Peculiarities of Separation of Spin-Phonon Coupling Mechanisms For 23Na in a NaF Crystal Depending on Temperature and the Number of Paramagnetic Centers
- Авторлар: Rochev A.M.1, Mikushev V.M.1, Charnaya E.V.1, Serov A.Y.1
-
Мекемелер:
- Saint Petersburg State University
- Шығарылым: Том 70, № 5 (2024)
- Беттер: 672-679
- Бөлім: ФИЗИЧЕСКАЯ АКУСТИКА
- URL: https://bakhtiniada.ru/0320-7919/article/view/272916
- DOI: https://doi.org/10.31857/S0320791924050033
- EDN: https://elibrary.ru/XCFXET
- ID: 272916
Дәйексөз келтіру
Толық мәтін
Аннотация
The possibility of changing the efficiency of nuclear spin-phonon coupling by NMR methods using the example of a NaF crystal in a wide temperature range is investigated. To suppress nuclear spin-lattice relaxation involving paramagnetic centers, continuous magnetic saturation at a single Larmor frequency was used instead of acoustic saturation of the 23Na NMR signal at a double frequency. The influence of the color centers induced by gamma irradiation and of temperature on the separation of spin-phonon coupling mechanisms has been studied. No suppression of impurity relaxation was observed for 19F dipole nuclei. It is shown that the suggested magnetic saturation technique for complete or partial shutdown of impurity relaxation of quadrupole nuclei can be implemented on commercial pulse NMR spectrometers.
Толық мәтін
ВВЕДЕНИЕ
Эффективность взаимодействия ядерных спинов с тепловыми колебаниями кристаллической решетки характеризуется общей скоростью спин-решеточной релаксации . Для ядер, обладающих электрическим квадрупольным моментом, спин-фононное взаимодействие реализуется в основном за счет модуляции градиентов электрических внутрикристаллических полей при изменениях межатомных расстояний [1]. При колебаниях решетки изменяются также и магнитные поля, создаваемые соседними дипольными ядерными моментами. Такой магнитный механизм спин-фононной связи получил название механизма Валлера. Дальнейшие исследования показали, что механизм Валлера в диэлектрических твердых телах мало эффективен и не объясняет наблюдаемые скорости спин-решеточной релаксации [2]. Однако если по соседству с ядром находится парамагнитный центр, например, атом примеси с нескомпенсированным электронным магнитным моментом, то магнитное дипольное взаимодействие усиливается на порядки, что приводит к существованию эффективного «примесного» механизма спин-фононной связи. В реальных кристаллах даже в случае малых относительных концентраций парамагнитных примесей вплоть до порядка 10–7 [3] примесный механизм остается эффективным за счет участия в ядерной релаксации спиновой диффузии [4, 5]. Таким образом, для общей скорости спин-решеточной релаксации квадрупольных ядер можно записать:
, (1)
где “решеточный” вклад определяется спин-фононной связью в кристаллах с идеальной решеткой, а «примесный» вклад обусловлен участием в релаксации парамагнитных центров.
В работах [6–10] сообщалось о возможности подавления примесного механизма спин-фононной связи квадрупольных ядер при использовании методики акустического насыщения сигнала ядерного магнитного резонанса (АН ЯМР) [11, 12]. Снижение эффективности примесного вклада в релаксацию обусловлено тем, что парамагнитные центры могут также усиливать взаимодействие соседних ядер с возбуждаемыми в образце резонансными акустическими полями [11–14]. Это приводит к локальному насыщению ядерной спин-системы и выключению парамагнитных центров из процесса релаксации. Таким образом, наблюдение влияния АН ЯМР на скорость ядерной релаксации дает возможность изучать дефекты кристаллической структуры малых концентраций. В работах [15–18] показано, что к аналогичному эффекту подавления примесной релаксации приводит магнитное насыщение сигнала ЯМР на ларморовской частоте, которое может быть реализовано на промышленных импульсных спектрометрах ЯМР. При этом, актуальной является задача выявления особенностей и различий в ослаблении спин-фононной связи в условиях изменения температуры, а также концентрации и природы парамагнитных центров.
