The Use of qPCR to Evaluate the Efficiency of Bulky DNA Damage Removal in Extracts of Mammalian Cells with Different Maximum Lifespan
- Authors: Popov A.A.1, Shamanin V.A.2, Petruseva I.O.1, Evdokimov A.N.1, Lavrik O.I.1,3
-
Affiliations:
- Institute of Chemical Biology and Fundamental Medicine of the Siberian Branch of the Russian Academy of Sciences
- BioLink LLC
- Novosibirsk National Research State University
- Issue: Vol 89, No 7 (2024)
- Pages: 1174-1183
- Section: Articles
- URL: https://bakhtiniada.ru/0320-9725/article/view/276366
- DOI: https://doi.org/10.31857/S0320972524070026
- EDN: https://elibrary.ru/WNPEPB
- ID: 276366
Cite item
Full Text
Abstract
Proteins of the nucleotide excision repair (NER) system are responsible for the detection and removal of a wide range of bulky damages from DNA, thereby making a significant contribution to maintaining genome stability in mammalian cells. Diagnosis of the functional status of NER in cells is important for detecting pathological changes in the body and evaluating the efficiency of the use of chemotherapeutic drugs. The paper describes a method for evaluating the efficiency of in vitro removal of bulky DNA damage based on the use of qPCR. Using the developed method, a comparative assessment of NER activity on cell extracts of two mammals with different lifespans – a long-lived naked mole rat (Heterocephalus glaber) and a short-lived mouse (Mus musculus) was carried out. It has been shown that the proteins of the H. glaber cell extract are 1.5 times more effective at removing bulky damage from the model DNA substrate than the proteins of the M. musculus cell extract, which is consistent with the experimental data obtained earlier. The presented development can be used not only in fundamental research of DNA repair in mammalian cells, but also in clinical practice.
Keywords
Full Text
Принятые сокращения: ОДН – последовательность олигонуклеотидов; BER – эксцизионная репарация оснований; NER – эксцизионная репарация нуклеотидов; nFlu – N-[6-(5(6)-флуоресцеинилкарбамоил) гексаноил]-3-амино-1,2-пропандиол; TEG – тетраэтиленгликоль.
ВВЕДЕНИЕ
Системы репарации ДНК обеспечивают поддержание стабильности генома в клетках живых организмов, удаляя постоянно возникающие в результате воздействий экзогенных и эндогенных факторов повреждения для восстановления структуры ДНК [1]. Белки эксцизионной репарации нуклеотидов (nucleotide excision repair, NER) удаляют из ДНК широкий спектр объемных повреждений, в том числе аддукты, формирующиеся под действием УФ-света и вредных полициклических соединений из окружающей среды. Такие аддукты вызывают значительные нарушения регулярной двуцепочечной структуры ДНК, которые распознаются фактором XPC, инициирующим привлечение TFIIH и последующую сборку репарационного комплекса на поврежденном участке ДНК. После верификации повреждения хеликазой XPD происходит катализируемая эндонуклеазами XPF-ERCC1 и XPG эксцизия фрагмента ДНК, содержащего объемное повреждение. Образующаяся брешь застраивается в результате репаративного синтеза с использованием в качестве матрицы неповрежденной цепи ДНК и последующего лигирования; в результате исходная структура ДНК восстанавливается [1].
Поскольку активность систем репарации ДНК определяет устойчивость клеток к воздействию генотоксического стресса, оценка функционального статуса той или иной системы репарации ДНК в клетках имеет важное значение в клинике и проводится с целью диагностики различных патологических состояний. Нарушение работы NER является причиной развития таких заболеваний, как пигментная ксеродерма и синдром Коккейна, а снижение активности NER, как предполагается, может увеличивать предрасположенность к развитию раковых заболеваний и преждевременному старению [2–4]. При этом повышенная активность NER, характерная для раковых клеток, может снижать эффективность применения химиотерапевтических препаратов, действие которых основано на образовании объемных аддуктов в ДНК [5–7].
В большинстве работ по изучению NER оценивали специфическую эксцизионную активность белков прямой детекцией продуктов эксцизии модельных ДНК либо путем постэксцизионного радиоактивного мечения 3′-концов этих продуктов [8–11]. Существенным недостатком этих методов, ограничивающим их применение в клинике, является необходимость использования радиоактивной метки при создании модельной ДНК, либо детекции продуктов эксцизии. В связи с этим особую значимость для определения активности NER in vitro приобретают методы, основанные на количественной ПЦР (quantitative polymerase chain reaction, qPCR). Возможность оценки эффективности протекания репарации путем измерения флуоресценции в сочетании с простой и быстрой процедурой выполнения делает методы, основанные на qPCR, перспективными инструментами для применения не только в исследовательских целях, но и в медицине. К настоящему моменту описаны два варианта методики измерения активности NER, включающие использование qPCR, которые различаются по степени сложности процедуры, архитектуре модельных ДНК и типу удаляемых объемных повреждений (УФ-повреждения и ДНК-белковая сшивка) [12, 13].
Целью настоящей работы стала разработка метода оценки эффективности удаления объемных повреждений in vitro с использованием qPCR и одного из эффективно узнаваемых (и процессируемых) белками NER повреждений – аналога полициклических объемных повреждений [8, 10, 14]. Разработанный подход был применен для сравнительной оценки эффективности работы системы NER в клетках млекопитающих с различной продолжительностью жизни – долгоживущего голого землекопа (Heterocephalus glaber) и короткоживущей мыши (Mus musculus). Полученные результаты показывают, что белки клеток H. glaber более эффективно удаляют объемные повреждения ДНК, это согласуется с ранее опубликованными данными, полученными методом постэксцизионного мечения [14].
