры поглощения РЦ Rba. sphaeroides дикого типа на задержке времени 60 фс (кривая 1) и 170 фс (кривая 2) (а) и РЦ тройного мутанта на задержке времени 80 фс (кривая 1) и 380 фс (кривая 2) (б), измеренные при температуре 100 К. На вставках (панели а и б) показана область полосы поглощения Р* при 810 нм. Величина положительной дисперсии зондирующего импульса в диапазоне длин волн 810–940 нм составляет ~100 фс
Для выявления спектральных изменений в РЦ с заблокированным переносом электрона, связанных с ростом амплитуды полосы поглощения при 810 нм, мы построили дважды дифференциальные спектры, вычитая дифференциальный спектр, измеренный на задержке времени 220 фс из дифференциальных спектров, измеренных на задержках времени 260, 300 и 340 фс (рис. 6).
Рис. 6. Дважды дифференциальные спектры поглощения РЦ мутанта М160LH + L131LH + М197FH Rba. sphaeroides, полученные вычитанием дифференциального спектра, измеренного на задержке времени 220 фс из дифференциальных спектров, измеренных на задержках времени 260 фс (кривая 1), 300 фс (кривая 2) и 340 фс (кривая 3) при температуре 100 К. Стрелкой показана длина волны максимума полосы поглощения Р
Представленные на рис. 6 дважды дифференциальные спектры поглощения реакционных центров мутанта М160LH + L131LH + М197FH Rba. sphaeroides показывают, что на задержках времени более 200 фс действительно происходит увеличение амплитуды узкой спектральной полосы с максимумом при 810 нм. Поскольку положительная полоса при 810 нм принадлежит поглощению первичного донора электрона при переходе P* → P**, то прирост полосы поглощения при 810 нм, по-видимому, обусловлен увеличением концентрации возбужденного первичного донора электрона P*. Однако в области полосы поглощения Р при 890 нм, выцветание которой обусловлено переходом первичного донора электрона из основного в возбужденное состояние, изменений поглощения не происходит (показано стрелкой) и, следовательно, количество возбужденного первичного донора электрона остается неизменным. Можно заметить, что прирост амплитуды полосы поглощения при 810 нм сопровождается увеличением стимулированного излучения с нижнего экситонного уровня при 920 нм и уменьшением стимулированного излучения при 940 нм (рис. 6). Это позволяет предположить, что при блокировании переноса электрона на молекулу BA на задержках времени от 220 до 340 фс в возбужденном первичном доноре электрона происходит электронный переход на нижний экситонный уровень P−* с уровня энергии, расположенного на шкале энергии выше. Представляется маловероятным, что это электронный переход с верхнего экситонного уровня. Процесс внутренней конверсии электронного возбуждения между верхним P+* и нижним P−* экситонными уровнями происходит гораздо быстрее (25–100 фс) [36, 37, 47].
На рис. 7 представлена кинетика полосы поглощения при 810 нм в реакционных центрах с открытым (кривая 1) и с заблокированным переносом электрона (кривая 2), построенная в интервале длин волн от 805 до 815 нм. Из рисунка видно, что нарастание полосы поглощения при 810 нм, обусловленное поглощением света, в открытых и закрытых реакционных центрах завершается к задержке времени ~60 фс. В открытых реакционных центрах на более поздних задержках времени амплитуда полосы поглощения при 810 нм не изменяется, а затем экспоненциально спадает с константой времени ~1,2 пс вследствие переноса электрона от возбужденного первичного донора в активную цепь кофакторов. В закрытых реакционных центрах, начиная с задержки времени 200 фс, происходит прирост полосы поглощения при 810 нм примерно на 24%, по сравнению с РЦ с открытым переносом электрона, с константой времени порядка 100 фс, характерной для переходов между электронными уровнями. Это позволяет заключить, что наблюдаемый прирост полосы поглощения при 810 нм отражает увеличение концентрации первичного донора электрона на нижнем экситонном уровне P−* первого синглетного возбужденного состояния.