ОБРАЗЦЫ И МЕТОДИКА ЭКСПЕРИМЕНТА
В качестве образца использовался номинально чистый монокристалл фторида натрия NaF, который ранее исследовался в работе [18] при комнатной температуре и 155 K. Образец представлял собой цилиндр, вырезанный вдоль оси симметрии четвертого порядка. Предварительная характеризация образца проводилась на дифрактометре Bruker «D2 Phaser», на оптическом эмиссионном спектрометре с индуктивно связанной плазмой ICPE-9000 (Shimadzu) и на магнитометре MPMS SQUID VSM (Quantum Design). Было установлено, что в образце имеются парамагнитные примесные ионы с относительной концентрацией не более 10–5 [18].
Для изменения вида и концентрации парамагнитных центров в образце применялось гамма-облучение от источника 60Co («кобальтовая пушка») в течении 10 часов с экспозиционной дозой 1.6×107 рад до заметного изменения окраски образца. Как известно [19, 20], гамма-облучение щелочно-галоидных кристаллов приводит к образованию центров окраски. Наиболее стабильными и имеющими высокую концентрацию являются анионная вакансия, захватившая электрон, F1 и агрегация двух F1-центров F2. Оба типа парамагнитных центров сказываются на скорости ядерной спин-решеточной релаксации. Концентрация F1-центров в необлученных щелочно-галоидных кристаллах при 300 K не превышает 1013 см–3 [19]. После облучения их число возрастает до 3 × 1017 см–3. Под действием гамма-облучения возможна и частичная перезарядка имеющихся в образце примесных ионов. Для выявления радиационных центров в исследуемом кристалле были получены спектры фотолюминесценции до и после облучения с использованием двойного монохроматора МДР-204-2 при температуре 5 K в гелиевом криостате замкнутого цикла «Janis Research Company». Если до гамма-облучения образца не наблюдалось линий, соответствующих центрам окраски, то, как видно на рис. 1, после гамма-облучения при оптической накачке с длиной волны 355 нм наблюдались линии люминесценции для F1-центров с максимумом около 440 нм и для F2-центров с максимумом около 630 нм.
Рис. 1. Спектр люминесценции центров окраски F1 и F2 в NaF после гамма-облучения
Измерения времен ядерной спин-решеточной релаксации при условии стационарного магнитного насыщения сигнала ЯМР проводились на импульсном спектрометре Bruker Avance III 400, оптимизированном для работы с твердыми образцами, по методике, описанной в работе [18]. Образец помещался в низкотемпературный датчик широких линий с системой установки температуры «Janis research STVP-XG cryostat system» в диапазоне от 8 до 350 K. Для измерения использовалась стандартная двухимпульсная последовательность для наблюдения восстановления ядерной намагниченности после инвертирующего 180° импульса. Стационарное насыщение ядерной спиновой системы производилось дополнительным резонансным длинным импульсом. Импульс включался за время большее, чем , перед 180° импульсом и длился до наблюдения сигнала свободной прецессии. Дополнительный импульс отключался на время основных 180° и 90° импульсов [18]. Степень насыщения сигнала ЯМР регулировалась мощностью дополнительного импульса. За количественную характеристику стационарного насыщения принимался фактор насыщения, Zst = Ast / A0, где Ast и A0 — равновесные интенсивности сигналов ЯМР, измеряемые в условии полного восстановления ядерной намагниченности после инверсии в присутствии и в отсутствие дополнительного воздействия [10, 15, 16].
При насыщении время τ восстановления ядерной намагниченности A(t) / A0 находится с помощью соотношения
, (2)
где t — временная задержка между 180° и 90° импульсами, а коэффициент b учитывает неполную инверсию. Время ядерной спин-решеточной релаксации T1 связано с временем τ формулой [2, 18]:
. (3)
В том случае, когда насыщение не изменяет эффективность спин-фононного взаимодействия ядер, . В условиях подавления примесной релаксации время T1 увеличивается и в предельном случае полного подавления участия парамагнитных центров в ядерной релаксации . Отметим также, что восстановление ядерной намагниченности после инверсии на первом этапе идет в области отрицательных значений и только через время t0, соответствующее нулевой интенсивности сигнала, переходит в область положительных значений.