МАТЕРИАЛЫ И МЕТОДЫ
Получение ДНК-субстратов. Последовательности олигонуклеотидов (ОДН), использованных для синтеза ДНК-субстратов, представлены в таблице 1.
Таблица 1. Последовательности олигонуклеотидов и праймеров, использованных в работе
Наименование | Последовательность |
Олигонуклеотиды | |
ОДН-1 | cgatgaagctggtggtcaactggtcctccatgaagcgggtccaagtcggcagtaccggcataacc |
ОДН-2-nFlu | aagcctatgcctacagcatccaggg(nFlu)gacggtgccgaggatgacgatgagcgca |
ОДН-2 | aagcctatgcctacagcatccagggcgacggtgccgaggatgacgatgagcgca |
ОДН-3 | ttgttagatttcatacacggtgatgctacaagttcgtggcg |
ОДН-4 | gtaggcataggcttggttatgccggtactg |
ОДН-5 | gtatgaaatctaacaatgcgctcatcgtcatcctcg |
ОДН-6 | cgccacgaacttgtagcatcaccgtgtatgaaatctaacaa |
ОДН-7 | tgcgctcatcgtcatcctcggcaccgtcgccctggatgctgtaggcataggctt |
ОДН-8 | ggttatgccggtactgccgacttggacccgcttcatggaggacc(PS-TEG)gttgaccaccagcttcatcg |
ОДН-9 | gacgatgagcgcattgttagatttcatacacgg |
ОДН-10 | taccggcataaccaagcctatgcctaca |
ОДН-11 | agctgctgctcatctcgagatctgagtacattggattgccattctccgagtgtattaccgtgacg |
Праймеры | |
Праймер 1 | cgccacgaacttgtagcatc |
Праймер 2 | cgatgaagctggtggtcaa |
Примечание. ОДН – последовательность олигонуклеотидов. Выделение полужирным шрифтом: nFlu – N-[6-(5(6)-флуоресцеинилкарбамоил) гексаноил]-3-амино-1,2-пропандиол; PS-TEG – тетраэтиленгликоль с введенной с 5′-стороны фосфотиоатной группой.
Для получения цепи ДНК, содержащей ненуклеотидную модификацию N-[6-(5(6)-флуоресцеинилкарбамоил)гексаноил]-3-амино-1,2-пропандиол (nFlu), смешивали ОДН-1, ОДН-2-nFlu, ОДН-3, ОДН-4 и ОДН-5 в эквимолярном соотношении, после чего инкубировали при температуре 95 °C в течение 5 мин и медленно охлаждали до комнатной температуры. Реакционную смесь для проведения лигирования, которая содержала смесь гибридизованных ОДН (10 мкМ), Т4 ДНК-лигазу (2 ед./мкл; «СибЭнзим», Россия), ATP (10 мМ) и 1× буфер для Т4 ДНК-лигазы (50 мМ Tris-HCl (pH 7,5); 10 мМ MgCl2; 10 мМ ДТТ; 1 мМ АТР), инкубировали в течение 16–18 ч при температуре 12 °C. Инактивацию реакции проводили в течение 20 мин при температуре 70 °C. Продукты реакции лигирования разделяли в 10%-ном ПААГ в денатурирующих условиях, а целевую одноцепочечную (оц.) ДНК выделяли из геля электропереносом на DEAE-бумагу («Whatman», Великобритания). Элюцию целевой оц. ДНК с DEAE-бумаги проводили при 70 °С четырьмя порциями (30 мкл) 3 М водного раствора LiClO4, после чего ДНК осаждали 5-кратным избытком холодного ацетона и инкубировали 30–40 мин при –20 °С. После центрифугирования (10 мин, 12 000 g, 4 °С) супернатант удаляли, а осадок промывали холодным ацетоном. Затем осадок высушивали при комнатной температуре и растворяли в Н2О.
Аналогичные процедуры выполняли при синтезе немодифицированной цепи (использовали ОДН-1, ОДН-2, ОДН-3, ОДН-4 и ОДН-5) и комплементарной цепи ДНК, содержащей модификацию на основе тетраэтиленгликоля (TEG) (использовали ОДН-6, ОДН-7, ОДН-8, ОДН-9 и ОДН-10). Концентрацию полученных оц. ДНК определяли путем измерения поглощения раствора при длине волны 260 нм на спектрофотометре U-0080D («Hitachi High-Technologies», Япония).
