Modification of Dean's Method for Determining Impedance with an Inhomogeneous Sound Field in a Resonator
- Authors: Palchikovsky V.V.1
-
Affiliations:
- Perm National Research Polytechnic University
- Issue: Vol 70, No 4 (2024)
- Pages: 608-621
- Section: АТМОСФЕРНАЯ И АЭРОАКУСТИКА
- URL: https://bakhtiniada.ru/0320-7919/article/view/273835
- DOI: https://doi.org/10.31857/S0320791924040132
- EDN: https://elibrary.ru/XAPRPA
- ID: 273835
Cite item
Full Text
Abstract
A modification of Dean’s method is proposed for determining the impedance in the case of a nonuniform sound field on the front and bottom surfaces of a resonator. Instead of acoustic pressures in Dean’s formula, the modification uses the coefficients of eigenfunctions, which correspond to a uniform acoustic pressure distribution on the front and bottom surfaces of the resonator. The eigenproblem is solved by the finite element method; the coefficients of the eigenfunctions are found by the least squares method. At the current stage of research, the full-scale experiment has been replaced by numerical simulation in a linear formulation of sound propagation in an impedance tube with normal wave incidence with a honeycomb resonator attached to it. The inhomogeneity of the pressure field over the cross section of the resonator is created from the different positions of holes in the resonator face plate. The study is done for a different number of acoustic pressure measurement points at the bottom of the resonator. Calculations show that the proposed method is efficient and provides good agreement with the straight method for determining impedance. However, the possibilities of using modification of Dean’s method in full-scale measurements are limited, because accurate resonator impedance determination requires a large number of measurement points.
Full Text
ВВЕДЕНИЕ
Каналы волноводов, по которым распространяется шум с доминирующими тональными компонентами (например, шум от вентиляторов и компрессоров), облицовываются звукопоглощающими конструкциями (ЗПК) локально-реагирующего типа. Данные конструкции представляют собой изолированные друг от друга ячейки разной геометрической формы, перекрытые тонкими перфорированными листами. Одной из основных акустических характеристик ЗПК является импеданс. Импеданс, обеспечивающий максимальное снижение звука, принято называть оптимальным.
Акустический импеданс зависит как от геометрических характеристик конструкции (глубина ячеек, доля перфорации, толщина перфорированной пластины и др.), так и от внешних условий (частота звука, уровень звукового давления (УЗД), скорость потока в канале и др.). Соответствие между геометрией ЗПК и нужным значением импеданса при заданных внешних условиях можно установить: 1) экспериментальными методами, проводя измерения образцов ЗПК с разными геометрическими характеристиками [1–10]; 2) на основе численного решения математических моделей, описывающих распространение звука в канале с присоединенными к нему резонаторами [11–22]; 3) на основе расчетов по полуэмпирической теории [23–31].
Наиболее достоверные значения импеданса предоставляют экспериментальные методы. Среди таковых наибольшую популярность имеет обратный метод (метод извлечения импеданса) [5–10], в котором значения импеданса подбираются так, чтобы обеспечить наименьшее рассогласование между экспериментальными и расчетными значениями характеристик звукового поля. Экспериментально эти характеристики определяются по измерениям микрофонами, установленными, как правило, в стенки волновода. Обычно в качестве такой характеристики выступает акустическое давление в точках установки микрофонов [5–10] или осевые волновые числа звуковых мод, распространяемых в канале [9]. Важно отметить, что во всех случаях для получения точных значений импеданса обратный подход требует применения импедансного граничного условия, которое должно наиболее полно учитывать сложные физические эффекты, происходящие на импедансной границе (нарастание толщины пограничного слоя с увеличением скорости скользящего потока; дополнительная турбулизация пограничного слоя при взаимодействии с ним вихревых течений, генерируемых из отверстий перфорации при высоких УЗД в зависимости от спектрального состава шума, и др.).
Принципиально другим подходом, позволяющим напрямую получить импеданс из измерений, является метод Дина [3]. В отличие от упомянутых выше методов в данном подходе микрофоны устанавливаются не в стенках волновода, а в стенках ЗПК. Метод заключается в измерении акустического давления на лицевой поверхности и на дне резонатора с последующим вычислением нормализованного импеданса по формуле:
, (1)
где p1 – акустическое давление на лицевой поверхности резонатора; p2 – акустическое давление на дне резонатора; – пространственное волновое число; h – глубина резонатора; – мнимая единица.
Примечательно, что данный метод позволяет определять импеданс ЗПК, установленной непосредственно на натурном объекте, даже на столь сложном, как авиационный двигатель [32]. Данный факт является крайне важным с точки зрения верификации методов настройки ЗПК на оптимальный импеданс. Кроме того, методы определения импеданса, основанные на измерениях в волноводе, требуют хорошего поглощения звуковой энергии, для чего длина образца ЗПК должна быть не меньше половины длины волны, что при низких частотах обеспечить проблематично. Метод Дина не привязан к данному условию и проявляет высокую стабильность работы на низких частотах, что продемонстрировано в [33]. Также в [34] установлено, что полуэмпирические модели импеданса лучше согласуются с методом Дина [3], чем с методом передаточной функции [2], что объясняется тем, что полуэмпирические модели выводятся из рассмотрения процессов в одиночном резонаторе, а метод Дина, как показано расчетами в работе [21], определяет импеданс только одного резонатора.