РЕЗУЛЬТАТЫ И ОБСУЖДЕНИЕ
Наблюдения восстановления ядерной намагниченности 23Na в образце NaF в условиях магнитного насыщения при различных температурах показали, что ход восстановления ядерной намагниченности A(t) / A0 в области отрицательных значений для интервалов времени t < t0 и любых значений фактора стационарного насыщения описывается выражением:
, (4)
где времена восстановления соответствуют значению , зависящему только от температуры. Таким образом, при t < t0 магнитное насыщение сигнала ЯМР не сказывается на эффективности ядерного спин-фононного взаимодействия в соответствии с результатами, полученными в работах [17, 18]. Действительно, спиновая диффузия обеспечивает влияние парамагнитных центров на релаксацию ядер во всем объеме кристалла только при выполнении условия [15-18]
, (5)
где Mloc — локальная ядерная намагниченность вблизи парамагнитного центра, M0 — равновесная величина ядерной намагниченности для данной температуры и <MI> — средняя по объему образца ядерная намагниченность, пропорциональная интенсивности сигнала ЯМР. В области отрицательных значений <MI> выражение (5) всегда выполняется и подавление примесного механизма не реализуется.
Для времен t > t0, т.е. для положительных значений <MI>, восстановление ядерной намагниченности после инверсии описывается тем же соотношением (4) вплоть до достижения некоторого порогового значения фактора стационарного насыщения Zst. При более сильном насыщении восстановление ядерной намагниченности хорошо описывается суммой двух экспонент с временами τ и τ2 > τ1:
(6)
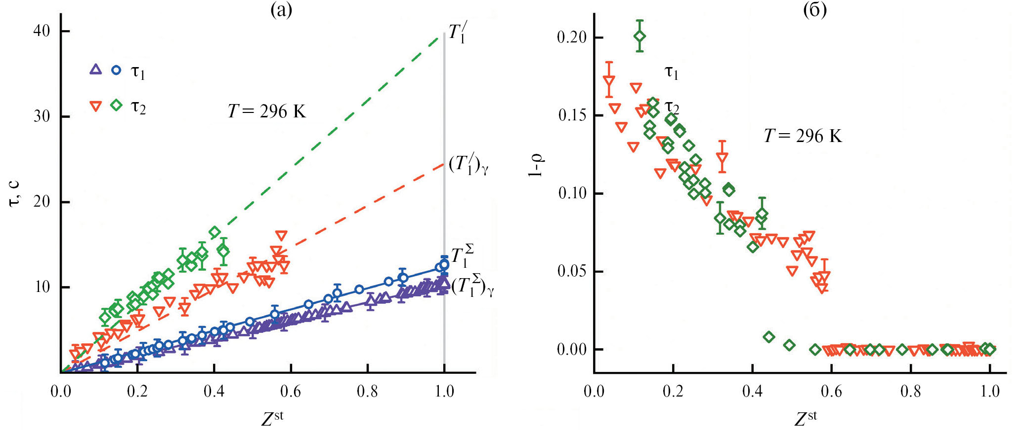
где 0 ≤ ρ ≤ 1 — получаемый из данных измерений весовой коэффициент. Величину этого коэффициента можно трактовать как долю ядерных спинов, для которых эффективность механизмов спин-фононной связи не изменилась под действием магнитного насыщения сигнала ЯМР. Второе слагаемое в (6) с большим временем восстановления ядерной намагниченности демонстрирует снижение эффективности спин-фононного взаимодействия для остальной части ядерных спинов и соответствующее замедление скорости спин-решеточной релаксации 23Na в условиях магнитного насыщения. В качестве примера на рис. 2 показаны значения времен восстановления ядерной намагниченности и весового коэффициента (1 — ρ), рассчитанные по соотношениям (4) и (6) для различных величин фактора стационарного магнитного насыщения при температуре 90 K.