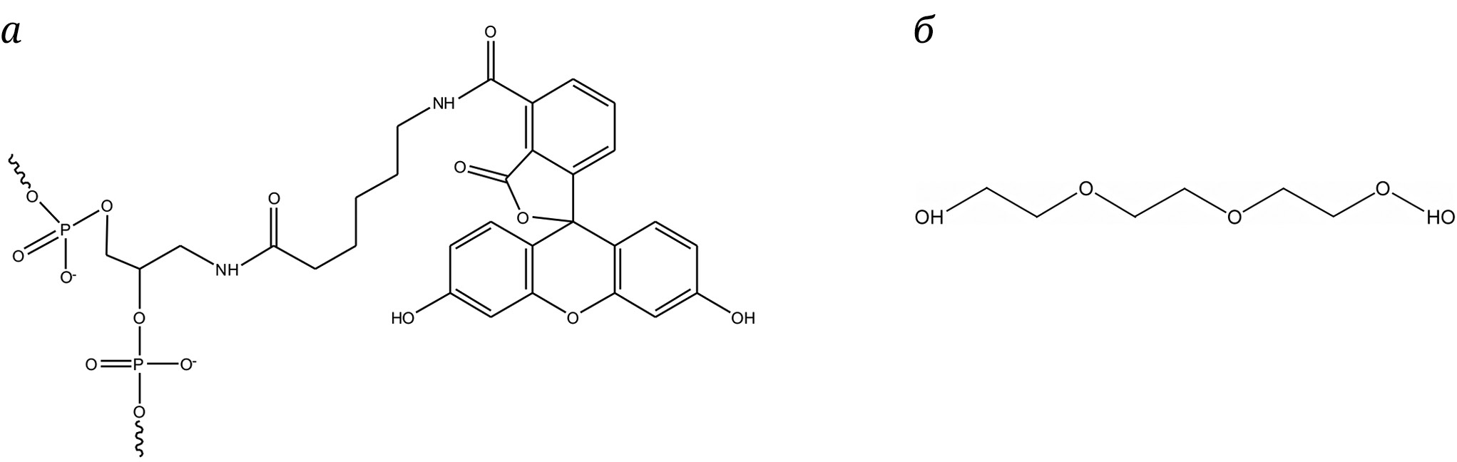
Для формирования модельных ДНК-дуплексов nFlu- и TEG-содержащие цепи (nFlu/TEG-ДНК), а также немодифицированную и TEG-содержащую цепи (nm/TEG-ДНК) смешивали в эквимолярном соотношении, после чего инкубировал и при температуре 95 °C в течение 5 мин и медленно охлаждали до комнатной температуры. Химические структуры nFlu и TEG представлены на рис. 1.
Рис. 1. Химические структуры nFlu (а) и TEG (б)
Культивирование клеток. Фибробласты кожи голого землекопа (NSF8) культивировали в среде αMEM, содержащей эмбриональную сыворотку теленка (15% v/v; «Thermo Fisher Scientific», США), 10% AmnioMAX II Complete Medium («Thermo Fisher Scientific»), основной фактор роста фибробластов (bFGF; 5 нг/мл; «ПанЭко», Россия), пеницилин (0,1 ед./мл), стрептомицин (100 мкг/мл) и амфотерицин Б (2,5 мкг/мл), при температуре 32 °C в атмосфере 5% CO2. Эмбриональные фибробласты мыши культивировали в среде αMEM, содержащей эмбриональную сыворотку теленка (15% v/v;), пеницилин (0,1 ед./мл), стрептомицин (100 мкг/мл) и амфотерицин Б (2,5 мкг/мл), при температуре 37 °C в атмосфере 5% CO2. Все клеточные линии были предоставлены ИМКБ СО РАН («Коллекция культур клеток общебиологического назначения»; № 0310-2016-0002).
Получение NER-компетентных клеточных экстрактов. Работу проводили по протоколу, представленному в работе Reardon и Sancar [15]. Клетки ресуспендировали в четырех PCV (packed cell volume – объем биомассы клеток, предварительно собранных центрифугированием в течение 10 мин при 1000 g) гипотонического буфера для лизиса (10 мM Tris-HCl (pH 8,0); 1 мM ЭДТА; 5 мМ ДТТ) и выдерживали в течение 20 мин во льду, после чего разрушали с помощью стеклянного гомогенизатора Поттера с использованием плотно притертой пары (20 движений пестика). Полученный гомогенат, помещенный в стеклянный стаканчик на ледяной бане, растворяли в 4 PCV сахарозно-глицеринового буфера (50 мM Tris-HCl (pH 8,0); 10 мM MgCl2; 2 мM ДТТ; 25% (m/v) сахарозы; 50% (v/v) глицерина), после чего к нему добавляли 1 PCV насыщенного нейтрализованного раствора (NH4)2SO4 (pH 7,0) в течение 30 мин.
После ультрацентрифугирования (3 ч, 100 000 g, 4 °С) супернатант собирали, после чего к нему добавляли сухой измельченный (NH4)2SO4 (из расчета 0,33 г/мл) и 1 M NaOH для поддержания нейтрального pH, и перемешивали в течение 30 мин. Осадок собирали центрифугированием (45 мин, 12 000 g, 4 °С), после чего растворяли в равном объеме буфера для NER-компетентных экстрактов (25 мM Hepes (pH 7,9); 100 мM KCl; 12 мM MgCl2; 0,5 мM ЭДТА; 2 мM ДТТ; 12% (v/v) глицерина). Полученный раствор диализовали против 500 мл того же буфера в течение 2 ч, после чего диализный буфер заменяли на свежеприготовленный и диализ вели еще 14–16 ч. Осадок денатурированного белка удаляли центрифугированием (10 мин, 13 400 g, 4 °С). Полученный клеточный экстракт в виде аликвот замораживали в жидком азоте и хранили при –70 °С.
Определение концентрации белка в клеточных экстрактах. Концентрацию белка в препаратах экстракта определяли по методу Бредфорда с использованием набора Quick Start™ Bradford protein assay («Bio-Rad Laboratories», США), следуя приложенной инструкции. В качестве стандарта для построения калибровочной кривой использовали БСА.
