Gap Shear Waves in Quasi PT-Symmetric Piezoelectric Heterostructure Near the Point of Mode Generation
- Авторлар: Vilkov E.A.1, Byshevsky-Konopko O.A.1, Kalyabin D.V.2,3, Nikitov S.A.2,3,4
-
Мекемелер:
- Fryazino Branch of the V.A. Kotelnikov Institute of Radio Engineering and Electronics of the Russian Academy of Sciences
- V.A. Kotelnikov Institute of Radio Engineering and Electronics of the Russian Academy of Sciences
- Moscow Institute of Physics and Technology
- Saratov State University
- Шығарылым: Том 70, № 5 (2024)
- Беттер: 663-671
- Бөлім: ФИЗИЧЕСКАЯ АКУСТИКА
- URL: https://bakhtiniada.ru/0320-7919/article/view/272915
- DOI: https://doi.org/10.31857/S0320791924050028
- EDN: https://elibrary.ru/XCPHIG
- ID: 272915
Дәйексөз келтіру
Толық мәтін
Аннотация
The propagation of slit shear waves in the quasi-symmetric structure of piezoelectrics of the 4mm symmetry class has been theoretically investigated. It has been shown that taking into account the unequal level of losses and amplification in piezoelectrics leads in the shear wave spectrum either to an intersection, or to a touch, or to a convergence of two modes at the point of their degeneracy (singular point). It is established that the intersection of the mode spectra occurs only in the case of equal loss and gain values (PT is a symmetric structure). Based on this, it is concluded that by the nature of the spectra near a singular point, it is possible to determine the level of imbalance of gain and loss in piezoelectric waveguides. As in the case of a purely PT-symmetric structure, the frequency dependence of the amplitude at an exceptional point of a quasi PT-symmetric structure (with a fairly small difference in loss and gain levels) has a very narrow peak, which opens up the possibility of creating hypersensitive sensors based on them. Thus, it is demonstrated that even with unequal levels of loss and gain in piezoelectrics (quasi PT-symmetric structure), it is possible to obtain a structure with all the properties of a PT-symmetric structure.
Негізгі сөздер
Толық мәтін
ВВЕДЕНИЕ
В настоящее время акустические волны широко используются в различных устройствах. Мониторинг состояния конструкций и неразрушающий контроль [1], манипулирование малыми объектами [2, 3], микроэлектромеханические системы (МЭМС) [4] — это лишь малая часть практических применений акустических волн. Связь акустической и электрической подсистем в пьезоэлектриках открывает дополнительный канал для управления спектральными свойствами акустических волн [5–10].
В этой работе предположим, что сдвиговые волны распространяются в щелевой структуре двух идентичных пьезоэлектриков класса 4mm, принимая во внимание усиление волны в одном из них и затухание в другом. При этом уровни потерь и усиления различны. Впервые щелевые электроакустические волны были исследованы теоретически и экспериментально в работах в [10–14, 5, 15–18]. Было показано, что волны такого типа могут быть практически полезны при разработке датчиков для измерения параметров материалов и полей, жидкостей или для обнаружения микроорганизмов и коронавирусов [15–21]. Однако ситуация, когда волны усиливаются и затухают в пьезоэлектриках с неодинаковыми уровнями потерь и усиления — квазисимметричная структура, ранее не рассматривалась.
Симметричная система с четностью по времени (PT) — это пример, когда сбалансированные электроакустические потери и усиление в одном волноводе компенсируют собственное затухание в другом. Концепция PT-симметрии появилась в 1998 г. [22]. Интерес к идее PT-симметрии значительно возрос и был расширен за счет соответствующих сравнений с другими физическими системами, особенно в оптике [23, 24], электронике [25], акустике [26] и магнетизме [27–30]. Спектр PT-симметричной системы, как правило, сложен, но он становится реальным, если собственные моды инвариантны к PT-преобразованию. Точка перехода системы в фазу с нарушением симметрии происходит в так называемой особой точке, где собственные значения изменяются с вещественных на комплексные. При прохождении исключительной точки собственные моды и собственные значения системы становятся вырожденными. Таким образом, PT-симметричные системы представляют собой экзотический класс консервативных систем, которые одновременно обладают свойствами диссипативных систем. Наблюдение интересных эффектов, таких, как генерация одномодового лазера [31] и регулирование магнитной проницаемости в точках вырождения мод [32], возможно благодаря отличительным особенностям спектра PT-оператора. При этом переход от реального к комплексному спектру наблюдался во множестве систем со сбалансированными коэффициентами усиления и потерь [33, 34].