Рис. 7. Кинетические кривые полосы поглощения при 810 нм в РЦ Rba. sphaeroides дикого типа (кривая 1) и мутанта М160LH + L131LH + М197FH (кривая 2) при температуре 100 К. Пунктирная линия показывает амплитуду полосы поглощения при взаимодействии возбуждающего и зондирующего импульсов, а штрихпунктирная линия – прирост полосы поглощения в РЦ мутанта на задержках времени больше длительности аппаратной функции (двусторонняя стрелка)
Поскольку в открытых РЦ Rba. sphaeroides такого процесса не происходит, то можно предположить, что на задержках времени порядка 200 фс возбужденный первичный донор электрона продолжает оставаться в суперпозиции двух состояний, имеющих разные электронные уровни энергии. Одно из них – нижнее экситонное состояние P−* заселяется с вероятностью 76%, имеет максимум поглощения при 810 нм и стимулированное излучение при 915 нм. Второе состояние заселяется с вероятностью 24%, расположено на шкале энергии выше состояния P−* и не имеет поглощения при 810 нм. Проведенные ранее теоретические расчеты показали, что к первичному донору электрона в основном состоянии примешивается состояние с переносом заряда. Это состояние характеризуется тем, что: (1) оно примешивается на 25%; (2) уровень энергии состояния с переносом заряда расположен выше уровня энергии нейтрального первичного донора электрона; (3) состояние с переносом заряда не имеет собственного поглощения [11, 32, 48]. Все эти признаки применимы к верхнему электронному состоянию и позволяют идентифицировать его как PA+PB−.
ЗАКЛЮЧЕНИЕ
Представленные в работе данные показывают, что в РЦ Rba. sphaeroides при селективном возбуждении первичного донора электрона импульсами света длительностью ~30 фс наблюдается спектральная и кинетическая неоднородность Р. Смещение стимулированного излучения возбужденного первичного донора Р* в длинноволновую область спектра с константой времени ~60 фс, по-видимому, обусловлено сдвигом Стокса [12, 21, 47] либо образованием состояния с переносом заряда [47]. Как видно из дважды дифференциальных спектров поглощения (рис. 1, б; кривые 3 и 4) на задержках времени более ~120 фс когерентная динамика возбужденного первичного донора характеризуется стимулированным излучением при 915 нм с сателлитами при 940 нм и 905 нм. Стимулированное излучение с максимумом при 915 нм монотонно затухает с константой времени ~3,5 пс (рис. 2, в; сплошная линия), а кинетика осциллирующих сателлитов при 890 нм и в области 940 нм (вставка на рис. 2, б; рис. П4, г в Приложении) коррелирует со временем жизни состояния с разделенными зарядами P+BA−. Спектральная локализация стимулированного излучения в разные моменты времени и кинетическая гетерогенность излучения могут свидетельствовать о том, что возбужденный первичный донор электрона находится в суперпозиции двух состояний. Результаты глобального анализа исходных данных (рис. 4; кривая 1) позволяют предположить, что затухание стимулированного излучения при 940 нм происходит с той же константой времени, что и затухание состояния с разделенными зарядами P+BA−. В этом случае полученные данные находятся в согласии с тем, что существует обратная реакция переноса электрона от молекулы BA− на Р*. Исследование возбужденного донора электрона в тройном мутанте показало, что блокирование переноса электрона на молекулу BA выявляет признаки двух электронных состояний. Эти результаты согласуются с теоретическими и экспериментальными данными, согласно которым к возбужденному первичному донору электрона примешивается комплекс с переносом заряда PA+PB−, включенный в процесс обратимого переноса электрона от возбужденного первичного донора электрона P* на ближайший акцептор электрона.
Вклад авторов. Р.А. Хатыпов – концепция и руководство работой; Т.Ю. Фуфина, А.М. Христин – проведение экспериментов; А.М. Христин, Т.Ю. Фуфина, Р.А. Хатыпов – обсуждение результатов исследования; А.М. Христин, Р.А. Хатыпов – написание и редактирование текста статьи.
Финансирование. Работа выполнена в рамках госзадания № 122041100204-3.