Однако метод Дина имеет и недостатки. Во-первых, после установки измерительных зондов нарушается целостность резонатора, что может привести к некоторому искажению его акустических характеристик, а также может потребоваться восстановление целостности ЗПК, если в дальнейшем будут проводиться измерения импеданса другими методами. Во-вторых, реализация этого метода весьма трудоемка, что связано с необходимостью проведения тонких работ по точной установке зондов в резонатор, а также применения дополнительных приспособлений для крепления микрофонов. В-третьих, поскольку метод Дина определяет импеданс только одного резонатора, то для получения информации об импедансе всей конструкции требуется провести много измерений в разных местах ЗПК.
Перечисленные недостатки относятся к реализации метода Дина в натурном эксперименте, однако они отсутствуют при замене эксперимента численным моделированием. Тем не менее у метода имеется еще один недостаток, на котором и будет сосредоточено внимание в данном исследовании. Он заключается в том, что в работе [3] формула (1) выведена при допущении, что в резонаторе распространяется только поршневая волна, т.е. звуковое поле в поперечном сечении является однородным.
В большинстве случаев такое допущение справедливо, поскольку неравномерность поля давления, вызванная прохождением звуковой волны через пластину перфорации, наблюдается только вблизи этой пластины, а далее с увеличением глубины резонатора неравномерность исчезает, т.к. длина распространяющейся волны обычно существенно превышает размеры поперечного сечения резонатора. Помимо глубины резонатора на скорость выравнивания звукового поля по сечению резонатора также влияют: доля перфорации, частота возбуждения и УЗД (чем ниже доля перфорации и выше частота возбуждения и УЗД, тем медленнее в резонаторе устанавливается поршневая волна).
Помимо этого отметим, что даже в случае падения на лицевую поверхность резонатора поршневой волны давление p1 не является однородным, поскольку излучение из отверстий перфорированной пластины вносит определенную неравномерность в акустическое давление на поверхности резонатора, и хотя зонд для измерения p1 стараются разместить в наиболее удаленной от отверстий точке, однако при увеличении доли перфорации ЗПК это становится сделать все труднее.
Таким образом, в определенных случаях, связанных с неоднородностью звукового поля в резонаторе, формула Дина в ее классическом варианте (1) может дать не верное значение импеданса. В связи с этим в текущем исследовании ставятся следующие задачи:
- Модифицировать метод Дина с учетом возможных неоднородностей звуковых давлений p1 и p2.
- Оценить степень влияния неоднородности звуковых давлений p1 и p2 на импеданс резонатора.
- Оценить возможности применения модифицированного метода Дина в натурном эксперименте.
МОДИФИЦИКАЦИЯ МЕТОДА ДИНА С УЧЕТОМ ВОЗМОЖНЫХ НЕОДНОРОДНОСТЕЙ ПОЛЯ ЗВУКОВОГО ДАВЛЕНИЯ
Поставленные задачи будем рассматривать применительно к определению импеданса резонатора методом Дина в интерферометре с нормальным падением волн. Координата z будет соответствовать оси импедансной трубы и резонатора, а координаты x и y поперечному сечению.
Звуковое давление в любом поперечном сечении может быть представлено в виде разложения по собственным функциям ψ:
, (2)
где A – коэффициент при соответствующей собственной функции. При этом функции нормированы так, что |ψm(x, y)| ≤ 1. Тогда ψ0(x, y) = 1 и коэффициент A0 соответствует акустическому давлению, равномерно распределенному в рассматриваемом сечении.
Таким образом, для удовлетворения предположения о поршневой волне, которое положено в основу метода Дина, предлагается в формуле (1) вместо давлений p использовать коэффициенты A0 из выражения (2):
. (3)
Здесь (A0)1 – коэффициент, полученный из разложения по собственным функциям акустического давления p1 на лицевой поверхности резонатора; (A0)2 – коэффициент, полученный из разложения по собственным функциям акустического давления p2 на дне резонатора.
Для нахождения коэффициентов Am на основе выражения (2) должны быть известны собственные функции ψ, однако их представление в аналитическом виде не всегда возможно, т.к. в общем случае рассматриваемое поперечное сечение может иметь сложную форму. Например, для натурных звукопоглощающих облицовок волноводов резонаторы цилиндрической формы применяются редко, т.к. они не эффективно используют свободный объем, отводимый на заполнение всей конструкции (между стенками резонаторов имеются неиспользуемые пустоты). Причем, если для акустических облицовок, применяемых в наземных агрегатах, компенсировать потери в поглощении звуковой энергии из-за неиспользуемых объемов можно путем увеличения габаритов ЗПК, то для летательных аппаратов, где весовые характеристики играют важную роль, такое решение является неприемлемым. В результате, для эффективного использования объема всей конструкции обычно применяются резонаторы, форма которых обеспечивает отсутствие пустот между стенками соседних ячеек. Примеры некоторых форм резонаторов представлены на рис. 1.