Плоские PT-симметричные пьезоэлектрические волноводы рассматривались в наших работах [35, 36], где теоретически исследованы спектральные свойства щелевых электроакустических волн в PT-симметричной структуре пьезоэлектриков класса симметрии 6, 4mm, разделенных зазором. Однако реализация чисто PT-симметричной структуры требует одинаковых уровней усиления и потерь в пьезоэлектриках, что довольно сложно реализовать на практике. Итак, возникает вопрос: какими свойствами будут обладать электроакустические волны в квазисимметричной структуре, когда уровни потерь и усиления отличаются друг от друга по модулю? В этом исследовании мы рассматриваем распространение сдвиговых волн в квазисимметричной структуре с зазором, созданным двумя идентичными пьезоэлектриками с симметрией класса 4mm. Модель, исходные уравнения и граничные условия обсуждаются в разделе 1 статьи. В разделе 2 представлено решение краевой задачи. Раздел 3 посвящен обсуждению численного решения дисперсионного уравнения.
ФОРМУЛИРОВКА ЗАДАЧИ
В геометрии задачи, представленной на рис. 1, предполагается, что оба кристалла относятся к классу симметрии 4mm с одинаковой ориентацией кристаллографических осей 4-го порядка перпендикулярно плоскости рисунка. Кроме того, чтобы прояснить возможность проявления свойств квази PT-симметрии [24] в этой структуре, мы считаем, что электроакустические волны усиливаются в одном кристалле, а в другом они ослабляются. Ослабление и усиление учитываются комплексной добавкой α1,2 (α1 ≠ α2) к волновому числу k. Продольное волновое число (вдоль направления распространения), которое будет фигурировать в исходных уравнениях, имеет вид:
. (1)
Рис. 1. Схема задачи. Буквами A, S обозначены антисимметричная и симметричная моды
В формуле (1) выбирается знак минус для верхнего кристалла (усиление волны) — j = 1, а знак плюс для нижнего кристалла (ослабление волны) — j = 2 (см. рис. 1) для заданной зависимости электроакустической волны от координаты ∼ exp(ik(j)x).
Исходные уравнения будут такими же, как в [36], за исключением членов, содержащих коэффициент поперечной пьезоактивности, с учетом уравнения (1), где |α1| ≠ |α2|:
(2)
Здесь uj — сдвиговое смещение в пьезоэлектриках, Φj, φj — электрические потенциалы, — скорость сдвиговых волн горизонтальной поляризации в j-ом пьезокристалле с модулем упругости , пьезомодулем , диэлектрической проницаемостью εj и плотностью ρj. Уравнения (2) следует решать совместно с уравнением Лапласа:
(3)
для потенциала Φ0 электрического поля, возникающего в зазоре (|y| < h, 2h — толщина зазора) между кристаллами. Кроме этого, на неметаллизированных границах кристаллов y = ±h должны соблюдаться требования непрерывности потенциалов и нормальных составляющих Dy векторов электрической индукции, а также отсутствия сдвиговых напряжений Tyz.
В случае сдвиговых волн (см. [36]) с поляризацией смещений по оси симметрии высшего порядка имеем для кристаллов класса 4mm следующие выражения:
. (4)
Они не содержат производных по времени и поэтому справедливы в любых инерциальных системах отсчета — следовательно, пригодны для представления нормальных составляющих электрической индукции и сдвигового напряжения в лабораторной системе отсчета для обоих кристаллов.
Выражения (4), необходимые для формулировки граничных условий, можно несколько изменить. Для этого воспользуемся последним из равенств (2). После несложных преобразований получим:
. (5)
Теперь, с учетом равенств (5), где уже потребуется индексировать параметры и поля номером j = 1, 2 кристалла, упомянутые выше граничные условия можно написать следующим образом:
(6)
В выражениях (5) и (6), как и в предыдущих разделах, верхней звездочкой помечены пьезоэлектрически ужесточенные модули сдвига кристаллов: .
