Holographic method of under-water noise source localization in shallow water
- Authors: Glushchenko M.Y.1, Kuzkin V.M.1,2, Matvienko Y.V.1,3, Pereselkov S.A.1,4, Khvorostov Y.A.1,3, Tkachenko S.A.4
-
Affiliations:
- Joint-stock company "Concern "Granit"
- Institute of General Physics RAS
- Institute for Problems of Marine Technologies SB RAS
- Voronezh State University
- Issue: Vol 70, No 3 (2024)
- Pages: 67-77
- Section: АКУСТИКА ОКЕАНА. ГИДРОАКУСТИКА
- URL: https://bakhtiniada.ru/0320-7919/article/view/268292
- DOI: https://doi.org/10.31857/S0320791924030076
- EDN: https://elibrary.ru/ZMEKAR
- ID: 268292
Cite item
Full Text
Abstract
The results of a high-frequency experiment for the detection and direction estimation of underwater sound noisy source are presented. The experiment was conducted in the shallow waters of the Black Sea coast. The noise emission of the source was received by three vector-scalar receivers located on the bottom. By using holographic processing, the detection and direction estimation of a moving underwater source against the background of intense shipping in the experiment region were carried out. Estimates of the input signal-to-noise ratio are presented.
Full Text
ВВЕДЕНИЕ
В океанической среде изменение расстояния между шумовым источником и приемником приводит к формированию устойчивой интерференционной картины (интерферограммы) в переменных частота–расстояние (время) [1−3]. Конфигурация локализованных полос определяется частотным диапазоном, параметрами волновода, скоростью и траекторией источника. Интерферограмма является математической моделью шумоизлучения источника и среды распространения звука, на основе которой возможны новые подходы к решению проблемы обнаружения и локализации источников по их шумовому полю.
С использованием понятия интерференционного (волноводного) инварианта [1] первые шаги в этом направлении предприняты в работах [4−9], где в отсутствие помехи рассмотрены частные решения задачи. С применением векторно-скалярных приемников (ВСП) помехоустойчивый голографический подход, позволяющий решать комплексную задачу обнаружения и локализации источников (разрешение, определение пеленга, радиальной скорости (проекции скорости в направлении на приемник), удаленности и глубины), предложен в [10−16].
Голографическая обработка основана на двумерном (в координатах частота–время) представлении принимаемого сигнала с последующим выполнением двумерного преобразования Фурье и накоплением полученных данных в определенных секторах углов. Накопление помехи не когерентно. На выходе интегрального преобразования (голограммы) сигнальная спектральная плотность сконцентрирована в узкой полосе в форме фокальных пятен, спектральная плотность помехи распределена по всей области. Такая обработка реализует высокую помехоустойчивость. Важное свойство голограммы состоит также и в том, что она позволяет осуществлять независимые отображения различных источников, интерференционные полосы которых перекрываются по частоте и времени. По расположению спектральных плотностей голограммы и некоторым априорным данным о канале распространения решаются задачи разрешения, обнаружения, пеленгования, определения радиальной скорости и удаленности источников. За пределами области концентрации спектральной плотности источника голограмма очищается от помехи и выполняется обратное двумерное преобразование Фурье. По восстановленной интерферограмме регистрируется огибающая сигнала и через отношение амплитуд соседних мод оценивается глубина источника.
Если в области низких частот (несколько сот герц) теоретические и экспериментальные основы голографического метода локализации шумовых источников ясны [10−16], то малоисследованным остается вопрос о том, насколько успешно метод может применяться в высокочастотном (килогерцовом) диапазоне. В высокочастотном диапазоне метод локализации источника, непосредственно примыкающий к голографическому методу по основным идеям, впервые экспериментально рассмотрен в [17]. Использовалась частотно-временная обработка, согласованная с интерференционной картиной, формируемой движущимся источником.
В данной работе кратко рассмотрены теоретические положения голографического метода, использованные при обработке данных высокочастотного эксперимента. Эксперимент проводился в мелководной акватории Черноморского побережья на фоне интенсивного судоходства. Прием шумоизлучения источника осуществлялся тремя ВСП, расположенными на дне. Представлены результаты по обнаружению и пеленгованию малогабаритного шумового движущегося подводного источника. Приведены оценки входного отношения сигнал/помеха (с/п).