Рис. 1. Примеры некоторых форм резонаторов, используемых в звукопоглощающих облицовках: (а) — цилиндрический резонатор, (б) — треугольный резонатор, (в) — квадратный/прямоугольный резонатор, (г) — сотовый резонатор
В итоге, обобщая подход определения импеданса по формуле (3) на резонатор с любой формой поперечного сечения, предлагается значения функций ψ находить из решения собственной задачи методом конечных элементов (МКЭ). Учитывая, что в этом случае надо решать только плоскую задачу с небольшим числом конечных элементов, встраивание МКЭ в алгоритм определения импеданса по формуле (3) незначительно отражается на общем времени проведения расчетов.
В МКЭ функция ψ может быть интерполирована по формуле:
, (4)
где N(x, y) – вектор функций формы конечного элемента; Ψm – m-ый столбец матрицы, содержащей значения собственных функций в узлах конечных элементов. Сама матрица находится из решения собственной задачи:
.
Здесь λ — диагональная матрица собственных значений; K, M — так называемые глобальные матрицы жесткости и массы, собранные из локальных матриц, которые определяются путем интегрирования произведений векторов функций формы и их производных по площади каждого конечного элемента:
.
где ; l — номер элемента в конечноэлементной сетке; S – площадь конечного элемента с номером l.
После определения Ψm(x, y) можно найти коэффициенты Am, минимизируя невязку между экспериментально полученным давлением p(x, y) и его представлением в виде ряда (2):
. (5)
Здесь KN — количество точек в рассматриваемом сечении, в которых будет определяться акустическое давление; MN – число собственных функций, учитываемых при реализации МКЭ.
Далее найденный коэффициент A0 можно использовать в формуле (3) для расчета импеданса.
Таким образом, определение импеданса резонатора по модифицированной формуле Дина на заданной частоте имеет следующий алгоритм:
- Задать на лицевой поверхности резонатора распределение KN точек, в которых будет определяться акустическое давление.
- Задать число собственных функций MN, учитываемых в разложении звукового поля.
- Определить экспериментально в KN точках на лицевой поверхности резонатора акустическое давление p.
- Определить в KN точках на лицевой поверхности резонатора для каждого m значения функции Ψm(xk, yk) по формуле (4) из решения собственной задачи с помощью МКЭ.
- Определить коэффициенты Am из минимизации невязки (5), выделив из них коэффициент (A0)1.
- Повторить этапы 1−5 для донной поверхности резонатора, в результате чего будет найден коэффициент (A0)2.
- Используя найденные коэффициенты (A0)1 и (A0)2, вычислить нормализованный импеданс Z по формуле (3).
В итоге можно констатировать, что модификация метода Дина заключается в измерении акустического давления на лицевой и донной поверхности резонатора в нескольких точках и расчете импеданса по формуле (3) с предварительным проведением поиска коэффициентов (A0)1 и (A0)2.
Важно отметить, что одновременное измерение акустического давления во многих точках на поверхности образца зондовыми методами невозможно, т.к., во-первых, они сильно изменят исходную конструкцию резонатора (зонды будут проходить через дно, полость и крышку резонатора), а во-вторых, не останется свободного места для установки зондов в дно резонатора. В связи с этим далее также рассматривается вариант модификации метода Дина в виде:
, (6)
т.е. на лицевой поверхности резонатора давление измеряется только в одной точке. Понятно, что для реализации измерений в такой постановке давление p1 должно слабо отличаться от амплитудного коэффициента (A0)1, что предстоит оценить.
ОПРЕДЕЛЕНИЕ ПОЛЕЙ ЗВУКОВОГО ДАВЛЕНИЯ НА ЛИЦЕВОЙ И ДОННОЙ ПОВЕРХНОСТИ РЕЗОНАТОРА
Как отмечалось выше, метод Дина в его классической интерпретации уже имеет некоторые трудности при реализации в натурном эксперименте. В модифицированной версии метода Дина ситуация осложняется тем, что для поиска коэффициентов (A0)1 и (A0)2 на одном из этапов метода требуется выполнить измерения акустического давления во многих точках на лицевой и донной поверхности резонатора. Насколько большим должно быть количество точек измерений и возможно ли отказаться от разложения звукового поля на лицевой поверхности (что заметно упростит реализацию модифицированного метода Дина в натурном эксперименте) — будет выяснено далее. Поэтому на текущем этапе исследований натурный эксперимент заменяется численным моделированием работы резонатора в интерферометре с нормальным падением волн.
За основу модели был взят интерферометр с диаметром канала 30 мм [35], на котором в перспективе возможна реализация натурных измерений импеданса модифицированным методом Дина. В качестве исследуемого резонатора был выбран резонатор сотовой формы (правильный шестиугольник), вписанный в окружность диаметром 30 мм, с глубиной полости 10 мм. Трехмерная геометрическая модель внутреннего объема резонатора была присоединена к модели импедансной трубы, с другого конца которой прикладывалось равномерно распределенное по сечению акустическое давление.
Для экономии вычислительных ресурсов вся расчетная область была разбита на две подобласти, которые описывались разными математическими моделями (рис. 2). Первая подобласть, в которой происходят только процессы распространения акустической волны на заданной частоте, включает в себя практически весь объем импедансной трубы и большую часть объема резонатора, и процессы в ней описываются уравнением Гельмгольца для акустического давления. Вторая подобласть включает в себя объем отверстий и примыкающие к ним объемы импедансной трубы и резонатора. Данная подобласть создана для моделирования потерь акустической энергии, связанных с трением частиц о стенки отверстий. Физические процессы, происходящие в данной подобласти, описываются линеаризованными уравнениями сохранения массы, импульса (уравнение Навье-Стокса без конвективных членов), энергии и уравнением состояния.