ДИСПЕРСИОННОЕ СООТНОШЕНИЕ
Решение уравнений (2) ищем в виде волн, распространяющихся вдоль границ структуры y = ±h. Ввиду этого, примем, что uj, Φj и Φ0 ~ exp[i(k(j)x-ωt)], где k(j) — волновое число, определяемое выражением (1), ω — циклическая частота щелевой электроакустической волны в лабораторной системе отсчета. С учетом требования ограниченности сдвиговых смещений и потенциалов электрических полей кристаллов на основании (1) получим:
(7)
Величины s1,2 определяются равенствами:
(8)
и имеют смысл коэффициентов амплитудного спадания сдвиговых смещений при удалении от границы соответствующего кристалла. Видно, что учет формулы (1) приводит к тому, что появляется волновая “добавка” у полей, которая направлена от среды с затуханием (j = 2) к среде с усилением (j = 1).
Примем, что материальные параметры сред одинаковы. Это одно из условий PT-симметричности сред. Однако, как уже говорилось выше, коэффициенты затухания и усиления не равны друг другу α1 ≠ α2. Таким образом, рассматриваем квази PT-симметричную структуру. Подстановка выражений (7) в граничные условия (6) приводит к следующей системе шести однородных алгебраических уравнений относительно амплитуд U1,2, F1,2, A и B:
(9)
Здесь величины представляют собой квадраты коэффициентов электромеханической связи кристаллов для продольного пьезоэффекта, , εj — диэлектрическая проницаемость.
Для нахождения дисперсионного уравнения, описывающего электроакустические волны в PT-симметричной щелевой структуре, введем соотношение:
, (10)
где константа .
Из равенства нулю детерминанта системы уравнений (9), получаем искомое дисперсионное соотношение для щелевых электроакустических волн в слоистой структуре пьезоэлектриков класса 4mm с вакуумной щелью. Оно имеет громоздкий вид и здесь не приводится.
При отсутствии затухания и усиления и равенстве материальных параметров кристаллов дисперсионное уравнение имеет вид:
.
Здесь exp(ξ) = exp(kh). Отсюда получаем возможность выразить s явным образом;
. (11)
Как и следовало ожидать, формула (11) повторяет результат работы [12]. Здесь следует отметить, что величины s зависят от переменной ξ = kh. Из-за этого спектр мод (как и в случае усиления и ослабления волн) качественно не изменяется при изменении параметра h. Он просто масштабируется обратно пропорционально h.
Существенным преимуществом явного представления спектра щелевых электроакустических волн по формулам (11) является то обстоятельство, что при установлении их общих дисперсионных свойств отпадает необходимость численного решения трансцендентных уравнений. Так, определив простым расчетом s для избранного значения k, последующим использованием формул (8) можно всегда установить соответствующее этому k (и этому s) значение ω, а далее найти фазовую скорость волны. Другое достоинство формулы (11) заключается в явном разделении спектра по модам — симметричной (верхние знаки в (11)) и антисимметричной (нижние знаки в (11)), названных так в соответствии с характером распределения электрического потенциала в зазоре [8, 9]. Общая картина спектров мод щелевых электроакустических волн для одинаковых тетрагональных кристаллов без затухания и усиления показана на рис. 2.
Рис. 2. Спектр мод щелевых электроакустических волн для двух одинаковых пьезокристаллов класса 4mm в отсутствие затухания и усиления
Спектры симметричной и антисимметричной мод щелевой электроакустической волны помечены на рис. 2 соответственно знаками “плюс” и “минус”. Штриховые прямые I и II изображают линейные спектры электроакустической волны на металлизированной: s=kK 2 и неметаллизированной: s = k(K 2)/(1+e) границах пьезоэлектрического кристалла [5].