ФИЗИЧЕСКИЕ ОСНОВЫ ГОЛОГРАФИЧЕСКОЙ ОБРАБОТКИ
Голографическая обработка сигнала подводного шумового источника с применением ВСП строится следующим образом. За время наблюдения Δt в полосе Δf накапливаются J независимых временных шумовых реализаций звукового давления P(t) и горизонтальных компонент колебательных скоростей частиц жидкости Vx,y(t) длительностью δt1 и с временным интервалом δt2 между ними
(1)
Преобразованием Фурье восстанавливаются комплексные текущие спектры P(f, t), Vx,y(f, t). Формируются интерферограммы квадрата модуля звукового давления
I(f, t) = P(f, t)P*(f, t) (2)
и горизонтальных составляющих потока мощности
X(f, t) = VX (f, t)P*(f, t) = cos ɸ R (f,t), (3)
X(f, t) = VX (f, t)P*(f, t) = sin ɸ R (f,t), (4)
где ɸ − угол (пеленг) в горизонтальной плоскости между осью x ВСП и направлением на источник.
Применением к интерферограммам I(f, t), X (f, t), Y (f, t) двумерного преобразования Фурье вычисляются голограммы FI(τ, ν), FX(τ, ν), FY(τ, ν). Например, применительно к интерферограмме X (3) интегральное преобразование имеет вид
FX(τ, ν) = . (5)
Здесь ν и τ — частота и время голограммы; f1,2 = f0 干 (Δf/2), f0 − средняя частота спектра. Голограммы FX(τ, ν) и FY(τ, ν), в силу соотношений (3), (4) различаются лишь постоянными множителями, определяемыми пеленгом, так что их нормированные зависимости при отсутствии помех идентичны. Спектральные плотности голограмм движущегося источника локализованы в двух узких полосах плоскости (τ, ν), зеркально перевернутых относительно начала координат, в виде отдельных фокальных пятен. Они расположены в первом и третьем квадрантах голограммы, если радиальная скорость источника w < 0, т.е. источник приближается к приемнику, и во втором и четвертом квадрантах (w > 0), когда источник удаляется от приемника. Фокальные пятна, расположенные в первом и четвертом квадрантах, являются действительным изображением источника, а во втором и третьем квадрантах — мнимым изображением. При неподвижном источнике фокальные пятна расположены на оси времени τ. Конфигурация фокальных пятен описана в предположении положительного волноводного инварианта, имевшего место в эксперименте. При отрицательных значениях волноводного инварианта голографическая обработка остается справедливой, при этом спектральные плотности источника отображаются симметрично относительно оси времени по отношению к случаю положительного значения волноводного инварианта.
Спектральная плотность шумоизлучения источника сосредоточена в полосе, ограниченной прямыми
v = ετ + δ , = ετ – δv, (6)
где δv = 1/Δt — полуширина фокальных пятен в направлении оси ν, ε − угловой коэффициент прямой, на которой расположены координаты пиков фокальных пятен. В направлении оси τ полуширина фокальных пятен δτ = 1/Δf. Вне этой полосы спектральная плотность практически подавлена. Угловые коэффициенты ε и интерференционных полос δf/δt связаны соотношением
(7)
где δf – частотный сдвиг максимума волнового поля за время δt.
В качестве критерия обнаружения источника принимается условие, согласно которому максимум функции углового распределения спектральной плотности голограммы (функции обнаружения)
(8)
в направлении χ = ε расположения пиков фокальных пятен сигнальной информации в два и более число раз превышает помеховый уровень в направлениях χ ≠ ε
(9)
Здесь Δτ — линейный размер области концентрации по оси времени τ; χ — варьируемое значение углового коэффициента при интегрировании вдоль прямых ν = χ τ. За оценку ε принимается положение максимального пика, maxGI (χ) = GI [ε], при выполнении неравенства (9). Информация о передаточной функции среды не требуется. При выполнении условия (9) оценки параметров источника (пеленг, радиальная скорость, удаленность, глубина) близки к реальным значениям [10−16]. Следует отметить, что функции FI (τ, χ τ) и GI(χ) в общем случае зависят от входного отношения с/п . Статистическая теория обнаружения сигнала шумового источника на основе критерия Неймана−Пирсона изложена в [18].
После обнаружения источника проводится итерационная процедура оценки пеленга [12, 13]. На первом шаге определяется отношение максимумов функций обнаружения
(10)
Определение направления на источник неоднозначно: значения пеленгов φ, φ + π равнозначны. Области голограмм FX (τ, ν), FY (τ, ν), FR (τ, ν) за пределами зоны концентрации спектральной плотности очищаются от помехи и выполняются обратные двумерные преобразования Фурье по восстановлению двумерных интерферограмм X(f,t), Y(f,t), I(f,t).
