Internal Structure of Venus Based on the PREM Model
- Authors: Amorim D.1, Gudkova T.V.2
-
Affiliations:
- Moscow Institute of Physics and Technology, Moscow, Russia
- Schmidt Institute of Physics of the Earth, Russian Academy of Sciences, Moscow, Russia
- Issue: Vol 57, No 5 (2023)
- Pages: 403-414
- Section: Articles
- URL: https://bakhtiniada.ru/0320-930X/article/view/148168
- DOI: https://doi.org/10.31857/S0320930X23040023
- EDN: https://elibrary.ru/RDSNQR
- ID: 148168
Cite item
Full Text
Abstract
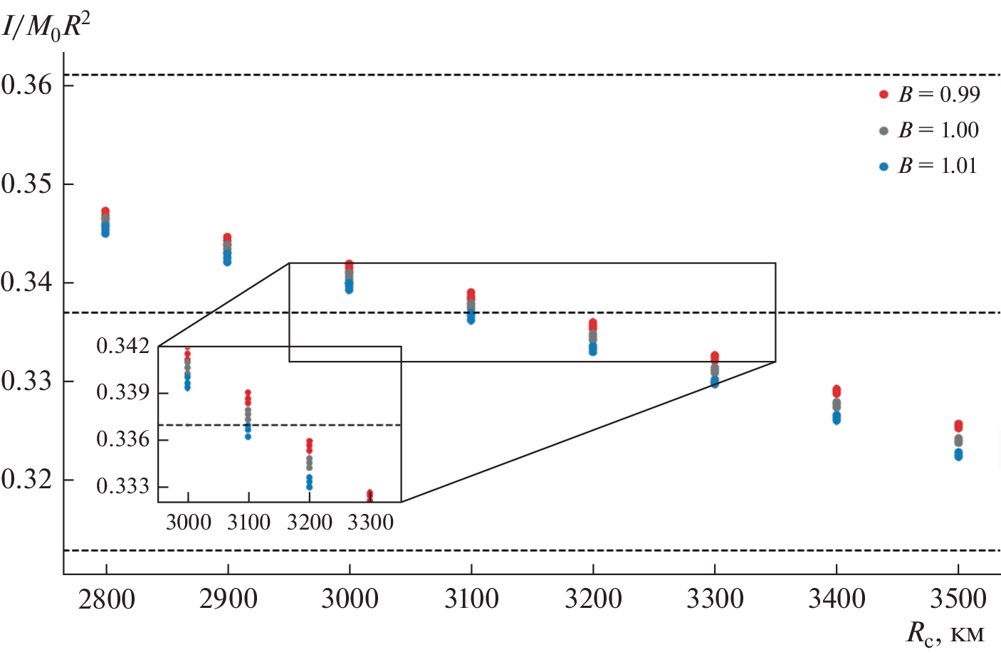
Models of the internal structure of Venus have been constructed with a wide range of crustal thickness (30–70 km) and core radius (2800–3500 km). An analysis of the pressure values in the center of the planet allows us to conclude that the presence of a solid inner core is unlikely if the composition and temperature profile of Venus correspond to that of the Earth. Andrade’s rheology was used to take into account the inelasticity of the interior of Venus when calculating the tidal Love numbers and the angle of delay of the tidal hump. Comparison of experimental values of the Love number k2 with the model gives the radius of the core of Venus in the range of 3100–3500 km. It is shown that to determine the characteristic viscosity of the Venusian mantle, the key factor is the determination of the angle of retardation of the tidal bulge: values of 0.9° correspond to low viscosity and high temperature, and 0.4° to high viscosity and low temperature, so the planned measurements of tidal parameters and the moment of inertia of the planet in the VERITAS and EnVision missions will be able to impose restrictions on the distribution of viscosity and temperature in the interior of Venus.
About the authors
D.O. Amorim
Moscow Institute of Physics and Technology, Moscow, Russia
Email: amorim.dargilan@gmail.com
Россия, Москва
T. V. Gudkova
Schmidt Institute of Physics of the Earth, Russian Academy of Sciences, Moscow, Russia
Author for correspondence.
Email: gudkova@ifz.ru
Россия, Москва
References
- Гудкова Т.В., Жарков В.Н. Модели внутреннего строения землеподобной Венеры // Астрон. вестн. 2020. Т. 54. № 1. С. 24–32. (Gudkova T.V., Zharkov V.N. Models of the internal structure of the Earth-like Venus // Sol. Syst. Res. 2020. V. 54. № 1. P. 20–27.)