ЧИСЛЕННЫЙ РАСЧЕТ И ОБСУЖДЕНИЕ РЕЗУЛЬТАТОВ
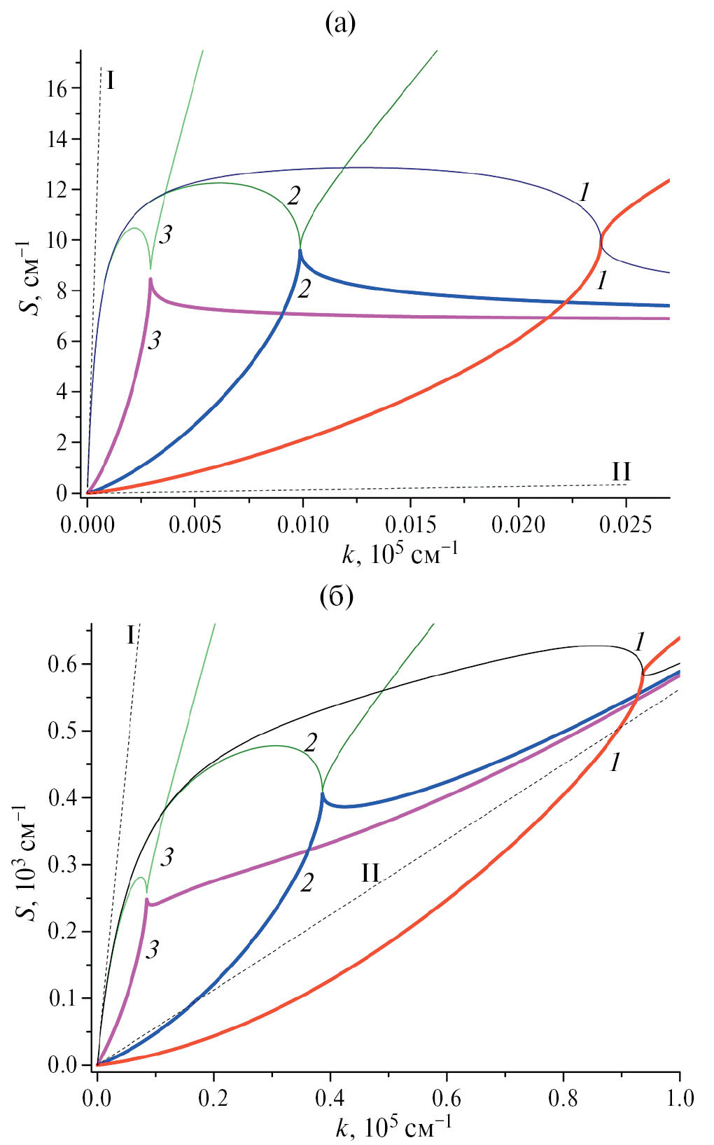
Численный расчет дисперсионного уравнения для различных значений коэффициента представлен на рис. 3а (BaTiO3) и рис. 3б (Ba2Si2TiO8). Первый материал, спектр которого представлен на рис. 3а, это титанат бария BaTiO3 класса симметрии 4mm с параметрами: K2 = 0.27, ε = 2000 [34]. На рис. 3б представлен спектр для второго материала Ba2Si2TiO8 класса симметрии 4mm с параметрами: K2 = 0.99, ε = 15 [31]. Тонкие штриховые прямые I и II представляют собой линейные спектры электроакустической волны на металлизированной: s = kK 2 и неметаллизированной: s=k(K 2)/(1 + ε) границах пьезоэлектрического кристалла (см. рис. 2).
Рис. 3. Спектр мод электроакустических волн для двух идентичных пьезокристаллов класса 4mm, разделенных зазором (h = 10–5 см): (а) — BaTiO3, (б) — Ba2Si2TiO8. Цифры указывают спектры “симметричной” (утолщенная кривая) и “антисимметричной” мод (тонкая кривая) для различных уровней ослабления и усиления: 1 — , 2 — , 3 —
Видно, что учет затухания и усиления в соседних пьезоэлектриках приводит к тому, что чем больше значение , тем круче становится ход кривой “симметричной” моды. Кривые “симметричной” и “антисимметричной” мод1 движутся навстречу друг другу так, что при определенных значениях и соотношениях усиления и затухания (при ) происходит либо их пересечение (см. кривые 3 на рис. 3а, 3б), либо их касание (см. кривые 2 на рис. 3б) или сближение (см. кривые 1 на рис. 3а, 3б) в определенной точке спектра. Далее точку, где происходит либо сближение, либо касание или пересечение мод, назовем точкой вырождения мод. Можно предположить, что только за точкой вырождения мод щелевой структуры, по аналогии с оптическими и магнитными системами [24, 29, 30], происходит нарушение чисто симметричного распределения полей по толщине структуры. Далее мы покажем, что только в случае пересечения мод точка вырождения мод является особой точкой. Сама точка пересечения получила название в литературе особой точки, которая для PT-симметричных структур имеет ряд интересных свойств. Существенной характеристикой особых точек является то, что в них вырождаются не только собственные значения, но и соответствующие собственные векторы [14]. В эрмитовых системах пространство собственных значений имеет топологию двойного конуса с точками вырождения в вершинах конусов. Напротив, в неэрмитовых системах пространство собственных значений представляет собой римановы листы с центром вблизи исключительных точек [25]. Кроме того, эта уникальная характеристика позволяет создавать сверхчувствительные датчики на основе PT-симметричных физических структур [32]. Эти структуры, действительно, имеют поразительно узкую резонансную кривую. В конце статьи мы проверим это расчетом зависимости амплитуды от частоты для всех типов “взаимодействия” мод (пересечения, касания, сближения).