Неоднозначность пеленга устраняется при рассмотрении в фиксированный момент времени t* на частоте f* отношений интерферограмм, очищенных от помехи
, (11)
. (12)
По определению множители R(f*,t*) и I(f*,t*) одного знака. Частота f* должна удовлетворять условиям: R(f*,t*) ≠ 0, I(f*,t*) ≠ 0. Если: а) γx > 0, γy > 0, то источник расположен в I-ом квадранте ВСП; б) γx < 0, γy > 0 — во II-м квадранте; в) γx < 0, γy < 0 — в III-м квадранте; г) γx > 0, γy < 0 — в IV-м квадранте. Правило знаков на втором шаге итерации позволяет выбрать однозначное направление на источник, оцененное на первом шаге по отношению функций обнаружения. Для пеленгования источника знаний о гидрофизических характеристиках волновода, как и при обнаружении, не требуется.
ОПИСАНИЕ ЭКСПЕРИМЕНТА
Эксперимент проводился в мелководной акватории Черноморского побережья глубиной H =8-10 м, которая была удалена от района интенсивного судоходства на расстояние r =1-2 км. Три ВСП (ВСП1−ВСП3) располагались на дне. В качестве подводного источника использовался малогабаритный автономный необитаемый подводный аппарат (АНПА), разработанный и изготовленный в ИПМТ ДВО РАН, спектральные характеристики шумоизлучения которого приведены в [19]. Скорость подводного аппарата v = 1.5 м/с, глубина погружения z = 4 м. В эксперименте были выполнены два пуска АНПА с разными траекториями движения. Для одного из пусков, рассматриваемого в работе, схема движения приведена на рис. 1. Характерные расстояния: С−ВСП1 ≈ 990 м, С−ВСП2 ≈ 740 м, С−ВСП3 ≈ 810 м, ВСП1−ВСП2 ≈ 450 м; ВСП1−ВСП3 ≈ 440 м; ВСП2–ВСП3 ≈ 410 м; ВСП1−линия ВСП2-ВСП3 ≈ 390 м. Здесь C — точка старта. Прямой галс — начало 14:13, окончание 14:23:30; обратный галс — начало 14:24, окончание 14:31. Продолжительность эксперимента T = 17мин.
Рис. 1. Схема движения АНПА (пунктир) относительно расположения ВСП, С – точка старта, Ф – точка финиша.
Шумовой сигнал всех трех ВСП по четырем каналам, включающим в себя скалярный канал звукового давления P и три канала компонент Vx,y,z вектора колебательной скорости, обрабатывался в частотном диапазоне f = 0.81–7 кГц. В полосе частот Δf = 0.9 кГц для каждой шумовой реализации сигнала выполнялась частотно-временная обработка с шагом по частоте f* = 1Гц. При спектральном анализе использовалось окно Хеннинга. Параметры обработки: Δt = 69с, δt1 = 1.5с, δt2 = 0.5с, J =30. Цикл обработки (4), (8)−(11) повторялся для последующих временных интервалов той же длительности, но сдвинутых относительно предыдущего на фиксированный интервал времени δT = 60с. За время эксперимента было сформировано N =T/Δt = 17 временных интервалов, позволявших отследить динамику поведения интерферограммы, голограммы, функции обнаружения и пеленга.
РЕЗУЛЬТАТЫ ОБРАБОТКИ
По изменениям угла наклона интерференционных полос, конфигурации фокальных пятен на голограммах и пиков функции обнаружения в различные моменты времени можно проследить динамику движения АНПА относительно расположения ВСП. При приближении подводного аппарата к ВСП интерференционные полосы имеют отрицательные угловые коэффициенты, δf / δt < 0, действительные изображения источника расположены в первом квадранте голограммы, координаты пика функции обнаружения расположены в области положительных значений, ε > 0. При удалении подводного аппарата от ВСП угловые коэффициенты интерференционных полос положительные, δf / δt > 0, действительные изображения источника расположены в четвертом квадранте голограммы, координаты пика функции обнаружения расположены в области отрицательных значений, ε < 0. Если подводный аппарат неподвижен или его радиальная скорость равна нулю, , то координаты максимумов фокальных пятен голограммы расположены на оси времени τ и δf / δt = ε = 0. При развороте подводного аппарата в окрестности ВСП интерференционные полосы искривляются и меняют знак углового коэффициента.