Рис. 2. (а) — Фрагмент геометрии расчетной области и (б) — конечно-элементной сетки
На поверхностях сопряжения подобластей 1 и 2 граничные условия задаются в виде:
где u — вектор акустической скорости; p — акустическое давление; T — акустическая температура; σ – тензор вязких напряжений; ω — круговая частота; ρ0 — плотность среды; k — коэффициент теплопроводности среды; n — вектор нормали к рассматриваемой поверхности. Индексы 1 и 2 соответствуют заданию граничных условий со стороны подобласти 1 и 2, соответственно.
Указанные модели решаются методом конечных элементов в пакете COMSOL Multiphysics. Используется конечный элемент, функции формы которого строятся на основе интерполяционного полинома Лагранжа второй степени. Максимальный размер конечных элементов для подобласти 1 составляет 3.33 мм, что обеспечивает 34 узла на длину волны при частоте 6000 Гц. Для подобласти 2 размеры элементов еще меньше. На стенки отверстий нанесен пограничный слой, толщина первого элемента которого не превышает толщину акустического пограничного слоя , где ν — кинематическая вязкость среды; ω – круговая частота. В качестве рабочей среды при расчетах используется воздух. Расчеты проводятся для нормальных условий среды (атмосферное давление 101325 Па, температура 20°С) в диапазоне частот 500−6000 Гц с шагом 100 Гц.
С целью создания разной степени неоднородности звукового поля в резонаторе были рассмотрены три варианта положения отверстий перфорации (черные сплошные линии на рис. 3). На рис. 3а представлено упорядоченное положение отверстий (достаточно удалены друг от друга и от стенок резонатора), при котором неоднородность поля должна быть слабой. На рис. 3б представлена слабая неупорядоченность, при которой отверстия расположены на достаточном удалении друг от друга, но некоторые отверстия находятся близко к стенкам резонатора, что должно вносить более сильную неоднородность в звуковое поле в резонаторе. На рис. 3в представлен вариант, в котором присутствуют как близко расположенные друг к другу отверстия, так и отверстия, расположенные близко к стенкам резонатора; данный вариант должен вносить наибольшую неоднородность в звуковое поле. Диаметр отверстий равен 2 мм, толщина лицевой перфорированной пластины равна 1 мм. Отметим, что во всех вариантах отверстия перфорации отсутствуют в середине крышки резонатора: данная особенность важна для возможности установки измерительного зонда в случае реализации натурного эксперимента, что будет обсуждаться ниже.
Рис. 3. Варианты расположения отверстий перфорации и точек считывания акустических давлений на лицевой поверхности резонатора (показаны красным): (а) — перфорация 1, (б) — перфорация 2, (в) — перфорация 3
На рис. 4 приведены примеры распределения амплитуд акустического давления на дне резонатора на некоторых частотах для разных вариантов расположения отверстий в крышке резонатора (для удобства представления ориентации поля давления относительно положения отверстий контуры отверстий также показаны). Относительный перепад амплитуд по сечению рассчитывался по формуле:
,
где Max|P| — максимальное значение амплитуды акустического давления на дне резонатора; Min|P| — минимальное значение амплитуды акустического давления на дне резонатора.
Рис. 4. Амплитуды акустического давления на дне резонатора и их перепад для разных вариантов расположения перфорации: (а) — 2000 Гц, (б) — 4000 Гц, (в) — 6000 Гц
Видно, что, как и предполагалось, неоднородность поля растет с ростом частоты и неупорядоченности отверстий перфорации, причем более сильная неупорядоченность (перфорация 3) дает более сильную неравномерность поля давления на дне резонатора.
ОСОБЕННОСТИ РАСПОЛОЖЕНИЯ ТОЧЕК СЧИТЫВАНИЯ АКУСТИЧЕСКОГО ДАВЛЕНИЯ НА ЛИЦЕВОЙ И ДОННОЙ ПОВЕРХНОСТИ РЕЗОНАТОРА
Для проведения поиска коэффициентов (A0)1 и (A0)2 были построены 2D модели лицевой и донной поверхности резонатора. Точки считывания акустических давлений на лицевой поверхности сотового резонатора представлены на рис. 3. Точки располагались таким образом, чтобы расстояние от края ближайшего отверстия до точки измерений было не менее 1 радиуса отверстия. Введение данного условия необходимо для исключения сильных локальных неоднородностей акустического давления на лицевой поверхности резонатора, связанных с излучением звука из отверстий перфорации.
Точки считывания акустических давлений на дне сотового резонатора представлены на рис. 5. Здесь рассматривалось 4 варианта массивов. Массив 1 (рис. 5а) содержит 2 контура по 12 точек, повернутых друг относительно друга на 60 градусов. Такая конфигурация была связана с рассмотрением возможности реализации в будущем модифицированного метода Дина в натурном эксперименте с помощью имеющихся в ПНИПУ зондовых микрофонов Bruel&Kjaer 4182. Внешний диаметр этих микрофонов не позволяет расположить их вместе на рассматриваемых размерах соты в количестве более 3-х штук — один микрофон для измерения давления в центре лицевой пластины и два микрофона для измерения в одной точке каждого контура на дне резонатора. После замера «пучок» из 3-х микрофонов должен поворачиваться на 30 градусов для измерений в новых точках, при этом положение измерительного зонда в лицевой пластине останется неизменным.