К точке вырождения мод можно идти, согласно рис. 3, либо подбирая соответствующее волновое число, либо увеличивая уровень усиления (ослабления). При учет усиления и затухания способствует “симметричности” профиля, а при симметричная мода полностью исчезает, вырождаясь в квазисимметричную моду. Такое пороговое поведение симметричности волновых полей от уровня потерь (усиления) характерно для PT-симметричных систем [24]. Так, к примеру, из хода кривой 2 на рис. 3б видно, что, если при расчете профиля полей зафиксировать волновое число на уровне k = 38761 см–1, то при увеличении () от нуля до значения, больше, чем (), мы получим пороговое нарушение симметричности именно в точке (). Это предположение необходимо подтвердить расчетом разности амплитуд электрического потенциала в зазоре.
Пороговость поведения спектральных характеристик от величины потерь и усиления подтверждается расчетом разности амплитуд электрического потенциала в зазоре двух пьезоэлектриков фресноита Φ0 при y = ±h, показанная на рис. 4. При эта разность равна нулю, а при она растет скачкообразно. Аналогичное поведение разности Φ0 при y = ±h имеет место для всех типов точек вырождения мод и для другого материала — титаната бария.
Рис. 4. Зависимость разности амплитуд электрического потенциала Φ0 в зазоре при y = ±h от величины
На рис. 5 представлены профили модулей полей полного потенциала для кривой 2 спектра на рис. 3б в точках: рис. 5а — до точки вырождения мод, волновое число в точке k = 24500; рис. 5б — в точке вырождения мод, волновое число в точке k = 38761; рис. 5в — после точки вырождения мод, волновое число в точке k = 49200 для симметричной моды и антисимметричной моды. Как видно, до этой точки (см. рис. 5а) и в самой точке (см. рис. 5б) распределение модулей амплитуд электрических полей двух мод имеет симметричный вид в зазоре щелевой структуры пьезоэлектриков. Как мы установили численными расчётами, это будет справедливо для любых волновых векторов до точки вырождения мод и для любого типа точек вырождения. После этой точки происходит нарушение симметричности распределения полей (см. рис. 5в). В этой точке вырождения модули и аргументы фаз амплитуд электрических полей мод совпадают лишь в случае касания, либо пересечения мод. На рис. 5б модули немного расходятся, так как спектры в точке вырождения мод не полностью совпадают (см. кривую 2 на рис. 3б). Как показано в работе [33], при увеличении потерь переток энергии становится несимметричным, и распространение волн происходит преимущественно в одной из сред.
Рис. 5. Профиль модуля полного потенциала для двух мод, когда . Расчетные параметры соответствуют рис. 3б. (а) — k = 24500 см–1, (б) — k = 38761 см–1, (в) — k = 49200 см–1
Симметрия распределения поля нарушается после точки вырождения мод (как показано на рис. 5в). Только когда моды соприкасаются или пересекаются, модули и фазовые аргументы амплитуд электрических полей мод совпадают в точке вырождения (см. кривую 2 на рис. 3б). Таким образом, расчет подтверждает наше предположение о пороговом поведении распределения профиля симметричной моды.
На рис. 6а, 6б и 6в показаны зависимости амплитуды электрического потенциала “симметричной” и “антисимметричной” мод при y = 0 (середина зазора) от частоты для различных значений .