В момент времени входное отношение с/п q₀(ti) по экспериментальным данным голограммы и функции обнаружения оценивалось следующим образом. В предположении, что мощность помехи равномерно распределена в области голограммы, отношение максимума функции обнаружения к ее значению за пределами ширины пика определяет величину α(ti) = qhot(ti)+1 , где qhot(ti) — отношение с/п на выходе голографической обработки, которое оценивается как 18. Здесь γ — коэффициент концентрации, равный отношению площадей областей голограммы, на которых сконцентрированы спектральные плотности шумового сигнала и помехи. В результате приходим к оценке входного отношения с/п
. (13)
В точке С входные отношения с/п q₀ для каналов звукового давления ВСП оцениваются как: q₀ = -8.8 дБ (ВСП1), q₀ = -10.9 дБ (ВСП2), q₀ = -11.1 дБ (ВСП3).
С целью повышения контрастности и информативности на интерферограммах вырезаны средние значения. На голограммах вдоль осей времени и частоты вырезаны узкие полосы спектральной плотности. Это выполнено для того, чтобы отфильтровать: а) фокальные пятна, отвечающие неподвижным источникам в районе интенсивного судоходства (ось времени) и б) спектральную плотность, обусловленную поверхностным волнением (ось частоты). Для некоторых моментов времени результаты обработки по каналу звукового давления ВСП1 приведены на рис. 2−8.
Рис. 2. Нормированные (а) — интерферограмма, (б) — модуль голограммы, (в) — функция обнаружения.
Время 14:15. Начало эксперимента.
В начале эксперимента (рис. 2) интерференционная картина характеризуется слабо наблюдаемой системой горизонтальных и вертикальных полос, не позволяющей разрешить отдельные источники шумоизлучения. Однако на голограмме и функции обнаружения отчетливо регистрируются фокальные пятна и пики, отвечающие АНПА и судам в районе интенсивного судоходства, приближающихся и удаляющихся от ВСП1. При приближении АНПА к ВСП1 (рис. 3) наблюдается интерферограмма, сформированная подводным аппаратом.
Рис. 3. Нормированные (а) — интерферограмма, (б) — модуль голограммы, (в) — функция обнаружения.
Время 14:17. Приближение АНПА к ВСП1. Прямой галс.
В тоже время на голограмме и функции обнаружения наблюдаются изображения подводного аппарата и судна, удаляющего от ВСП1. В области траверза при удалении подводного аппарата от ВСП1 (рис. 4) ширина спектра Δf не превышает частотный масштаб изменчивости интерференционной картины Λ, Δf < Λ , [14].
Рис. 4. Нормированные (а) — интерферограмма, (б) — модуль голограммы, (в) — функция обнаружения.
Время 14:21. Область траверза, удаление АНПА от ВСП1. Прямой галс.
На голограмме и функции обнаружения прослеживаются изображения подводного аппарата и судна, приближающегося к ВСП1. С увеличением расстояния между подводным аппаратом и ВСП1 частотный масштаб изменчивости интерферограммы уменьшается [20], что облегчает наблюдение интерференционных полос. Если ширина полосы велика по сравнению с частотным масштабом интерференции, локализация полос становится резкой, наблюдаемость интерференционной картины возрастает. При развороте подводного аппарата (рис. 5) интерференционные полосы искривляются. В области действительных изображений подводного источника на голограмме в первом и в четвертом квадрантах регистрируются две локализованные области спектральной плотности различной интенсивности.
Рис. 5. Нормированные (а) — интерферограмма, (б) — модуль голограммы, (в) — функция обнаружения.
Время 14:23. Разворот АНПА вокруг ВСП1.
Этим областям спектральной плотности отвечают два пика функции обнаружения, расположенные в области положительных значений (слабый пик) и в области отрицательных значений (сильный пик), которые соответствуют удалению и приближению подводного источника к ВСП1.
Рис. 6. Нормированные (а) — интерферограмма, (б) — модуль голограммы, (в) — функция обнаружения.
Время 14:26. Область траверза, приближение АНПА к ВСП1. Обратный галс.