Рис. 2. (а) — Времена восстановления ядерной намагниченности 23Na τ1 и τ2 и (б) — соответствующие им значения весового коэффициента в зависимости от фактора стационарного магнитного насыщения Zst
Из рис. 2 в соответствии с уравнением (2) видно, что при увеличении интенсивности дополнительного магнитного воздействия, начиная c Zst = 0.32 растет доля ядер натрия, имеющих время спин-решеточной релаксации = (196 ± 11) с, превышающее = (97.6 ± 0.9) с. Для объяснения наблюдаемого эффект применима следующая модель [14, 21]. При условии значительного стационарного насыщения сигнала ЯМР благодаря более сильной связи ядер с резонансным магнитным полем вблизи некоторых парамагнитных центров локальная ядерная намагниченность Mloc около таких центров становится существенно меньше средней по объему кристалла намагниченности <MI>. В процессе восстановления ядерной намагниченности после инверсии 180° импульсом для ядерных спинов в окрестности этих парамагнитных центров нарушается условие (5) в области положительных значений намагниченности при t > t0, спиновая диффузия перестает участвовать в релаксации и примесный механизм спин-фононной связи становится неэффективным для части ядер. Аналогичные результаты были получены в работе [18] при двух других температурах.
Гамма-облучение щелочно-галоидного образца, приводящее к появлению в объеме кристалла дополнительных парамагнитных центров окраски, существенным образом сказывается на наблюдаемых эффектах. На рис. 3 приведены зависимости времен восстановления ядерной намагниченности 23Na и (1 — ρ) от фактора стационарного насыщения при комнатной температуре в образце до и после гамма-облучения. Отметим, что после облучения наблюдалось уширение линии ЯМР 23Na на 4% до величины ширины на половине высоты 153 ppm.
Рис. 3. (а) — Времена восстановления ядерной намагниченности 23Na τ1 и τ2 в зависимости от фактора стационарного магнитного насыщения Zst. Кружки и ромбы соответствуют данным до радиационного облучения, треугольники и перевернутые треугольники — данным после облучения. (б) — Весовые коэффициенты при различном насыщении. Ромбы и перевернутые треугольники показывают результаты расчета до и после облучения соответственно. Погрешности указаны только для некоторых показательных данных
До облучения результаты, полученные при комнатной температуре, аналогичны результатам, представленным на рис. 2. Если предположить, что времена и близки, т.е. примесная релаксация за счет парамагнитных центров полностью подавляется в условиях магнитного насыщения для части ядер, то из (1) получаем оценку для = (17.9 ± 0.5) с.
Как видно из рис. 3а, появление в результате гамма-облучения центров окраски увеличивает эффективность спин-фононной связи за счет усиления примесного вклада в релаксацию. Так, общее время спин-решеточной релаксации квадрупольных ядер 23Na до облучения кристалла составляло = (12.40 ± 0.12) с, а после облучения = (10.33 ± 0.04) с. Согласно (1) можно записать скорость спин-решеточной релаксации после облучения в виде
(7)
где — время релаксации с участием центров окраски. Из сравнения времен и получаем, что время приблизительно равно 61 с. По данным, приведенным на рис. 3а, можно рассчитать времена релаксации = (39.9 ± 1.7) с и = (24.5 ± 1.2) с, имеющие смысл времен релаксации до и после гамма-облучения для части ядер, для которых была отключена примесная релаксация. Различие между скоростями релаксации и равно 0.0167 с–1, что очень близко к . Полученный результат демонстрирует отсутствие эффекта подавления релаксации, обусловленной центрами окраски. Это означает выполнение неравенства (5) для ядер около центров окраски при любых значениях Zst.
На рис. 3б показаны рассчитанные на основе уравнения (6) зависимости доли ядер натрия до и после радиационного воздействия, для которых подавляется примесная релаксация при магнитном насыщении. Видно, что эти зависимости имеют близкий характер за исключением величин порогового фактора насыщения Zst, при которых начинает фиксироваться вторая экспонента в уравнении (6) с более медленным временем восстановления ядерной намагниченности τ2. До гамма-облучения пороговый фактор насыщения был равен Zst = 0.42 и увеличивался после облучения до Zst = 0.58. Можно предположить, что наблюдаемое различие объясняется ускорением спиновой релаксации после гамма-облучения и соответственно большей мощностью насыщающего дополнительного импульса, которая требуется для достижения одинаковых значений Zst. Действительно, пороговые значения фактора насыщения до и после радиационного облучения достигались при близких значениях мощности насыщающего импульса. Это согласуется со сделанным выше выводом о том, что магнитное насыщение не подавляет вклад в релаксацию центров окраски.