Проведение реакции NER. Реакционную смесь для проведения реакции NER (30 мкл), которая содержала 16 нМ ДНК-субстрата, 0,4 мкг/мкл NER-компетентного экстракта клеток, 0,5 мМ смесь дезоксинуклеозидтрифосфатов (dNTP), 0,066 ед./мкл Taq ДНК-полимеразы и 0,5 мкМ олигонуклеотид (ОДН-11) для защиты от нуклеаз, специфичных к оц. участкам ДНК (таблица), в буфере (25 мМ Тris-HCl (pH 7,8); 45 мМ NaCl; 4,4 мМ MgCl2; 0,1 мМ ЭДТА; 4 мМ ATP), инкубировали при 30 °C в течение 30 мин. Реакцию останавливали прогревом реакционной смеси при 65 °C в течение 20 мин. Аликвоту инактивированной после инкубации с белками экстракта реакционной смеси (1 мкл) разбавляли в H2O (до концентрации ДНК, равной 1 × 10–12 М), после чего использовали для анализа с помощью PCR в режиме реального времени.
qPCR-анализ. Реакционная смесь (25 мкл) для проведения PCR содержала 1 мкл разбавленной инактивированной реакционной смеси для проведения реакции NER и следующие компоненты (указаны финальные концентрации): 0,3 мкМ праймеров 1 и 2 (табл. 1); 0,06 ед./мкл Taq ДНК-полимеразы с «горячим стартом»; 0,25 мМ смесь dNTP; 0,5× краситель SYBR Green I («Lumiprobe», Россия); 1× PCR-буфер (75 мМ Tris-HCl (pH 8,8); 2 мМ (NH4)2SO4, 0,01% Tween 20; 3 мМ MgCl2). Реакцию проводили в 96-луночных планшетах (белый, низкопрофильный пластик; «BIOplastics BV», Нидерланды) на амплификаторе LightCycler 96 («Roche», Швейцария) при заданной программе PCR: 95 °C – 5 мин, 1 цикл; 95 °C – 15 с, 58 °C – 15 с, 72 °C – 10 с (считывание сигнала), 35 циклов; плавление продуктов PCR; охлаждение до 37 °C.
Полученные в ходе анализа кривых амплификации значения порогового цикла С(t) были использованы для расчета разницы dC(t) по формуле (1):
, (1)
где C(t)x – значение С(t) для анализируемой пробы; C(t)nFlu/TEG-ДНК – значение С(t) для nFlu/TEG-ДНК в контрольном образце, который не подвергался воздействию белков клеточного экстракта.
Статистическую значимость определяли с помощью t-критерия Стьюдента, где * p < 0,05; ** p < 0,01; *** p < 0,001.
РЕЗУЛЬТАТЫ И ОБСУЖДЕНИЕ
Мы разработали основанный на использовании qPCR метод оценки эффективности удаления объемных повреждений in vitro, который включает использование в качестве субстрата протяженного (160 п.н.) линейного ДНК-дуплекса, содержащего по одному модифицированному звену в каждой из цепей, и NER-компетентных клеточных экстрактов (рис. 2).
Рис. 2. Схематическое изображение предлагаемого подхода для оценки эффективности удаления объемных повреждений in vitro с помощью qPCR
Объемная модификация nFlu хорошо распознается и удаляется из ДНК белками системы NER [8, 10, 14]. Необъемная модификация на основе TEG представляет собой аналог апурин/апиримидинового сайта и, предположительно, может подвергаться воздействию белков системы эксцизионной репарации оснований (base excision repair, BER), однако введенная с 5′-стороны от TEG фосфотиоатная группа, устойчивая к воздействию нуклеаз [16], блокирует процессинг TEG эндогенной АР-эндонуклеазой экстрактов. Присутствие этих модификаций в цепях ДНК-субстрата препятствует элонгации праймеров 1 и 2, катализируемой Taq ДНК-полимеразой в ходе PCR (рис. 2). Удаление белками системы NER фрагмента ДНК, содержащего nFlu, должно приводить к восстановлению структуры одной из цепей ДНК, в результате чего данная цепь может быть копирована при элонгации праймера 1. Образуемая при этом копия ДНК, не несущая модификаций, становится полноценной матрицей, которая беспрепятственно будет амплифицироваться в последующих циклах PCR.
В процессе разработки метода нами были сконструированы и использованы два типа модельных ДНК. nFlu/TEG-ДНК содержит обе модификации и является субстратом для системы NER (рис. 2). Взаимное расположение nFlu и TEG в модельной ДНК таково, что присутствие TEG не влияет на способность nFlu подвергаться реакции специфической эксцизии, катализируемой белками NER [11]. nm/TEG-ДНК, содержащая только TEG, имитирует продукт репарации цепи ДНК-субстрата, содержащей объемное повреждение (рис. 2).
С использованием синтезированных матриц и SYBR Green I в качестве флуоресцентного красителя была проведена PCR для оценки условий амплификации. Эффективность PCR рассчитывали на основе данных калибровочного графика, для построения которого была использована nm/TEG-ДНК в интервале концентраций от 4 × 10–11 до 4 × 10–15 М (рис. 3, а–в).