В районе интенсивного судоходства суда не регистрируется. В области траверза при приближении подводного аппарата к ВСП1 (рис. 6) интерференционные полосы не различимы, на голограмме и функции обнаружения видны изображения АНПА и судна, удаляющегося от ВСП1. В конце эксперимента (рис. 7) на интерферограмме отчетливо проявляется локализация полос, формируемая подводным аппаратом. На голограмме и функции обнаружения наблюдаются интенсивные фокальное пятно и пик, отвечающие подводному аппарату и менее интенсивные фокальное пятно и пик функции обнаружения, отвечающие судну, приближающемуся к ВСП1.
Рис. 7. Нормированные (а) — интерферограмма, (б) — модуль голограммы, (в) — функция обнаружения.
Время 14:30. Удаление аппарата от ВСП1, обратный галс. Окончание эксперимента.
Для скалярного канала ВСП1 на рис. 8 продемонстрирован эффект очищения голограммы от помехи и восстановления интерферограммы. До очищения локализованные полосы интерферограммы размыты (рис. 8а). Фильтрация спектральной плотности сигнала на голограмме проводилась в полосе, показанной пунктиром (рис. 8б). По сравнению с функцией обнаружения неочищенной голограммы координата пика не изменилась, однако помехоустойчивость обработки возросла (рис. 8в, 8е).
Рис. 8. Нормированные (а, г) — интерферограммы, (б, д) — модули голограмм, (в, е) — функции обнаружения: (а, б, в) — до очищения от помехи, (г, д, е) — после очищения от помехи. Время 14:19. Приближение АНПА к ВСП1. Прямой галс.
Восстановленная интерферограмма, очищенная от помехи, приведена на рис. 8г. Очищенная интерференционная картина становится контрастней, полосы имеют равные углы наклона. Максимальный частотный масштаб изменчивости оценивается как Λ = 0.96 кГц, что превышает ширину полосы Δf = 0.9 кГц.
Рис 9. Временная зависимость нормированной функции обнаружения G (t) : (а) — ВСП1, (б) — ВСП2, (в) — ВСП3.
На рис. 9 приведены временные нормированные функции обнаружения G(t) по каналам звукового давления ВСП1−ВСП3. Нормировка выполнена на максимальное значение функции обнаружения во время эксперимента. Максимальные уровни спектральной плотности приходятся на области траверза. В области траверза отношение с/п на входе ВСП оценивается как: а) ВСП1 — q₀ = 9.2 дБ (прямой галс), q₀ = 8.2 дБ (обратный галс); б) ВСП2 — q₀ = -6.9 дБ (прямой галс), q₀ = - 1.9 дБ (обратный галс); в) ВСП3 — q₀ = -8.1 дБ (прямой галс), q₀ = -5.1 дБ (обратный галс). Полученные оценки входного отношения с/п в области траверза при прямом и обратном галсах указывают на анизотропность и нестационарность помехи в акватории движения подводного аппарата, вызванной интенсивным судоходством в районе проведения эксперимента.
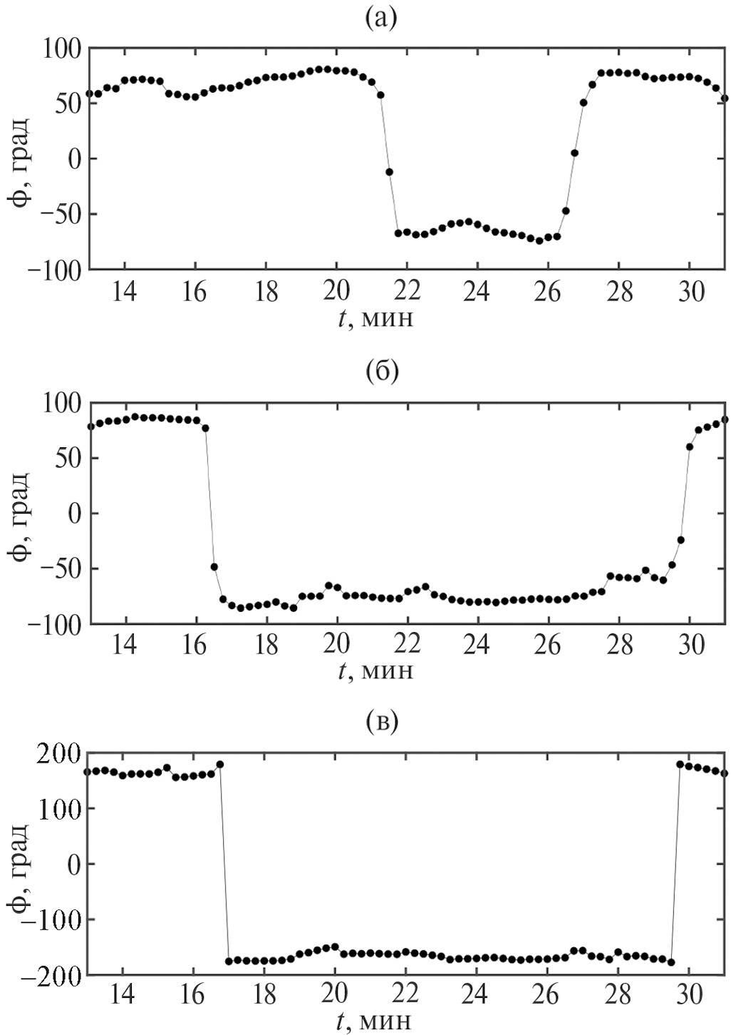
Рис. 10. Временная зависимость пеленга (t): (а) — ВСП1, (б) — ВСП2, (в) — ВСП3.