Рис. 5. Точки считывания акустических давлений на дне сотового резонатора: (а) — массив 1, (б) — массив 2, (в) — массив 3, (г) — массив 4
Массив 2 (48 точек), массив 3 (144 точки) и массив 4 (864 точки) вводятся для оценки влияния количества точек на точность определения коэффициента (A0)2 и, соответственно, импеданса по формулам (3) и (6).
Минимизация невязки (5) при поиске значений коэффициентов Am выполняется методом градиентного спуска по сопряженным направлениям.
РЕЗУЛЬТАТЫ РАСЧЕТА ИМПЕДАНСА ПО РАЗНЫМ ВАРИАНТАМ ФОРМУЛЫ ДИНА
На рис. 6 и 7 представлены результаты определения импеданса по формулам (1), (3) и (6) при разном уровне неоднородности звукового поля в резонаторе и использовании разных массивов точек считывания давления на дне резонатора.
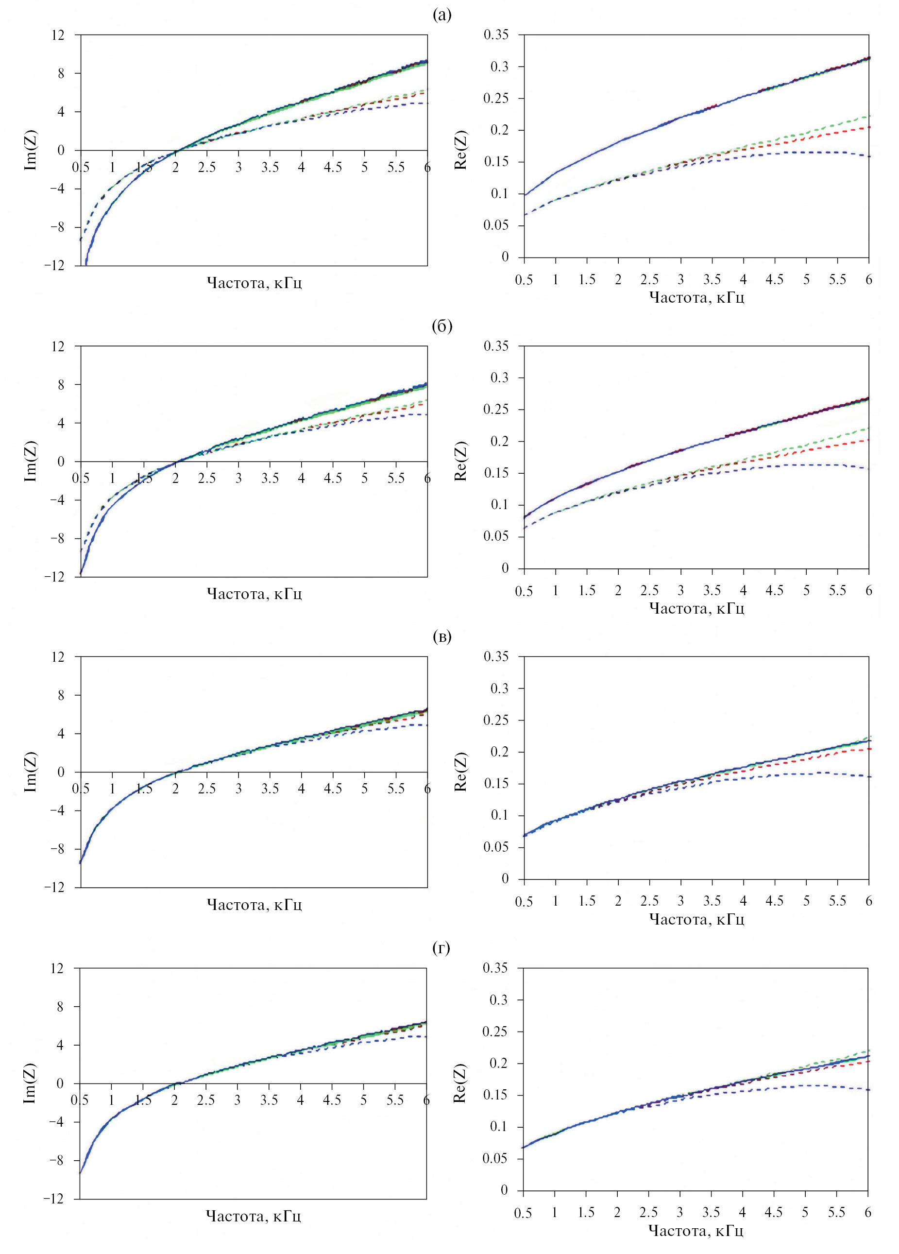
Рис. 6. Нормализованный импеданс, полученный методом Дина по разным формулам: (а) — массив 1, (б) — массив 2, (в) — массив 3; (г) — массив 4. ------- перфорация 1, ф. (1); ------- перфорация 2, ф. (1); ------- перфорация 3, ф. (1); — — перфорация 1, ф. (3); — — перфорация 2, ф. (3); — — перфорация 3, ф. (3); —— перфорация 1, ф. (6); —— перфорация 2, ф. (6); —— перфорация 3, ф. (6)
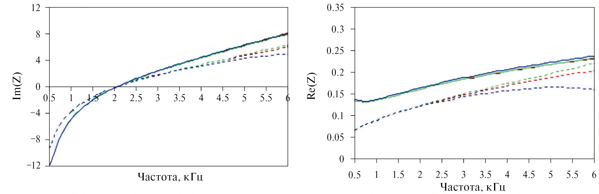
Рис. 7. Сопоставление импеданса, полученного прямым методом и классическим методом Дина: —— перфорация 1, ф. (7); —— перфорация 2, ф. (7); —— перфорация 3, ф. (7); ------- перфорация 1, ф. (1); ------- перфорация 2, ф. (1); ------- перфорация 3, ф. (1)
При расчете импеданса по формуле (1) давление p1 считывалось по центру лицевой пластины резонатора, а давление p2 — на периферии на дне резонатора. Такая ситуация может соответствовать случаю измерения давлений зондовыми микрофонами Bruel&Kjaer 4182. Видно, что в этом случае в зависимости от степени неоднородности звукового поля получаются разные значения импеданса. По соотношению диапазонов изменения по оси ординат значений действительной и мнимой части импеданса, можно сказать, что неоднородность звукового поля в резонаторе сильнее влияет на действительную часть — импеданс начинает заметно расходиться в районе 2 кГц, у мнимой части — в районе 3.5 кГц.