Рис. 3. Анализ результатов амплификации nFlu/TEG- и nm/TEG-ДНК. Представлены кривые амплификации стандартных образцов nm/TEG-ДНК (а), калибровочный график (б) и результаты расчета эффективности амплификации nm/TEG-ДНК (в). г – Пример кривых амплификации nm/TEG- и nFlu/TEG-ДНК; д – средние значения С(t) и стандартное отклонение для nm/TEG- и nFlu/TEG-ДНК, полученные по результатам трех измерений; е – кривые плавления продуктов амплификации nm/TEG- и nFlu/TEG-ДНК
Для оценки амплификации модельных nFlu/TEG-ДНК и nm/TEG-ДНК мы выбрали концентрацию ДНК, равную 4 × 10–12 М. Результаты проведенной сравнительной оценки амплификации nFlu/TEG-ДНК и nm/TEG-ДНК подтвердили возможность использования ДНК-субстрата, сконструированного нами (рис. 3, г). Значение порогового цикла C(t) для nm/TEG- и nFlu/TEG-ДНК составило 12,12 ± 0,29 и 19,28 ± 0,52 цикла соответственно (рис. 3, д); разница в значениях порогового цикла между nFlu/TEG- и nm/TEG-ДНК (dC(t)) составила 7,17 ± 0,43 цикла. Таким образом, субстрат и продукт реакции специфической эксцизии различимы в ходе проведения PCR.
Одной из возможных причин амплификации nFlu/TEG-ДНК может быть присутствие в препарате синтетической примеси ДНК, содержащей цепь без модификации (nm/TEG-ДНК). Тем не менее при анализе кривых плавления продуктов амплификации nFlu/TEG-ДНК и nm/TEG-ДНК мы наблюдали расхождение пиков кривых плавления PCR-продуктов и, как следствие, выявили незначительное различие в их температурах плавления (Tm) – 90,37 ± 0,11 °C для nFlu/TEG-ДНК и 90,99 ± 0,03 °C для nm/TEG-ДНК соответственно (рис. 3, е). На основе этих данных мы предполагаем, что образуемые продукты амплификации nFlu/TEG-ДНК и nm/TEG-ДНК несколько отличаются по своей нуклеотидной последовательности, что может быть обусловлено склонностью Taq ДНК-полимеразы к транслезионному синтезу, в результате которого на этапе элонгации праймера фермент c невысокой вероятностью может включать в цепь случайный нуклеотид (предпочтительно дезоксиаденозин) напротив объемной модификации ДНК [17–20].
Используя сконструированный субстрат nFlu/TEG-ДНК, мы провели оценку эффективности удаления объемных повреждений ДНК in vitro белками клеток долгоживущего голого землекопа (H. glaber) и короткоживущей мыши (M. musculus) с помощью qPCR. К настоящему времени известно, что клетки H. glaber демонстрируют высокую устойчивость к генотоксическим воздействиям, онкотрансформации и клеточному старению, что во многом обеспечивается эффективным функционированием клеточных систем поддержания стабильности генома [21–24]. Сравнительная оценка эксцизионной активности NER в клетках H. glaber и M. musculus ранее проводилась с применением метода постэксцизионного мечения продуктов специфической эксцизии [14]. Результаты контрольных экспериментов, проведенных в данном исследовании, показали, что эффективность эксцизии поврежденного фрагмента ДНК, содержащего nFlu, из модельного ДНК-дуплекса (137 п.н.) белками экстракта клеток H. glaber была в 1,5–2 раза выше по сравнению с M. musculus [14]. Мы решили сопоставить результаты, полученные с помощью разработанного метода, с данными, ранее полученными нами в работе Evdokimov et al. [14], для чего в качестве модельных систем были использованы аналогичные препараты экстрактов клеток H. glaber и M. musculus. Чтобы адаптировать протокол проведения реакции NER к последующей детекции методом qPCR, мы внесли в него некоторые изменения.
Для проведения PCR критически важен не только этап специфической эксцизии объемного повреждения, но и этап восстановления нативной структуры цепи (рис. 2). Используемые в качестве модельных систем для определения активности NER in vitro NER-компетентные клеточные экстракты, полученные из клеток или тканей различных типов, могут различаться по содержанию необходимых для застраивания одноцепочечной «бреши» компонентов, что может существенно повлиять на результаты, полученные при оценке эксцизионной активности NER с использованием клеточных экстрактов. Чтобы нивелировать эти эффекты, мы добавляли в реакционную смесь для проведения NER Taq ДНК-полимеразу и смесь dNTP.
С использованием разработанного протокола была проведена сравнительная оценка зависимости эффективности репарации nFlu/TEG-ДНК от времени инкубации с белками экстракта клеток H. glaber и M. musculus (рис. 4, а и б).