Рис. 6. Зависимости амплитуд электрического потенциала “симметричной” (утолщенная кривая) и “антисимметричной” (тонкая кривая) мод при y = 0 от частоты для: (а) — , (б) — , (в) —
Рис. 6а соответствует параметрам кривой 3 на рис. 3б (точка сближения мод). Рис. 6б соответствует параметрам кривой 2 на рис. 3б (точка касания мод). Рис. 6в соответствует параметрам спектра, когда моды касаются, но они соответствуют очень малой разности усиления и ослабления. Только в случае малой разности усиления и ослабления волн образуется узкий пик в точке νR = 1.17 ГГц для “симметричной” моды и узкий минимум для “антисимметричной” моды в точке вырождения мод. Аналогичное поведение зависимостей амплитуд от частоты имеет место и для титаната бария. Таким образом, только в случае малой разности усиления и ослабления волн точка вырождения мод определяет особую точку квази PT-симметричной структуры. Резонансная ширина максимума квази PT-симметричной структуры составляет примерно ≈ 0.57 от резонансной частоты νR = 1.17 ГГц. Резонансная ширина антирезонансной линии составляет приблизительно ~ 0.29 от пика резонанса на той же частоте. Как упоминалось ранее, эта характеристика особых точек позволяет создавать сверхчувствительные датчики на основе PT-симметричных и квази PT-симметричных физических структур [32].
ЗАКЛЮЧЕНИЕ
В представленной работе теоретически исследуются спектральные свойства электроакустических волн в квазисимметричной структуре пьезоэлектриков класса симметрии 4mm, разделенных зазором. Спектры были рассчитаны для двух материалов: титаната бария и фресноита. При отсутствии ослабления и усиления спектр состоит из симметричной и антисимметричной моды. Было показано, что учет неравного уровня потерь и усиления в пьезоэлектриках приводит в спектре электроакустических волн либо к пересечению, либо к касанию, либо к сближению двух мод в особой точке. Во всех случаях, вплоть до этой точки вырождения и в самой точке (касание, схождение, пересечение), распределение амплитудных модулей электрических полей двух мод имеет симметричную форму в зазоре между пьезоэлектриками. После этой точки симметрия распределения поля нарушается. Было установлено, что точка пересечения спектров мод возникает только в случае баланса потерь и усиления (PT-симметричная структура). Таким образом, по характеру спектров вблизи точки вырождения мод можно определить уровень дисбаланса усиления и потерь в пьезоэлектрических волноводах. Как и в случае чисто PT-симметричной структуры, частотная зависимость амплитуды в особой точке квази PT-симметричной структуры (при достаточно небольшой разнице в уровнях потерь и усиления) обладает очень узким максимумом, что открывает возможность создания сверхчувствительных датчиков на их основе. В особой точке значения модулей и фаз амплитуд электрических полей мод совпадают. Таким образом, даже при неодинаковых уровнях потерь и усиления в пьезоэлектриках (квази PT-симметричная структура) можно получить структуру, обладающую всеми свойствами PT-симметричной структуры.
Часть работы была выполнена в рамках государственного задания Министерства науки и высшего образования Российской Федерации (тема №FFWZ-2022-0016). Часть исследования была выполнена в рамках государственного задания Министерства науки и высшего образования Российской Федерации (тема № FFWZ-2022-0015).
1 Название “симметричная” и “антисимметричная” моды условно соответствуют (исходя из сравнения хода кривых на рис. 2 и рис. 3) названию мод на спектре рис. 2.
Авторлар туралы
E. Vilkov
Fryazino Branch of the V.A. Kotelnikov Institute of Radio Engineering and Electronics of the Russian Academy of Sciences
Хат алмасуға жауапты Автор.
Email: e-vilkov@yandex.ru
Ресей, Fryazino
O. Byshevsky-Konopko
Fryazino Branch of the V.A. Kotelnikov Institute of Radio Engineering and Electronics of the Russian Academy of Sciences
Email: e-vilkov@yandex.ru
Ресей, Fryazino
D. Kalyabin
V.A. Kotelnikov Institute of Radio Engineering and Electronics of the Russian Academy of Sciences; Moscow Institute of Physics and Technology
Email: e-vilkov@yandex.ru
Ресей, Moscow; Dolgoprudny
S. Nikitov
V.A. Kotelnikov Institute of Radio Engineering and Electronics of the Russian Academy of Sciences; Moscow Institute of Physics and Technology; Saratov State University
Email: e-vilkov@yandex.ru
Ресей, Moscow; Dolgoprudny; Saratov
Әдебиет тізімі
- Miao H., Li F. Shear horizontal wave transducers for structural health monitoring and nondestructive testing: A review // Ultrasonics. 2021. V. 114. P. 106355.