Видно, что вычисление импеданса модифицированным методом Дина по формулам (3) и (6) в соответствующих вариантах массива точек на дне резонатора дает практически одинаковые кривые. Таким образом, поиск коэффициента (A0)1 на лицевой поверхности резонатора можно не проводить, а заменить его измерением акустического давления только в одной точке, т.е. использовать вместо формулы (3) формулу (6), что заметно упрощает трудоемкость метода при реализации в натурном эксперименте. Можно также отметить, что данный вывод аналогичен полученному в работе [20], где численный эксперимент был поставлен в более развитой постановке (3D нестационарный расчет), но разложение звукового поля по собственным функциям не проводилось, а в формулу Дина подставлялись значения p1, взятые в разных точках на лицевой поверхности резонатора.
Сопоставление полученных кривых на рис. 6 говорит о том, что число используемых точек на дне резонатора влияет на точность определения коэффициента (A0)2 и, соответственно, на точность определения импеданса. Так, импедансные кривые на рис. 6а, 6б и 6в заметно отличаются друг от друга, тогда как на 6в и 6г — практически одинаковы, т.е. количество точек в массиве 3 (рис. 5в) является уже достаточным для определения импеданса модифицированным методом Дина с хорошей точностью.
СОГЛАСОВАНИЕ МОДИФИЦИРОВАННОГО МЕТОДА ДИНА С ПРЯМЫМ МЕТОДОМ ОПРЕДЕЛЕНИЯ ИМПЕДАНСА
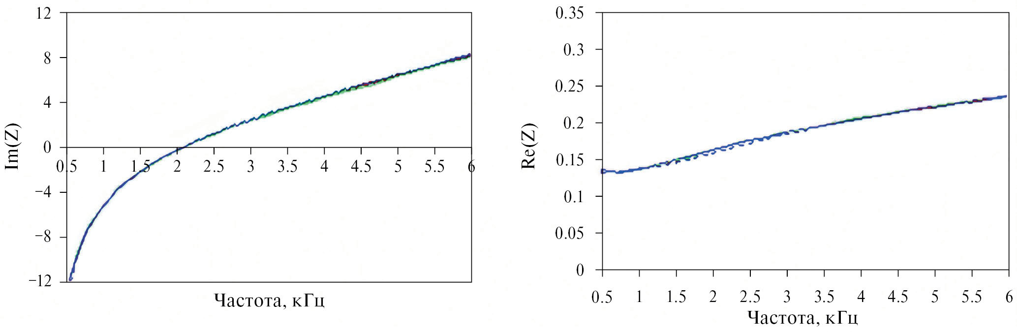
Для дополнительной оценки достоверности модифицированного метода Дина импеданс определялся прямым методом, т.е. по формуле:
, (7)
где p1 — акустическое давление на поверхности резонатора; υ1 — нормальная акустическая скорость на поверхности резонатора, направленная в поверхность (если направление падающей волны не совпадает с направлением оси z, то перед υ1 надо поставить знак «–»); ρ0 — плотность среды; c0 — скорость звука в среде; S1 — площадь лицевой поверхности резонатора (соответствует площади поперечного сечения канала импедансной трубы).
Результаты определения импеданса по формулам (1) и (7) для разных вариантов расположения перфорации показаны на рис. 7. Как видно, импеданс, определенный прямым методом, в отличие от классического метода Дина практически не зависит от положения отверстий в лицевой пластине резонатора. Это объясняется в целом слабым влиянием на импеданс неоднородности звукового поля на лицевой поверхности резонатора, что было продемонстрировано результатами в предыдущем разделе.