Благодарности. Работа была выполнена на оборудовании ЦКП ПНЦБИ РАН (№ 672398, http://www.ckp-rf.ru/ckp/672398/; https://ckp-rf.ru/catalog/ckp/670266/). Авторы выражают признательность академику Шувалову В.А. (1943–2022 гг.) за всестороннюю поддержку проводимых исследований.
Конфликт интересов. Авторы заявляют об отсутствии конфликта интересов.
Соблюдение этических норм. Настоящая статья не содержит описания каких-либо исследований с участием людей или животных в качестве объектов.
Дополнительные материалы. Приложение к статье опубликовано на сайте журнала «Биохимия» (https://biochemistrymoscow.com).
About the authors
A. M. Khristin
Pushchino Scientific Center for Biological Research of the Russian Academy of Sciences
Email: rgreen1@rambler.ru
Russian Federation, Pushchino
T. Yu. Fufina
Pushchino Scientific Center for Biological Research of the Russian Academy of Sciences
Email: rgreen1@rambler.ru
Russian Federation, Pushchino
R. A. Khatypov
Pushchino Scientific Center for Biological Research of the Russian Academy of Sciences
Author for correspondence.
Email: rgreen1@rambler.ru
Russian Federation, Pushchino
References
- Kennis, J. T., Shkuropatov, A. Y., van Stokkum, I. H. M., Gast, P., Hoff, A. J., Shuvalov, V. A., and Aartsma, T. J. (1997) Formation of a long-lived P+BA– state in plant pheophytin-exchanged reaction centers of Rhodobacter sphaeroides R26 at Low temperature, Biochemistry, 36, 16231-16238, https://doi.org/10.1021/bi9712605.
- Yakovlev, A. G., Shkuropatov, A. Y., and Shuvalov, V. A. (2000) Nuclear wavepacket motion producing a reversible charge separation in bacterial reaction centers, FEBS Lett., 466, 209-212, https://doi.org/10.1016/S0014-5793(00)01081-4.
- Dominguez, P., Himmelstoss, M., Michelmann, J., Lehner, F., Gardiner, A. T, Cogdell, R. J., and Zinth, W. (2014) Primary reactions in photosynthetic reaction centers of Rhodobacter sphaeroides – time constants of the initial electron transfer, Chem. Phys. Lett., 601, 103-109, https://doi.org/10.1016/j.cplett.2014.03.085.
- Yakovlev, A. G., Shkuropatov, A. Y., and Shuvalov, V. A. (2002) Nuclear wavepacket motion between P* and P+BA– potential surfaces with subsequent electron transfer to HA in bacterial reaction centers. 1. Room temperature, Biochemistry, 41, 2667-2674, https://doi.org/10.1021/bi0101244.
- Arlt, T., Schmidt, S., Kaiser, W., Lauterwasser, C., Meyer, M., Scheer, H., and Zinth, W. (1993) The accessory bacteriochlorophyll: a real electron carrier in primary photosynthesis, Proc. Natl. Acad. Sci. USA, 90, 11757-11761, https://doi.org/10.1073/pnas.90.24.11757.
- Holzapfel, W., Finkele, U., Kaiser, W., Oesterhelt, D., Scheer, H., Stilz, H. U., and Zinth, W. (1989) Observation of a bacteriochlorophyll anion radical during the primary charge separation in a reaction center, Chem. Phys. Lett., 160, 1-7, https://doi.org/10.1016/0009-2614(89)87543-8.
- Weaver, J. B., Lin, C.-Y., Faries, K. M., Mathews, I. I., Russi, S., Holten, D., Kirmaier, C., and Boxer, S. G. (2021) Photosynthetic reaction center variants made via genetic code expansion show Tyr at M210 tunes the initial electron transfer mechanism, Proc. Natl. Acad. Sci. USA, 118, e2116439118, https://doi.org/10.1073/pnas. 2116439118.
- Hamm, P., and Zinth, W. (1995) Ultrafast initial reaction in bacterial photosynthesis revealed by femtosecond infrared spectroscopy, J. Phys. Chem., 99, 13537-13544, https://doi.org/10.1021/j100036a034.