- Жарков В.Н. Физика земныхнедр. М.: ОООНаукаиобразование, 2012. 386 с.
- Жарков В.Н. Внутреннее строение Земли и планет. Элементарное введение в планетную и спутниковую геофизику. М.: ООО Наука и образование, 2013. 414 с.
- Жарков В.Н., Трубицын В.П. Физика планетных недр. М.: Наука, 1980. 448 с.
- Жарков В.Н., Засурский И.Я. Физическая модель Венеры // Астрон. вестн. 1982. Т. 16. С. 18–28. (Zharkov V.N., Zasurskii I.Ya. Aphysicalmodel of Venus // Sol. Syst. Res. 1982. V. 16. P. 14–22.)
- Жарков В.Н., Гудкова Т.В. О параметрах землеподобной модели Венеры // Астрон. вестн. 2019. Т. 53. № 1. С. 3–6. (Zharkov V.N., Gudkova T.V. On parameters of the Earth-like model of Venus // Sol. Syst. Res. 2019. V. 53. P. 1–4.)
- Козловская С.В. Внутреннее строение Венеры и содержание железа в планетах земной группы // Астрон. вестн. 1982. Т. 16. № 1. С. 3–17. (Kozlovskaya S.V. The internal structure of Venus and the iron content in theterrestrialplanets // Sol. Syst. Res.1982.V. 16. № 1. P. 1–14.)
- Молоденский М.С. Гравитационное поле, фигура и внутреннее строение Земли. М.: Наука, 2001. 569 с.
- Aitta A. Venus’ internal structure, temperature and core composition // Icarus. 2012. V. 218. P. 967–974.
- Alterman Z., Jarosch H., Pekeris C.L. Oscillations of the Earth // Proc. Roy. Soc. London. Ser. A: Math. and Phys. Sci. 1959. V. 252. № 1268. P. 80–95.
- Armann M., Tackley P. Simulating the thermochemical magmatic and tectonic evolution of Venus’ mantle and lithosphere: Two-dimensional models // J. Geophys. Res.: Planets. 2012. V. 117. id. E12003. https://doi.org/10.1029/2012IE004231.
- Bagheri A., Efroimsky M., Castillo-Rogez J., Goossens S., Plesa A.-C., Rambaux N., Walterová M., Khan A., Giardini D. Tidal insights into rocky and icy bodies: An introduction and overview // Adv. Geophys. 2022. V. 63. P. 231–320.
- Bierson C.J., Nimmo F. A test for Io’s magma ocean: Modeling, tidal dissipation with a partially molten mantle // J. Geophys. Res.: Planets. 2016. V. 121. № 11. P. 2211–2224.
- Bills B.G., Currey D.R., Marshall G.A. Viscosity estimates for the crust and upper mantle from patterns of lacustrine shore line deformation in the eastern great basin // J. Geophys. Res.: Solid Earth. 1994. V. 99. № B11. P. 22059–22086.
- Cascioli G., Hensley S., De Marchi F., Breuer D., Durante D., Racioppa P., IessL., Mazarico E., Smrekar S.E. The determination of the rotational state and interior structure of Venus with VERITAS // Planet. Sci. J. 2021. V. 2. P. 220–231.
- Castillo-Rogez J.C., Efroimsky M., Lainey V. The tidal history of Japetus: Spin dynamics in the light of a refined dissipation model // J. Geophys. Res: Planets. 2011. V. 116. id. E9.
- Čížková H., van den Berg A.P., Spakman W., Matyska C. The viscosity of Earth’s lower mantle inferred sinking speed of subducted lithosphere // Phys. Earth and Planet. Inter. 2012. V. 200. P. 56–62.
- Dumoulin C., Tobie G., Verhoeven O., Rambaux N. Tidal constraints on the interiorof Venus // J. Geophys. Res.: Planets. 2017. V. 122. № 6. P. 1338–1352.
- Dziewonski A.M., Hales A.L., Lapwond E.R. Parametrically simple Earth models consistent with geophysical data // Phys. Earthand Planet. Inter. 1975. V. 10. P. 12–48.
- Dziewonski A.M., Anderson D.L. Preliminary reference earth model // Phys. Earth and Planet. Inter. 1981. V. 25. № 4. P. 297–356.
- Gribb T.T., Cooper R.F. Low-frequency shear attenuation in polycrystalline olivine: Grain boundary diffusion and the physical significance of the Andrade model for viscoelastic rheology // J. Geophys. Res.: Solid Earth. 1998. V. 103. № B11. P. 27267–27279.