Хорошо видно также, что импедансные кривые, рассчитанные двумя разными методами, отличаются друг от друга, поэтому для оценки корректности нахождения значений импеданса модифицированным методом Дина нужно получить формулу пересчета импеданса из одного метода в другой. Для этого воспользуемся законом сохранения энергии в виде:
, (8)
где — коэффициент звукопоглощения; Wd — рассеиваемая мощность (определяется при численном моделировании в COMSOL Multiphysics); — мощность поршневой волны с амплитудой |A|, падающей на лицевую поверхность резонатора площадью S1.
Амплитудный коэффициент поршневой волны можно выразить через давление на лицевой поверхности резонатора p1 и импеданс Z1:
.
С учетом введенных параметров выражение (8) после преобразований примет вид:
, (9)
где — безразмерный множитель; Zd — импеданс, определяемый методом Дина по формуле (1); Z1 — искомый импеданс для прямого метода.
После преобразований выражения (9) окончательно получим:
. (10)
Поскольку в нашей задаче звуковое поле по сечениям резонатора неоднородно, то для более правильного соответствия допущению о постоянстве параметров на лицевой и донной поверхности резонатора импеданс Zd для использования в формуле (10) будем вычислять по формуле (2), акустическое давление в формуле (7) заменим на амплитудный коэффициент (A0)1, а акустическую скорость υ1 в формуле (7) заменим на осредненную по лицевой поверхности (определяется при численном моделировании в COMSOL Multiphysics). Тогда формула (7) примет вид:
. (11)
На рис. 8 представлено сравнение импеданса, рассчитанного по формуле (10), и импеданса, определенного прямым методом по формуле (11). Видно, что пересчет импеданса дает хорошее согласование результатов, что подтверждает корректность предложенной модификации метода Дина, которая предоставляет возможность однозначно определять импеданс в случае неоднородности звукового поля в резонаторе.
Рис. 8. Сопоставление импеданса, полученного по формулам (10) и (11): —— перфорация 1, ф. (11); —— перфорация 2, ф. (11); —— перфорация 3, ф. (11); ------- перфорация 1, ф. (10); ------- перфорация 2, ф. (10); ------- перфорация 3, ф. (10)
ЗАКЛЮЧЕНИЕ
Проведенное исследование показало, что:
- Модификация метода Дина устраняет неоднозначность в определении импеданса резонатора классическим методом Дина, получаемую в случае неоднородности звукового поля по сечению резонатора. Корректность предложенного метода подтверждается хорошим согласованием его результатов с импедансом, вычисленным прямым методом.
- Поиск коэффициентов собственных функций для звукового поля на лицевой поверхности резонатора можно не проводить и использовать измерение акустического давления в одной точке, удалив ее на достаточное расстояние от кромок отверстий перфорации.
- Для определения с хорошей точностью коэффициентов собственных функций для звукового поля на дне резонатора требуется большое число точек измерений, что делает проблематичной реализацию модифицированного метода Дина в натурных измерениях (по крайней мере с использованием зондовых микрофонов). Однако метод можно применять для определения импеданса на основе численного моделирования распространения звука в волноводе, облицованном звукопоглощающими конструкциями локально-реагирующего типа, что в связи с постоянно растущими возможностями вычислительной техники имеет все большую популярность.
Работа выполнена при финансовой поддержке Российского научного фонда и Пермского края, номер проекта 22-22-20087.
About the authors
V. V. Palchikovsky
Perm National Research Polytechnic University
Author for correspondence.
Email: vvpal@pstu.ru
Russian Federation, Perm
References
- ISO 10534-1; Acoustics—Determination of Sound Absorption Coefficient and Impedance in Impedance Tubes. Part 1: Method Using Standing Wave Ratio. ISO: Geneva, Switzerland, 1996.
- ISO 10534-2; Acoustics—Determination of Sound Absorption Coefficient and Impedance in Impedances Tubes. Part 2: Transfer Function Method. ISO: Geneva, Switzerland, 1996.
- Dean P. D. An in-situ method of wall acoustic impedance measurement in flow duct // J. Sound Vib. 1974. V. 34. № 1. P. 97−130.
- Комкин А. И. Методы измерения акустических характеристик звукопоглощающих материалов // Измерительная техника. 2003. № 3. С. 47−50.
- Jones M. G., Watson W. R., Tracy M. B., Parrott T. L. Comparison of two waveguide methods for educating liner impedance in grazing flow // AIAA Journal. 2004. V. 42. P. 232−240.
- Elnady T., Boden H. An inverse analytical method for extracting liner impedance from pressure measurements // AIAA Paper. 2004. 2004–2836.
- Jing X., Peng S., Sun X. A straightforward method for wall impedance eduction in a flow duct // J. Acoust. Soc. Am. 2008. V. 124. № 1. P. 227−234.
- Piot E., Primusy J., Simonz F. Liner impedance eduction technique based on velocity fields // AIAA Paper. 2012. 2012–2198.
- Weng Ch., Schulz A., Ronneberger D., Enghardt L., Bake F. Flow and viscous effects on impedance eduction // AIAA Journal. 2018. V. 56. № 3. P. 1118–1132.
- Остриков Н. Н., Яковец М. А., Ипатов М. С. Экспериментальное подтверждение аналитической модели распространения звука в прямоугольном канале при наличии скачков импеданса и разработка на ее основе метода извлечения импеданса // Акуст. журн. 2020. Т. 66. С. 128−147.