Другой наблюдаемой в ЯМР спиновой системой ядер в кристалле NaF является спин-система 19F. Так как ядра фтора имеют спин ½ и обладают только магнитным дипольным моментом, время спин-решеточной релаксации полностью определяется примесной спин-фононной связью, включая вклад F-центров, в то время как скорость в отсутствие у ядер квадрупольных моментов пренебрежимо мала. После облучения для ядер фтора можно переписать (7) как
. (8)
На рис. 4 показаны зависимости времен спин-решеточной релаксации ядер 19F, рассчитанных по скорости восстановления ядерной намагниченности после инверсии в условиях насыщения при комнатной температуре до и после гамма-облучения. Облучение не изменило ширину наблюдаемой линии ЯМР 19F, которая составляла на половине высоты приблизительно 100 ppm. Из рис. 4 очевидно, что магнитное насыщение не влияет на эффективность спин-решеточной релаксации дипольных ядер фтора. Из-за малого вклада решеточного механизма спин-фононной связи скорость релаксации более чувствительна к появлению F-центров. Время релаксации меняется от = (128.5 ± 1.3) с в необлученном кристалле до = (6.82 ± 0.12) с, после облучения, что соответствует времени = (7.20 ± 0.14) с. На примере спин-системы 19F можно сделать вывод, что стационарное магнитное насыщение не приводит к нарушению неравенства (5) и к подавлению примесной релаксации для дипольных ядер.
Рис. 4. Времена спин-решеточной релаксации ядер 19F в зависимости от фактора стационарного магнитного насыщения Zst. Кружки и треугольники показывают результаты, полученные до и после гамма-облучения соответственно
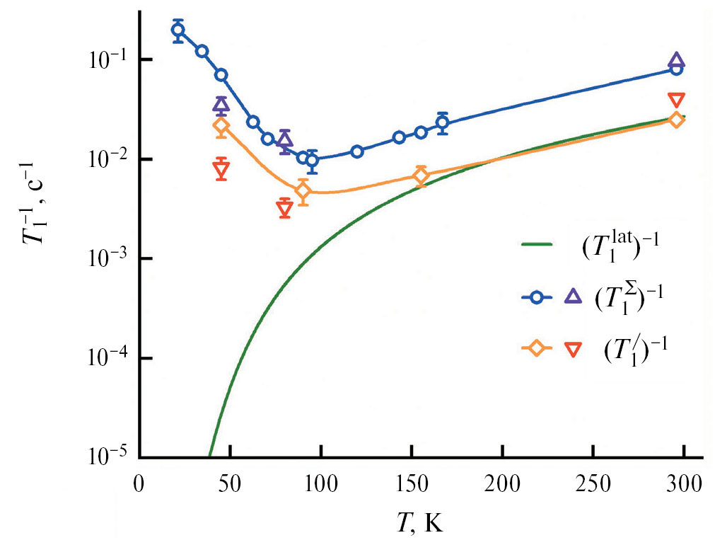
На рис. 5 показаны изменения с температурой скоростей и спин-решеточной релаксации квадрупольных ядер 23Na до и после радиационного облучения. Для сравнения представлена теоретическая зависимость скорости релаксации квадрупольных ядер за счет рамановских комбинационных процессов для тепловых фононов в рамках модели Дебая [22, 23]:
, (9)
где С — постоянный коэффициент, kB — постоянная Больцмана, ħ — постоянная Планка и θD = 492 K — температура Дебая для кристалла NaF [24].
Рис. 5. Скорости спин-решеточной релаксации 23Na в зависимости от температуры. Сплошная линия — теоретическая зависимость скорости релаксации для квадрупольных ядер. Кружки и ромбы соответствуют данным до гамма-облучения, треугольники и перевернутые треугольники — после облучения. Погрешности указаны только для некоторых показательных данных
Построенная кривая практически совпадает с температурной зависимостью вплоть до Т = 180 К. Такое поведение согласуется со сделанным выше предположением, что при комнатной температуре. Далее с понижением температуры наблюдается возрастание скорости , что свидетельствует о неполном подавлении примесной релаксации.