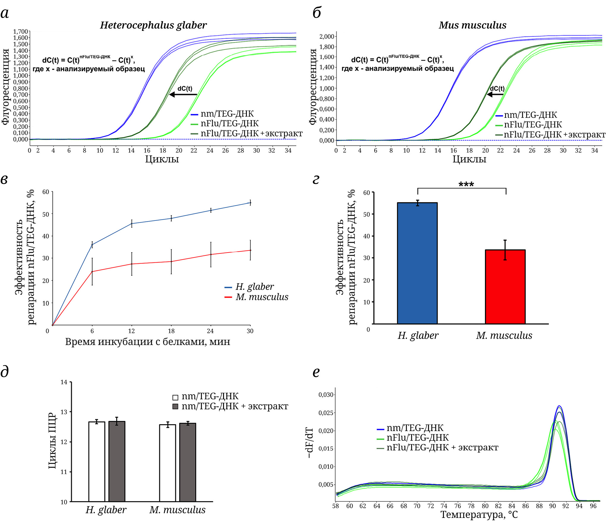
Рис. 4. Сравнительная оценка эффективности репарации nFlu/TEG-ДНК белками экстракта клеток Heterocephalus glaber и Mus musculus с помощью qPCR. Кривые амплификации nm/TEG-ДНК (фиолетовый цвет), nFlu/TEG-ДНК (зеленый цвет) и nFlu/TEG-ДНК после 30 мин инкубации с белками экстракта (темно-зеленый цвет), полученные для H. glaber (а) и M. musculus (б); в – сравнение эффективности репарации nFlu/TEG-ДНК белками NER экстракта клеток H. glaber (синий цвет) и M. musculus (красный цвет) в зависимости от времени инкубации; г – диаграмма, демонстрирующая различия в эффективности репарации nFlu/TEG-ДНК белками экстракта H. glaber (синий цвет) и M. musculus (красный цвет) после 30 мин инкубации; д – оценка воздействия белков экстрактов клеток H. glaber и M. musculus на nm/TEG-ДНК, не содержащей объемного повреждения, после 30 мин инкубации; е – пример кривых плавления продуктов амплификации nm/TEG-ДНК (фиолетовый цвет), nFlu/TEG-ДНК (зеленый цвет) и nFlu/TEG-ДНК после 30 мин инкубации с белками NER (темно-зеленый цвет) экстракта клеток M. musculus. Представлены результаты трех биологических повторов со стандартным отклонением, *** p < 0,001
Расчет эффективности репарации nFlu/TEG-ДНК осуществляли на основе полученных средних значений dC(t), переведенных в проценты. При расчетах за 100% было принято значение разницы в C(t) для nFlu/TEG- и nm/TEG-ДНК, полученное в базовых контрольных экспериментах, проведенных без выдерживания модельных ДНК с белками экстракта. Эффективность репарации nFlu/TEG-ДНК была более высокой на всем временном промежутке инкубации с белками экстракта клеток H. glaber (рис. 4, в) и после 30 мин составила 55,67 ± 0,42%, в то время как после инкубации с белками экстракта клеток M. musculus эффективность репарации была значительно ниже и составила 35,17 ± 1,42% соответственно (рис. 4, г). Инкубация nm/TEG-ДНК с белками экстрактов в течение 30 мин не приводила к заметному изменению в значениях C(t), что говорит об отсутствии значимого влияния неспецифического воздействия белков экстрактов в обоих случаях. Белки экстракта клеток H. glaber практически в 1,5 раза более эффективно удаляли объемное повреждение nFlu из модельного ДНК-субстрата, чем белки экстракта клеток M. musculus. Полученные данные согласуются с результатами контрольных экспериментов, выполненных нами ранее с использованием аналогичных препаратов клеточных экстрактов методом постэксцизионного мечения продуктов эксцизии [14]. Сходство значений Tm и положения пиков кривых плавления продуктов амплификации, которые мы наблюдали для nFlu/TEG-ДНК, процессированной белками экстракта, и контрольной nm/TEG-ДНК (90,98 ± 0,04 °C и 91,00 ± 0,06 °C соответственно), дополнительно подтверждает факт удаления объемного повреждения из ДНК и восстановление её корректной нуклеотидной последовательности в процессе репарации (рис. 4, г).
Несмотря на то что использованные для проверки разработанного метода фибробласты кожи долгоживущего H. glaber и эмбриональные фибробласты короткоживущей M. musculus различаются по своей природе, что может несколько снижать наблюдаемую разницу между эффективностью удаления объемных повреждений белками экстрактов этих млекопитающих, сравнительная оценка, проведенная методом постэксцизионного мечения и с использованием qPCR, свидетельствует о том, что удаление объемных повреждений системой NER действительно осуществляется более эффективно в клетках H. glaber. Это согласуется с современными представлениями о значительном вкладе систем репарации ДНК в обеспечении высокой стабильности генома H. glaber, обитающего в условиях постоянного окислительного стресса [25–27]. Не исключено, что в эффективном удалении объемных повреждений в клетках H. glaber могут играть важную роль и другие системы репарации ДНК, такие как BER, высокая активность которой также была отмечена в клетках H. glaber [14, 27]. Возможность участия белков BER и не только этой системы в репарации УФ-повреждений недавно была продемонстрирована в экспериментах на клетках человека, дефицитных по XPA – одного из основных белковых факторов, вовлеченных в процесс NER [28, 29]. Таким образом, разработанный метод открывает перспективы для дальнейшего использования в исследованиях, направленных не только на изучение репарации ДНК в клетках долгоживущих млекопитающих, но и на поиск функциональной взаимосвязи различных систем репарации ДНК, участвующих в удалении объемных повреждений.
ЗАКЛЮЧЕНИЕ
Разработанный нами способ позволил оценить эффективность удаления объемных повреждений ДНК in vitro с использованием экстрактов клеток долгоживущего H. glaber и короткоживущей M. musculus. Белки экстракта клеток H. glaber обеспечивали более эффективное распознавание и удаление объемного повреждения nFlu из модельного ДНК-субстрата по сравнению с белками экстракта клеток M. musculus, что согласуется с ранее опубликованными данными [14]. Таким образом, простая и быстрая процедура выполнения разработанного способа, основанного на использовании qPCR-анализа, может способствовать его дальнейшему широкому применению как в фундаментальных исследованиях процесса репарации ДНК, так и для оперативной оценки репаративного статуса пациентов, применяемой в клинической практике.