- Khatypov, R. A., Khmelnitskiy, A. Y., Khristin, A. M., Fufina, T. Y., Vasilieva, L. G., and Shuvalov, V. A. (2012) Primary charge separation within P870* in wild type and heterodimer mutants in femtosecond time domain, Biochim. Biophys. Acta, 1817, 1392-1398, https://doi.org/10.1016/j.bbabio.2011.12.007.
- Ivashin, N. V., and Shchupak, E. E. (2016) The nature of the lower excited state of the special pair of bacterial photosynthetic reaction center of Rhodobacter sphaeroides and the dynamics of primary charge separation, Optics Spectrosc., 121, 181-189, https://doi.org/10.1134/S0030400X16080087.
- Parson, W. W. (2020) Dynamics of the excited state in photosynthetic bacterial reaction centers, J. Phys. Chem. B, 124, 1733-1739, https://doi.org/10.1021/acs.jpcb.0c00497.
- Yakovlev, A. G., and Shuvalov, V. A. (2020) Coherent intradimer dynamics in reaction centers of photosynthetic green bacterium Chloroflexus aurantiacus, Sci. Rep., 10, 228, https://doi.org/10.1038/s41598-019-57115-1.
- Ma, F., Romero, E., Jones, M. R. Novoderezhkin, V. I., and van Grondelle, R. (2018) Vibronic coherence in the charge separation process of the Rhodobacter sphaeroides reaction center, J. Phys. Chem. Lett., 9, 1827-1832, https://doi.org/10.1021/acs.jpclett.8b00108.
- Ma, F., Romero, E., Jones, M. R., Novoderezhkin, V. I., and van Grondelle, R. (2019) Both electronic and vibrational coherences are involved in primary electron transfer in bacterial reaction center, Nat. Commun., 10, 933, https://doi.org/10.1038/s41467-019-08751-8.
- Ma, F., Romero, E., Jones, M. R., Novoderezhkin, V. I., Yu, L.-J., and van Grondelle, R. (2021) Dynamic Stark effect in two-dimensional spectroscopy revealing modulation of ultrafast charge separation in bacterial reaction centers by an inherent electric field, J. Phys. Chem. Lett., 12, 5526-5533, https://doi.org/10.1021/acs. jpclett.1c01059.
- Ma, F., Romero, E., Jones M. R., Novoderezhkin, V. I., Yu, L.-J., and van Grondelle, R. (2022) Dynamics of diverse coherences in primary charge separation of bacterial reaction center at 77 K revealed by wavelet analysis, Photosynth. Res., 151, 225-234, https://doi.org/10.1007/s11120-021-00881-9.
- Lockhart, D. J., and Boxer, S. G. (1988) Stark effect spectroscopy of Rhodobacter sphaeroides and Rhodopseudomonas viridis reaction centers, Proc. Natl. Acad. Sci. USA, 85, 107-111, https://doi.org/10.1073/pnas.85.1.107.
- Moore, L. J., Zhou, H., and Boxer, S. G. (1999) Excited-state electronic asymmetry of the special pair in photosynthetic reaction center mutants: absorption and Stark spectroscopy, Biochemistry, 38, 11949-11960, https://doi.org/10.1021/bi990892j.
- Yakovlev, A. G., and Shuvalov, V. A. (2014) Spectral exhibition of electron-vibrational relaxation in P* state of Rhodobacter sphaeroides reaction centers, Photosynth. Res., 125, 9-22, https://doi.org/10.1007/s11120-014-0041-5.
- Yakovlev, A. G., and Shuvalov, V. A. (2015) Electronic relaxation in P* state of Rhodobacter sphaeroides reaction centers, Dokl. Biochem. Biophys., 461, 72-75, https://doi.org/10.1134/S1607672915020039.
- Яковлев А. Г., Шувалов В. А. (2017) Фемтосекундные релаксационные процессы в реакционных центрах Rhodobacter sphaeroides, Биохимия, 82, 906-915, https://doi.org/10.1134/S0006297917080053.
- Parson, W. W., and Warshel, A. (1987) Spectroscopic properties of photosynthetic reaction centers. 2. Application of the theory to Rhodopseudomonas viridis, J. Am. Chem. Soc., 109, 6152-6163, https://doi.org/10.1021/ja00254a040.