Диполь-дипольное взаимодействие парамагнитного центра, имеющего несконпенсированный электронный спин S, с соседним ядерным спином усиливается в раз по сравнению с Валлеровским механизмом спин-фононной связи. Здесь γS и γ — гиромагнитные отношения парамагнитного центра и ядра. В этом случае выражение для эффективной скорости спин-решеточной релаксации ядер за счет прямого взаимодействия с парамагнитным центром на расстоянии r согласно [5] имеет вид:
, (10)
где τc — время релаксации парамагнитного центра, ω0 — частота Лармора для наблюдаемых ядер, коэффициент A зависит от величины спинов. С понижением температуры кристалла и увеличением значения τc связь парамагнитного центра и соседних ядер усиливается при приближении величины ω0τc к 1. Это вызывает ускорение примесной релаксации (рис. 5). Рост эффективности примесной релаксации ядерных спинов и неполное подавление примесной релаксации приводит также к увеличению отклонения скорости от величины .
ЗАКЛЮЧЕНИЕ
На примере монокристалла NaF экспериментально продемонстрирована возможность влияния на эффективность спин-фононной связи ядер 23Na, имеющих квадрупольный момент, стационарного магнитного насыщения ядерной спин-системы, создаваемого методами ЯМР. Изменение скорости релаксации происходит за счет подавления примесной релаксации, идущей с участием парамагнитных центров и спиновой диффузии. Показано, что магнитное насыщение не подавляет вклад в релаксацию центров окраски, образующихся в кристалле под действием гамма-облучения. Для ядер 19F со спином 1/2 эффективность примесной релаксации, доминирующей в реальных кристаллах, не уменьшается под действием магнитного насыщения. С понижением температуры степень подавления примесной релаксации ядер 23Na понижается. В результате ниже 180 K скорость релаксации значительно отличается от скорости релаксации в кристалле с идеальной решеткой. Использованная методика разделения механизмов спин-фононного взаимодействия квадрупольных ядер реализована на промышленном импульсном спектрометре ЯМР.
Измерения проводились на оборудовании Ресурсного центра Научного парка СПбГУ “Центр диагностики функциональных материалов для медицины, фармакологии и наноэлектроники”. Определение состава и концентрации парамагнитных примесей в образцах проведено в Ресурсных центрах Научного парка СПбГУ “Методы анализа состава вещества” и “Физические методы исследования поверхности”.
Авторлар туралы
A. Rochev
Saint Petersburg State University
Email: v.mikushev@spbu.ru
Ресей, Saint Petersburg
V. Mikushev
Saint Petersburg State University
Хат алмасуға жауапты Автор.
Email: v.mikushev@spbu.ru
Ресей, Saint Petersburg
E. Charnaya
Saint Petersburg State University
Email: e.charnaya@spbu.ru
Ресей, Saint Petersburg
A. Serov
Saint Petersburg State University
Email: v.mikushev@spbu.ru
Ресей, Saint Petersburg
Әдебиет тізімі
- Абрагам А., Гольдман М. Ядерный магнетизм: порядок и беспорядок: в 2-х томах. М.: Мир, 1984. 660 с.
- Микушев В.М., Чарная Е.В. Ядерный магнитный резонанс в твердом теле. СПб: Издательство Санкт-Петербургского университета, 1995. 204 с.
- Бахрамов А., Столыпко А.Л., Чарная Е.В., Шутилов В.А. Спин-фононное взаимодействие в кристаллах NaCl и NaF, легированных медью // ФТТ. 1986. Т. 28. № 3. С. 844–849.
- Хуцишвили Г.Р. Спиновая диффузия // УФН. 1965. Т. 87. № 2. С. 211–250.
- Гольдман М. Спиновая температура и ЯМР в твердых телах. М.: Мир, 1972. 342 с.
- Кулешов А.А., Микушев В.М., Столыпко А.Л., Чарная Е.В. Акустический ядерный резонанс в условиях бегущей ультразвуковой волны // Акуст. журн. 1989. Т. 35. № 3. С. 473–476.
- Ефиценко П.Ю., Микушев В.М., Чарная Е.В. Прямое измерение решеточного и примесного вкладов в спин-решеточную релаксацию квадрупольных ядер // Письма в ЖЭТФ. 1991. Т. 54. № 10. С. 583–585.
- Ефиценко П.Ю., Мавлоназаров И.О., Микушев В.М., Чарная Е.В. Прямое измерение решеточного и дефектного вкладов в спин-решеточную релаксацию квадрупольных ядер в кристаллах GaAs и NaI // ФТТ. 1992. Т. 34. № 6. С. 1753–1758.