- Xu D., Cai F., Chen M., Li F., Wang C., Meng L., Xu D., Wang W., Wu J., Zheng H. Acoustic manipulation of particles in a cylindrical cavity: Theoretical and experimental study on the effects of boundary conditions // Ultrasonics. 2019. V. 93. P. 18–25.
- Peng X., He W., Xin F., Genin G.M., Lu T.J. The acoustic radiation force of a focused ultrasound beam on a suspended eukaryotic cell // Ultrasonics. 2020. V. 108. P. 106205.
- Zeng L., Zhang J., Liu Y., Zhao Y., Hu N. Asymmetric transmission of elastic shear vertical waves in solids // Ultrasonics. 2019. V. 96. P. 34–39.
- Shi P., Chen C.Q., Zou W.N. Propagation of shear elastic and electromagnetic waves in one dimensional piezoelectric and piezomagnetic composites // Ultrasonics. 2015. V. 55. P. 42–47.
- Vinyas M. Computational Analysis of Smart Magneto-Electro-Elastic Materials and Structures: Review and Classification // Arch. Computat. Methods. Eng. 2021. V. 28. P. 1205–1248.
- Avetisyan A.S. Electroacoustic Waves in Piezoelectric Layered Composites, in Advanced Structured Materials, Switzerland: Springer Cham, 2023. V. 182. 223 p.
- Monsivais G., Otero J.A., Calás H. Surface and shear horizontal waves in piezoelectric composites // Phys. Rev. B. 2005. V. 71. P. 064101.
- Darinskii A.N., Shuvalov A.L. Existence of surface acoustic waves in one-dimensional piezoelectric phononic crystals of general anisotropy // Phys. Rev. B. 2019. V. 99. P. 174305.
- Shuvalov A.L., Gorkunova A.S. Transverse acoustic waves in piezoelectric and ferroelectric antiphase superlattices // Phys. Rev. B. 1999. V. 59. P. 9070.
- Гуляев Ю.В., Плесский В.П. Щелевые акустические волны в пьезоэлектрических материалах // Акуст. журн. 1977. Т. 23. № 5. С. 716–723.
- Балакирев М.К., Горчаков А.В. Связанные поверхностные волны в пьезоэлектриках // ФТТ. 1977. Т. 19. № 2. С. 613–614.
- Pyatakov P.A. Shear horizontal acoustic waves at the boundary of two piezoelectric crystals separated by a liquid layer // Acoust. Phys. 2001. V. 47. № 6. P. 739–745.
- Dvoesherstov M. Yu., Cherednik V.I., Petrov S.G., Chirimanov A.P. Numerical analysis of the properties of slit electroacoustic waves // Acoust. Phys. 2004. V. 50. № 6. P. 670–676.
- Guliy O., Zaitsev B., Teplykh A., Balashov S., Fomin A., Staroverov S., Borodina I. Acoustical Slot Mode Sensor for the Rapid Coronaviruses Detection // Sensors. 2021. V. 21. № 5. P. 1822.
- Гулий О.И., Зайцев Б.Д., Ларионова О.С., Алсовэйди А.М., Караваева О.А., Петерсон А.М., Бородина И.А. Анализ антибактериальной активности амоксициллина биологическим датчиком с щелевой акустической волной // Антибиотики и Химиотерапия. 2021. Т. 66. № 1–2. С. 12–18.
- Borodina I.A., Zaitsev B.D., Burygin G.I., Guliy O.I. Sensor based on the slot acoustic wave for the non-contact analysis of the bacterial cells — Antibody binding in the conducting suspensions // Sensors and Actuators B Chemical. 2018. V. 268. P. 217–222.
- Borodina I.A., Zaitsev B.D., Teplykh A.A. The influence of viscous and conducting liquid on the characteristics of the slot acoustic wave // Ultrasonics. 2018. V. 82. P. 39–43.
- Inone M., Moritake H., Toda K. and Yoshino K. Viscosity Measurement of Ferroelectric Liquid Crystal Using Shear Horizontal Wave Propagation in a Trilayer Structure // Jpn. J. Appl. Phys. 2000. V. 39 № 9B. P. 5632–5636.