Вклад авторов. А.А. Попов, В.А. Шаманин, И.О. Петрусева – проведение экспериментов; А.А. Попов, И.О. Петрусева, А.Н. Евдокимов, О.И. Лаврик – написание и редактирование текста статьи; И.О. Петрусева, О.И. Лаврик – руководство работой.
Финансирование. Работа выполнена при финансовой поддержке Российского научного фонда (грант № 19-74-10056-П).
Конфликт интересов. Авторы заявляют об отсутствии конфликта интересов.
Соблюдение этических норм. Настоящая статья не содержит описания каких-либо исследований с участием людей или животных в качестве объектов.
About the authors
A. A. Popov
Institute of Chemical Biology and Fundamental Medicine of the Siberian Branch of the Russian Academy of Sciences
Email: lavrik@niboch.nsc.ru
Russian Federation, Novosibirsk
V. A. Shamanin
BioLink LLC
Email: lavrik@niboch.nsc.ru
Russian Federation, Novosibirsk
I. O. Petruseva
Institute of Chemical Biology and Fundamental Medicine of the Siberian Branch of the Russian Academy of Sciences
Email: lavrik@niboch.nsc.ru
Russian Federation, Novosibirsk
A. N. Evdokimov
Institute of Chemical Biology and Fundamental Medicine of the Siberian Branch of the Russian Academy of Sciences
Email: lavrik@niboch.nsc.ru
Russian Federation, Novosibirsk
O. I. Lavrik
Institute of Chemical Biology and Fundamental Medicine of the Siberian Branch of the Russian Academy of Sciences; Novosibirsk National Research State University
Author for correspondence.
Email: lavrik@niboch.nsc.ru
Russian Federation, Novosibirsk; Novosibirsk
References
- Chatterjee, N., and Walker, G. C. (2017) Mechanisms of DNA damage, repair, and mutagenesis, Environ. Mol. Mutagen., 58, 235-263, https://doi.org/10.1002/em.22087.
- Krasikova, Y., Rechkunova, N., and Lavrik, O. (2021) Nucleotide excision repair: from molecular defects to neurological abnormalities, Int. J. Mol. Sci., 22, 6220, https://doi.org/10.3390/ijms22126220.
- Paccosi, E., Balajee, A. S., and Proietti-De-Santis, L. (2022) A matter of delicate balance: loss and gain of Cockayne syndrome proteins in premature aging and cancer, Front. Aging, 3, 960662, https://doi.org/10.3389/fragi.2022.960662.
- Yurchenko, A. A., Rajabi, F., Braz-Petta, T., Fassihi, H., Lehmann, A., Nishigori, C., Wang, J., Padioleau, I., Gunbin, K., Panunzi, L., Morice-Picard, F., Laplante, P., Robert, C., Kannouche, P. L., Menck, C. F. M., Sarasin, A., and Nikolaev, S. I. (2023) Genomic mutation landscape of skin cancers from DNA repair-deficient xeroderma pigmentosum patients, Nat. Commun., 14, 2561, https://doi.org/10.1038/s41467-023-38311-0.
- Kap, E. J., Popanda, O., and Chang-Claude, J. (2016) Nucleotide excision repair and response and survival to chemotherapy in colorectal cancer patients, Pharmacogenomics, 17, 755-794, https://doi.org/10.2217/pgs-2015-0017.
- Bowden, N. A. (2014) Nucleotide excision repair: why is it not used to predict response to platinum-based chemotherapy? Cancer Lett., 346, 163-171, https://doi.org/10.1016/j.canlet.2014.01.005.
- Kiwerska, K., and Szyfter, K. (2019) DNA repair in cancer initiation, progression, and therapy-a double-edged sword, J. Appl. Genet., 60, 329-334, https://doi.org/10.1007/s13353-019-00516-9.
- Evdokimov, A., Petruseva, I., Tsidulko, A., Koroleva, L., Serpokrylova, I., Silnikov, V., and Lavrik, O. (2013) New synthetic substrates of mammalian nucleotide excision repair system, Nucleic Acids Res., 41, e123, https:// doi.org/10.1093/nar/gkt301.
- Liu, Z., Ding, S., Kropachev, K., Lei, J., Amin, S., Broyde, S., and Geacintov, N. E. (2015) Resistance to nucleotide excision repair of bulky guanine adducts opposite abasic sites in DNA duplexes and relationships between structure and function, PLoS One, 10, e0142068, https://doi.org/10.1371/journal.pone.0137124.
- Lukyanchikova, N. V., Petruseva, I. O., Evdokimov, A. N., Silnikov, V. N., and Lavrik, O. I. (2016) DNA with damage in both strands as affinity probes and nucleotide excision repair substrates, Biochemistry (Moscow), 81, 263-274, https://doi.org/10.1134/S0006297916030093.
- Naumenko, N., Petruseva, I., Lomzov, A., and Lavrik, O. (2021) Recognition and removal of clustered DNA lesions via nucleotide excision repair, DNA Repair (Amst), 108, 103225, https://doi.org/10.1016/j.dnarep.2021.103225.
- Chesner, L. N., and Campbell, C. (2018) A quantitative PCR-based assay reveals that nucleotide excision repair plays a predominant role in the removal of DNA-protein crosslinks from plasmids transfected into mammalian cells, DNA Repair (Amst), 62, 18-27, https://doi.org/10.1016/j.dnarep.2018.01.004.