- Мавлоназаров И.О., Микушев В.М. Измерение времени ядерной спин-решеточной релаксации в монокристаллах хлористого натрия в присутствии ультразвука // ФТТ. 1992. Т. 34. № 7. С. 2257–2260.
- Микушев В.М., Чарная Е.В. Ядерная спин-решеточная релаксация в условиях акустического, электрического и магнитного насыщения // Акуст. журн. 1994. Т. 40. № 1. С. 171–173.
- Голенищев-Кутузов В.А., Самарцев В.В., Соловаров Н.К., Хабибулин Б.М. Магнитная квантовая акустика. М: Наука, 1977. 200 с.
- Власов В.С., Голов А.В., Котов Л.Н., Щеглов В.И., Ломоносов А.М., Темнов В.В. Современные проблемы сверхбыстрой магнитоакустики // Акуст. журн. 2022. Т. 68. № 1. С. 22–56. https://doi.org/10.31857/S0320791922010075
- Кулешов А.А., Микушев В.М., Столыпко А.Л., Чарная Е.В., Шутилов В.А. Роль дефектов и спиновой диффузии в электрическом насыщении линии ЯМР в кристаллах GaAs // ФТТ. 1986. Т. 28. № 11. С. 3262–3266.
- Кулешов А.А., Микушев В.М., Столыпко А.Л., Чарная Е.В., Шутилов В.А. Роль точечных дефектов в ядерном квадрупольном спин-фононном взаимодействии в диэлектрических кристаллах // Акуст. журн. 1986. Т. 32. № 6. С. 836–838.
- Мавлоназаров И.О., Микушев В.М., Чарная Е.В. Прямое измерение решеточного и примесного вкладов в ядерную спин-решеточную релаксацию в условии магнитного насыщения // Письма в ЖЭТФ. 1992. Т. 56. № 1. С. 15–17.
- Chandul A., Charnaya E.V., Kuleshov A.A., Mikushev V.M., Ulyashev A.M. Impurity Nuclear Spin-Lattice Relaxation Suppression and Charge Exchange of Chromium Ions in a γ–Irradiated Ruby Crystal // J. Magn. Reson. 1998. V. 135. № 1. P. 113–117. https://doi.org/10.1006/jmre.1998.1550
- Mikushev V.M., Charnaya E.V., Lee M.K., Chang L.-J. Suppression of the defect contribution to nuclear spin-lattice relaxation by long rf magnetic pulses for the particular case of 23NaCl // Results Phys. 2019. V. 12. P. 1202–1203. https://doi.org/10.1016/j.rinp.2019.01.008
- Микушев В.М., Рочев А.М., Чарная Е.В. Ослабление спин-фононной связи квадрупольных ядер в кристаллах NaF в условиях магнитного насыщения // Акуст. журн. 2023. Т. 69. № 6. С. 695–701. https://doi.org/10.31857/S0320791923600464
- Лущик Ч.Б., Лущик А.Ч. Распад электронных возбуждений с образованием дефектов в твердых телах. М.: Наука, 1989. 262 с.
- Klick C.C. Properties of Electron Centers. Point Defects in Solids, ed. by Crawford J.H. and Slifkin L.M. V. 5. 135. 1972. New York: Plenum Press, ISBN: 0306375117 (volume 1), 0306375125 (volume 2).
- Charnaya E.V., Mikushev V.M., Shabanova E.S. Direct measurements of impurity and lattice components of the nuclear spin-lattice relaxation in Al2O3 crystals // JPCM. 1994. V. 6. № 37. С. 7581–7588. https://doi.org/10.1088/0953-8984/6/37/012
- Кессель А.Р. Ядерный акустический резонанс. М: Наука, 1969. 215 с.
- Микушев В.М., Уляшев А.А., Чарная Е.В., Chandoul А. Температурная зависимость времени спин-решеточной релаксации квадрупольных ядер в условиях насыщения линии ЯМР // ФТТ. 2002. Т. 44. № 6. С. 1001–1005.
- Ashcroft N.W., Mermin N.D. Solid State Physics. Saunders Collage Publishing, 1976. 826 p.
Қосымша файлдар