- Lathrop, E. J. P., and Friesner, R. A. (1994) Simulation of optical spectra from the reaction center of Rhodobacter Sphaeroides. Effects of an internal charge-separated state of the special pair, J. Phys. Chem., 98, 3056-3066, https://doi.org/10.1021/j100062a051.
- Scherer, P. O. J., and Fischer, S. F. (1989) Quantum treatment of the optical spectra and the initial electron transfer process within the reaction center of Rhodopseudomonas viridis, Chem. Phys., 131, 115-127, https://doi.org/10.1016/0301-0104(89)87084-3.
- Vos, M. H., Jones, M. R., Hunter, C. N., Breton, J., and Martin, J.-L. (1994) Coherent nuclear dynamics at room temperature in bacterial reaction centers, Proc. Natl. Acad. Sci. USA, 91, 12701-12705, https://doi.org/10.1073/pnas.91.26.12701.
- Vos, M. H., Lambry, J.-C., Robles, S. J., Youvan, D. C., Breton, J., and Martin, J.-L. (1992) Femtosecond spectral evolution of the excited state of bacterial reaction centers at 10 K, Proc. Natl. Acad. Sci. USA, 89, 613-617, https://doi.org/10.1073/pnas.89.2.613.
- Vos, M. H., Jones, M. R., and Martin, J.-L. (1998) Vibrational coherence in bacterial reaction centers: spectroscopic characterization of motions active during primary electron transfer, Chem. Phys., 233, 179-190, https://doi.org/10.1016/S0301-0104(97)00355-8.
- Novoderezhkin, V. I., Yakovlev, A. G., van Grondelle, R., and Shuvalov, V. A. (2004) Coherent nuclear and electronic dynamics in primary charge separation in photosynthetic reaction centers: a Redfield theory approach, J. Phys. Chem. B, 108, 7445-7457, https://doi.org/10.1021/jp0373346.
- Eisenmayer, T. J., de Groot, H. J. M., van de Wetering, E., Neugebauer, J., and Buda, F. (2012) Mechanism and reaction coordinate of directional charge separation in bacterial reaction centers, J. Phys. Chem. Lett., 3, 694-697, https://doi.org/10.1021/jz201695p.
- Eisenmayer, T. J., Lasave, J. A., Monti, A., de Groot, H. J. M, Buda, F. (2012) Proton displacements coupled to primary electron transfer in the Rhodobacter sphaeroides reaction center, J. Phys. Chem. B, 117, 38, 11162-11168, https://doi.org/10.1021/jp401195t.
- Milanovsky, G. E., Shuvalov, V. A., Semenov, A. Y., and Cherepanov, D. A. (2015) Elastic vibrations in the photosynthetic bacterial reaction center coupled to the primary charge separation: implications from molecular dynamics simulations and stochastic Langevin approach, J. Phys. Chem. B, 119, 13656-13667, https://doi.org/10.1021/acs.jpcb.5b03036.
- Renger, T. (2004) Theory of optical spectra involving charge transfer states: dynamic localization predicts a temperature dependent optical band shift, Phys. Rev. Lett., 93, 188101, https://doi.org/10.1103/PhysRevLett.93.188101.
- Khmelnitskiy, A., Reinot, T., and Jankowiak, R. (2019) Mixed upper exciton state of the special pair in bacterial reaction centers, J. Phys. Chem. B, 123, 852-859, https://doi.org/10.1021/acs.jpcb.8b12542.
- Breton, J. (1985) Orientation of the chromophores in the reaction center of Rhodopseudomonas viridis. Comparison of low-temperature linear dichroism spectra with a model derived from X-ray crystallography, Biochim. Biophys. Acta, 810, 235-245, https://doi.org/10.1016/0005-2728(85)90138-0.
- Reddy, J. R. S., Kolaczkowski, S. V., and Small, G. J. (1993) Nonphotochemical hole burning of the reaction center of Rhodopseudomonas viridis, J. Phys. Chem., 97, 6934-6940, https://doi.org/10.1021/j100128a031.