- Tam C. K. W., Kurbatskii K. A. A numerical and experimental investigation of the dissipation mechanisms of resonant acoustic liners // J. Sound Vib. 2001. V. 245. № 3. P. 545−557.
- Абалакин И. В., Горобец А. В., Козубская Т. К. Вычислительные эксперименты по звукопоглощающим конструкциям // Математическое моделирование. 2007. Т. 19. № 8. С. 15−21.
- Roche J. M., Leylekian L., Delattre G., Vuillot F. Aircraft fan noise absorption: DNS of the acoustic dissipation of resonant liners // AIAA Paper. 2009. 2009–3146.
- Zhang Q., Bodony D. J. Impedance predictions of 3D honeycomb liner with circular apertures by DNS // AIAA Paper. 2011. 2011–2727.
- Синер А. А., Мякотникова А. С. Численное исследование акустических свойств звукопоглощающих конструкций // Ученые записки ЦАГИ. 2012. Т. 43. № 4. С. 95−110.
- Lavieille M., Bennani A., Balin N. Numerical simulations of perforate liners: Part I - Model description and impedance validation // AIAA Paper. 2013. 2013–2269.
- Mann A., Pérot F., Kim M.-S., Casalino D. Characterization of acoustic liners absorption using a lattice-Boltzmann method // AIAA Paper. 2013. 2013–2271.
- Храмцов И. В., Кустов О. Ю., Федотов Е. С., Синер А. А. Численное моделирование механизмов гашения звука в ячейке звукопоглощающей конструкции // Акуст. журн. 2018. Т. 64. № 4. С. 508−514.
- Jensen M. H., Shaposhnikov K., Svensson E. Using the linearized Navier Stokes equations to model acoustic liners // AIAA Paper. 2018. 2018–3783.
- Khramtsov I. V., Kustov O. Yu., Palchikovskiy V. V. Adaptation of the Dean method to determine the acoustic characteristics of liner samples based on numerical simulation of physical processes in a normal incidence impedance tube // 2020 Int. Conf. on Dynamics and Vibroacoustics of Machines. 16–18 Sept. 2020. Samara. Russia.
- Khramtsov I., Kustov O., Palchikovskiy V., Ershov V. Investigation of the reason for the difference in the acoustic liner impedance determined by the transfer function method and Dean’s method // Akustika. 2021. № 39. P. 224−229.
- Ou Y., Zhao Y. Prediction of the absorption characteristics of non-uniform acoustic absorbers with grazing flow // Applied Sciences. 2023. V. 13. № 4. P. 2256−2277.
- Melling T. H. The acoustic impendance of perforates at medium and high sound pressure levels // J. Sound Vib. 1973. V. 21. № 1. P. 1−65.
- Guess A. W. Calculation of perforated plate liner parameters from specified acoustic resistance and reactance // J. Sound Vib. 1975. V. 40. № 1. P. 119−137.
- Kooi J. W., Sarin S. L. An experimental study of the acoustic impedance of Helmholtz resonator arrays under a turbulent boundary layer // 7th Aeroacoustics Conf., Palo Alto, CA, October 5−7, 1981.
- Motsinger R. E., Kraft R. E. Design and performance of duct acoustic treatment // Aeroacoustics of flight vehicles. Theory and practice. Volume 2: Noise Control, 1991.
- Hersh A. S., Walker B. E., Celano J. W. Helmholtz resonator impedance model, Part 1: Nonlinear behavior // AIAA Journal. 2003. V. 41. № 25. P. 795−808.
- Соболев А. Ф. Полуэмпирическая теория однослойных сотовых звукопоглощающих конструкций с лицевой перфорированной панелью // Акуст. журн. 2007. Т. 53. № 6. С. 861−872.
- Yu J., Ruiz M., Kwan H. W. Validation of Goodrich perforate liner impedance model using NASA Langley test data // AIAA Paper. 2008. 2008–2930.
- Rienstra S. W., Singh D. K. Nonlinear asymptotic impedance model for a Helmholtz resonator of finite depth // AIAA Journal. 2018. V. 56. № 5. P. 1792−1802.
- Eversman W., Drouin M., Locke J., McCartney J. Impedance models for single and two degree of freedom linings and correlation with grazing flow duct testing // Int. J. of Aeroacoustics. 2021. V. 20. P. 497−529.
- Gaeta R. J., Mendoza J. M., Jones M. G. Implementation of in-situ impedance techniques on a full scale aero-engine system // AIAA Paper. 2007. 2007–3441.
- Yan Q., Xue D., Mu Q., Yang J., Gao X., Huang W. Acoustic experimental technology for aircraft nacelle liner // Aerospace. 2023. V. 10. № 1. P. 56−72.
- Palchikovskiy V., Kuznetsov A., Khramtsov I., Kustov O. Comparison of semi-empirical impedance models for locally-reacting acoustic liners in a wide range of sound pressure levels // Acoustics. 2023. V. 5. № 3. P. 676−692.
- Федотов Е. С., Кустов О. Ю., Храмцов И. В., Пальчиковский В. В. Сравнительный анализ акустических интерферометров на основе расчетно-экспериментальных исследований образцов звукопоглощающих конструкций // Вестник ПНИПУ. Аэрокосмическая техника. 2017. № 48. С. 89−103.
Supplementary files