- Shen, J. C., Fox, E. J., Ahn, E. H., and Loeb, L. A. (2014) A rapid assay for measuring nucleotide excision repair by oligonucleotide retrieval, Sci. Rep., 4, 1-10, https://doi.org/10.1038/srep04894.
- Evdokimov, A., Kutuzov, M., Petruseva, I., Lukjanchikova, N., Kashina, E., Kolova, E., Zemerova, T., Romanenko, S., Perelman, P., Prokopov, D., Seluanov, A., Gorbunova, V., Graphodatsky, A., Trifonov, V., Khodyreva, S., and Lavrik, O. (2018) Naked mole rat cells display more efficient excision repair than mouse cells, Aging (Albany NY), 10, 1454-1473, https://doi.org/10.18632/aging.101482.
- Reardon, J. T., and Sancar, A. (2006) Purification and characterization of Escherichia coli and human nucleotide excision repair enzyme systems, Methods Enzymol., 408, 189-213, https://doi.org/10.1016/S0076-6879(06)08012-8.
- Clavé, G., Reverte, M., Vasseur, J. J., and Smietana, M. (2020) Modified internucleoside linkages for nuclease-resistant oligonucleotides, RSC Chem. Biol., 2, 94-150, https://doi.org/10.1039/d0cb00136h.
- Smith, C. A., Baeten, J., and Taylor, J. S. (1998) The ability of a variety of polymerases to synthesize past site-specific cis-syn, trans-syn-II, (6-4), and Dewar photoproducts of thymidylyl-(3′→5′)-thymidine, J. Biol. Chem., 273, 34, 21933-21940, https://doi.org/10.1074/jbc.273.34.21933.
- Taylor, J. S. (2002) New structural and mechanistic insight into the A-rule and the instructional and non-instructional behavior of DNA photoproducts and other lesions, Mutat. Res., 510, 55-70, https://doi.org/ 10.1016/s0027-5107(02)00252-x.
- Khare, V., and Eckert, K. A. (2002) The proofreading 3′→5′ exonuclease activity of DNA polymerases: a kinetic barrier to translesion DNA synthesis, Mutat. Res., 510, 45-54, https://doi.org/10.1016/s0027-5107(02)00251-8.
- Obeid, S., Schnur, A., Gloeckner, C., Blatter, N., Welte, W., Diederichs, K., and Marx, A. (2011) Learning from directed evolution: Thermus aquaticus DNA polymerase mutants with translesion synthesis activity, Chembiochem., 12, 1574-1580, https://doi.org/10.1002/cbic.201000783.
- Evdokimov, A., Popov, A., Ryabchikova, E., Koval, O., Romanenko, S., Trifonov, V., Petruseva, I., Lavrik, I., and Lavrik, O. (2021) Uncovering molecular mechanisms of regulated cell death in the naked mole rat, Aging (Albany NY), 13, 3239-3253, https://doi.org/10.18632/aging.202577.
- Yamamura, Y., Kawamura, Y., Oka, K., and Miura, K. (2022) Carcinogenesis resistance in the longest-lived rodent, the naked mole-rat, Cancer Sci., 113, 4030-4036, https://doi.org/10.1111/cas.15570.
- Boughey, H., Jurga, M., and El-Khamisy, S. F. (2021) DNA homeostasis and senescence: lessons from the naked mole rat, Int. J. Mol. Sci., 22, 11, 6011, https://doi.org/10.3390/ijms22116011.
- Hadj-Moussa, H., Eaton, L., Cheng, H., Pamenter, M. E., and Storey, K. B. (2022) Naked mole-rats resist the accumulation of hypoxia-induced oxidative damage, Comp. Biochem. Physiol. A Mol. Integr. Physiol., 273, 111282, https://doi.org/10.1016/j.cbpa.2022.111282.
- Buffenstein R. (2005) The naked mole-rat: a new long-living model for human aging research, J. Gerontol. A Biol. Sci. Med. Sci., 60, 1369-1377, https://doi.org/10.1093/gerona/60.11.1369.
- Gorbunova, V., Seluanov, A., Zhang, Z., Gladyshev, V. N., and Vijg, J. (2014) Comparative genetics of longevity and cancer: insights from long-lived rodents, Nat. Rev. Genet., 15, 531-540, https://doi.org/10.1038/nrg3728.
- MacRae, S. L., Croken, M. M., Calder, R. B., Aliper, A., Milholland, B., White, R. R., Zhavoronkov, A., Gladyshev, V. N., Seluanov, A., Gorbunova, V., Zhang, Z. D., and Vijg, J. (2015) DNA repair in species with extreme lifespan differences, Aging (Albany NY), 7, 1171-1184, https://doi.org/10.18632/aging.100866.
- Gautam, A., Fawcett, H., Burdova, K., Brazina, J., and Caldecott, K. W. (2023) APE1-dependent base excision repair of DNA photodimers in human cells, Mol. Cell, 83, 3669-3678.e7, https://doi.org/10.1016/j.molcel.2023.09.013.
- Saha, L. K., Wakasugi, M., Akter, S., Prasad, R., Wilson, S. H., Shimizu, N., Sasanuma, H., Huang, S. N., Agama, K., Pommier, Y., Matsunaga, T., Hirota, K., Iwai, S., Nakazawa, Y., Ogi, T., and Takeda, S. (2020) Topoisomerase I-driven repair of UV-induced damage in NER-deficient cells, Proc. Natl. Acad. Sci. USA, 117, 14412-14420, https:// doi.org/10.1073/pnas.1920165117.
Supplementary files