- Vos, M. H., Breton, J., and Martin, J.-L. (1997) Electronic energy transfer within the hexamer cofactor system of bacterial reaction centers, J. Phys. Chem. B, 101, 9820-9832, https://doi.org/10.1021/jp971486h.
- Niedringhaus, A., Policht, V. R., Sechrist, R., Konar, A., Laible, P. D., Bocian, D. F., Holten, D., Kirmaier, C., and Ogilvie, J. P. (2018) Primary processes in the bacterial reaction center probed by two-dimensional electronic spectroscopy, Proc. Natl. Acad. Sci. USA, 115, 3563-3568, https://doi.org/10.1073/pnas.1721927115.
- Woodbury, N. W., Lin, S., Lin, X., Peloquin, J. M., Taguchi, A. K. W., Williams, J. C., and Allen, J. P. (1995) The role of reaction center excited state evolution during charge separation in a Rb. sphaeroides mutant with an initial electron donor midpoint potential 260 mV above wild type, Chem. Phys., 197, 405-421, https://doi.org/10.1016/0301-0104(95)00170-S.
- Яковлев А. Г., Васильева Л. Г., Шкуропатов А. Я., Шувалов В. А. (2011) Когерентные эффекты при разделении зарядов в реакционных центрах мутантов LL131H и LL131H/LM160H/FM197H, Биохимия, 76, 1359-1373.
- Хмельницкий А. Ю., Хатыпов Р. А., Христин А. М., Леонова М. М., Васильева Л. Г., Шувалов В. А. (2013) Разделение зарядов в реакционных центрах Rhodobacter sphaeroides с повышенным потенциалом первичного донора электрона, Биохимия, 78, 82-91.
- Shuvalov, V. A., Shkuropatov, A. Ya., Kulakova, S. M., Ismailov, M. A., and Shkuropatova, V. A. (1986) Photoreactions of bacteriopheophytins and bacteriochlorophylls in reaction centers of Rhodopseudomonas sphaeroides and Chloroflexus aurantiacus, Biochim. Biophys. Acta, 849, 337-346, https://doi.org/10.1016/0005-2728(86)90145-3.
- Polli, D., Brida, D., Mukamel, S., Lanzani, G., and Cerullo G. (2010) Effective temporal resolution in pump-probe spectroscopy with strongly chirped pulses, Phys. Rev. A, 82, 053809, https://doi.org/10.1103/PhysRevA.82.053809.
- Van Stokkum, I. H. M., Larsen, D. S., and van Grondelle, R. (2004) Global and target analysis of time-resolved spectra, Biochim. Biophys. Acta, 1657, 82-104, https://doi.org/10.1016/j.bbabio.2004.04.011.
- Snellenburg, J. J., Laptenok, S. P., Seger, R., Mullen, K. M., and van Stokkum, I. H. M. (2012) Glotaran: a Java-based graphical user interface for the R package TIMP, J. Stat. Soft., 49, 1-22, https://doi.org/10.18637/jss.v049.i03.
- Хатыпов Р. А., Христин А. М., Васильева Л. Г., Шувалов В. А. (2019) Алгоритм извлечения кинетики слабых полос в дифференциальных спектрах поглощения реакционных центров Rhodobacter sphaeroides, Биохимия, 84, 827-835, https://doi.org/10.1134/S0320972519060083.
- Woodbury, N. W. T., and Parson, W. W. (1984) Nanosecond fluorescence from isolated photosynthetic reaction centers of Rhodopseudomonas sphaeroides, Biochim. Biophys. Acta, 767, 345-361, https://doi.org/10.1016/0005-2728(84)90205-6.
- Arnett, D. C., Moser, C. C., Dutton, P. L., and Scherer, N. F. (1999) The first events in photosynthesis: electronic coupling and energy transfer dynamics in the photosynthetic reaction center from Rhodobacter sphaeroides, J. Phys. Chem. B, 103, 2014-2032, https://doi.org/10.1021/jp984464j.
- Scherer, P. O. J., Scharnagl, C., and Sighart F. (1995) Symmetry breakage in the electronic structure of bacterial reaction centers, Chem. Phys., 197, 333-341, https://doi.org/10.1016/0301-0104(95)00149-I.
Supplementary files