- Ricco A.J. and Martin S.J. Acoustic wave viscosity sensor // Appl. Phys. Lett. 1987. V. 50. № 21. P. 1474–1476.
- Kondoh J., Saito K., Shiokawa S., Suzuki H. Simultaneous Measurements of Liquid Properties Using Multichannel Shear Horizontal Surface Acoustic Wave Microsensor // Jpn. J. Appl. Phys. 1996. V. 35. № 5S. P. 3093–3096.
- Bender C.M., Boettcher S. Real Spectra in Non-Hermitian Hamiltonians Having PT Symmetry // Phys. Rev. Lett. 1998. V. 80. № 24. P. 5243–5246.
- El-Ganainy R., Makris K.G., Christodoulides D.N., Musslimani Z.H. Theory of coupled optical PT-symmetric structures // Opt. Lett. 2007. V. 32. № 17. P. 2632–2634.
- Zyablovsky A.A., Vinogradov A.P., Pukhov A.A., Dorofeenko A.V., Lisyansky A.A. PT-symmetry in optics // Phys. Usp. 2014. V. 57. № 11. P. 1063–1082.
- Schindler J., Lin Z., Lee J.M., Ramezani H., Ellis F.M., Kottos T. PT-symmetric electronics // J. Phys. A Math. Theor. 2012. V. 45. № 44. P. 444029.
- Deymier P.A. Acoustic Metamaterials and Phononic Crystals. Germany: Springer Berlin, 2013. 378 p.
- Galda A., Vinokur V.M. Parity-time symmetry breaking in magnetic systems // Phys. Rev. B. 2016. V. 94. P. 020408.
- Wu J., Liu F., Sasase M., Ienaga K., Obata Y., Yukawa R., Horiba K., Kumigashira H., Okuma S., Inoshita T., Hosono H. Natural van der Waals heterostructural single crystals with both magnetic and topological properties // Sci. Adv. 2019. V. 5. № 11. P. 1–6.
- Temnaya O.S., Safin A.R., Kalyabin D.V., Nikitov S.A. Parity-Time Symmetry in Planar Coupled Magnonic Heterostructures // Phys. Rev. Applied. 2022. V. 18. P. 014003.
- Sadovnikov A.V., Zyablovsky A.A., Dorofeenko A.V., Nikitov S.A. Exceptional-Point Phase Transition in Coupled Magnonic Waveguides // Phys. Rev. Applied. 2022. V. 18. P. 024073.
- Doronin I.V., Zyablovsky A.A., Andrianov E.S., Pukhov A.A., Vinogradov A.P. Lasing without inversion due to parametric instability of the laser near the exceptional point // Phys. Rev. A. 2019. V. 100. P. 021801(R).
- Wang X., Guo G., Berakdar I. Steering magnonic dynamics and permeability at exceptional points in a parity–time symmetric waveguide // Nat. Commun. 2020. V. 11. P. 5663.
- Guo A., Salamo G.J., Duchesne D., Morandotti R., Volatier-Ravat M., Aimez V., Siviloglou G.A., Christodoulides D.N. Observation of PT-Symmetry Breaking in Complex Optical Potentials // Phys. Rev. Lett. 2009. V. 103. P. 093902.
- Yang Y., Jia H., Bi Y., Zhao H., Yang J. Experimental Demonstration of an Acoustic Asymmetric Diffraction Grating Based on Passive Parity-Time-Symmetric Medium // Phys. Rev. Applied. 2019. V. 12. P. 034040.
- Vilkov E.A., Byshevski-Konopko O.A., Temnaya O.S., Kalyabin D.V., Nikitov S.A. Electroacoustic waves in a PT-symmetric piezoelectric structure near the exceptional point // Technical Physics Letters. 2022. V. 48. № 12. P. 74–77.
- Vilkov E.A., Byshevski-Konopko O.A., Kalyabin D.V., Nikitov S.A. Gap electroacoustic waves in PT-symmetric piezoelectric heterostructure near the exceptional point // J. Phys. Condens. Matter. 2023. V. 35. № 43. P. 435001.
- Wiersig J. Review of exceptional point-based sensors // Photonics research. 2020. V. 8. № 9. P. 1457–1467.
Қосымша файлдар