- Harig C., Zhong S., Simons F.J. Constraints on upper mantle viscosity from the flow-induced pressure gradient across the Australian continental keel // Geochem., Geophys., Geosyst. 2010. V. 11. id. Q06004. https://doi.org/10.1029/2010GC00303
- Jackson I. Properties of rock and minerals-physical origins of anelasticity and attenuation in rock // Treatise on Geophysics (Second Edition). Amsterdam: Elsevier, 2015. V. 2. P. 539–571.
- Jackson I., Faul U.H. Grainsize-sensitive viscoelastic relaxation in olivine: Towards a robust laboratory-basedmodel for seismological applications // Phys. Earth andPlanet Inter. 2010. V. 183. P. 151–164.
- Jiménez-Díaz A., Ruiz J., Kirby J.F., Romeo I., Tejero R., Capote R. Lithopsheric structure of Venus from gravity and topography // Icarus. 2015. V. 260. P. 215–231.
- Konopliv A.S., Yoder C.F. Venusian k2 tidal love number from Magellan and PRO tracking data // Geophys. Res. Lett. 1996. V. 23. № 14. P.1857–1860.
- Love A.E.H. The yielding of the Earth to disturbing forces // Proc. Roy. Soc. London. Ser. A. Containing Papers of a Mathematical and Physical Character. 1909. V. 82. № 551. P. 73–88.
- Margot J.-L., Campbell D.B., Giorgini J.D., Jao J. S., Snedeker L.G., Ghigo F.D., Bonsall A. Spin state and moment of inertia of Venus // Nature Astronomy. 2021. V. 5. № 7. P.676–683.
- Michel A., Boy J.P. Viscoelastic love numbers and long-period geophysical effects // Geophys. J. Intern. 2022. V. 228.№ 2. P. 1191–1212.
- Mocquet A., Rosenblatt P., Dehant V., Verhoeven O. The deep interior of Venus, Mars, and the Earth: A brief review and the need for planetary surface-based Measurements // Planet. and Space Sci. 2011. V. 59. P. 1048–1061.
- O’Rourke J.G., Korenaga J. Thermal evolution of Venus with argon degassing // Icarus. 2015. V. 260. P. 128–140.
- O’Rourke J.G., Wilson C. F., Borrelli M.E., Byrne P.K., Dumoulin C., Ghail R., Gulcher A.J.P., Jacobson S.A., Korablev O., Spohn T., Way M.J., Weller M., Westall F. Venus, the Planet: Introduction to the evolution of Earth’s sister planet // Space Sci. Rev. 2023. V. 219. id. 10.
- Peltier W.R. The impulse response of a Maxwell Earth // Rev. Geophys. 1974. V. 12. № 4. P.649–669.
- Renaud J.P., Henning W.G. Increased tidal dissipation using advanced rheological models: implications for Io and tidally active exoplanets // Astrophys. J. 2018. V. 857. № 2. id.98.
- Rosenblatt P., Dumoulin C., Marty J.-C., Genova A. Determination of Venus’ interior structure with EnVision // Remote Sens. 2021. V. 13. id. 1624.
- Shah O., Helled R., Alibert Y., Mezger K. Possible chemical composition and interior structure models of Venus inferred from numerical modeling // Astrophys. J. 2022. V. 926. id. 217 (20 p.)
- Steinberger B., Werner S., Torsvik T. Deep versus shallow origin of gravity anomalies, topography and volcanism on Earth, Venus and Mars // Icarus. 2010. V. 207. P. 564–577.
- Xiao C., Li F., Yan J.-G., Hao W.-F., Harada Y., Ye M., Barriot J.-P. Inversion of Venus internal structure based on geodetic data // Res. Astron. and Astrophys. 2020. V. 20. № 8. id. 127 (15 p.)
- Yang A., Huang J., Wei D. Separation of dynamic and isostatic components of the Venusian gravity and topography and determination of the crustal thickness of Venus // Planet. and Space. Sci. 2016. V. 129. P. 24–31.
- Yaolin S.H.I., Jianling C.A.O. Lithosphere effective viscosity of continental China // Earth Sci. Frontiers. 2008. V. 15. № 3. P.82–95.
- Yoder C. Venus’s free obliquity // Icarus.1995. V. 117. P. 250–286.
- Zharkov V.N., Kozlovskaya S.V., Zasurskii I.Ya. Interior structure and comparative analysis of theterrestrial planets // Adv. Space. Res. 1981. V. 1. P. 117–129.
Supplementary files