На рис. 10 приведены временные зависимости φ(t) пеленгов АНПА. Крупномасштабные скачки пеленга связаны с прохождением областей траверза при прямом и обратном галсах. Мелкомасштабные осцилляции пеленга обусловлены двумя факторами: а) наличием помехи; б) не прямолинейным движением подводного аппарата в горизонтальной плоскости (x,y).
ЗАКЛЮЧЕНИЕ
С применением ВСП в мелководной акватории Черноморского побережья в высокочастотном диапазоне продемонстрирована работоспособность голографической обработки для обнаружения и пеленгования малогабаритного АНПА в условиях интенсивного судоходства. Результирующая интерферограмма, обусловленная наложением интерференционных картин, формируемых подводным аппаратом и судами в акватории эксперимента, не позволяла разрешать отдельные источники шумоизлучения. На голограмме спектральная плотность отдельных источников распределялась в форме фокальных пятен и одиночных пиков функции обнаружения. Это позволяло обнаруживать и пеленговать подводный аппарат на фоне надводных судов в условиях интенсивного судоходства. В моменты времени, когда судоходство отсутствовало, на голограмме и функции обнаружения регистрировались лишь изображения подводного аппарата. Подводный аппарат обнаруживался и локализовался на всех дальностях, которые были заданы условиями проведения эксперимента.
Исследование выполнено за счет гранта Российского научного фонда № 23-61-10024, https://rscf.ru/project/23-61-10024/. Численные расчеты интерферограммы звукового поля проведены С.А. Ткаченко при поддержке гранта Президента РФ МК-4846.2022.4.
About the authors
M. Yu. Glushchenko
Joint-stock company "Concern "Granit"
Author for correspondence.
Email: glushchenko.m@granit-concern.ru
Russian Federation, Gogolevsky Blvd. 31, Moscow, 119019
V. M. Kuzkin
Joint-stock company "Concern "Granit"; Institute of General Physics RAS
Email: kumiov@yandex.ru
Russian Federation, Gogolevsky Blvd. 31, Moscow, 119019; st. Vavilova 38, Moscow, 119991
Yu. V. Matvienko
Joint-stock company "Concern "Granit"; Institute for Problems of Marine Technologies SB RAS
Email: ymat@marine.febras.ru
Russian Federation, Gogolevsky Blvd. 31, Moscow, 119019; st. Sukhanova 5a, Vladivostok, 690091
S. A. Pereselkov
Joint-stock company "Concern "Granit"; Voronezh State University
Email: pereselkov@yandex.ru
Russian Federation, Gogolevsky Blvd. 31, Moscow, 119019; Universitetskaya sq. 1, Voronezh, 394006
Yu. A. Khvorostov
Joint-stock company "Concern "Granit"; Institute for Problems of Marine Technologies SB RAS
Email: glushchenko.m@granit-concern.ru
Russian Federation, Gogolevsky Blvd. 31, Moscow, 119019; st. Sukhanova 5a, Vladivostok, 690091
S. A. Tkachenko
Voronezh State University
Email: glushchenko.m@granit-concern.ru
Russian Federation, Universitetskaya sq. 1, Voronezh, 394006
References
- Чупров С.Д. Интерференционная структура звукового поля в слоистом океане / Акустика океана. Современное состояние. М.: Наука, 1982. С. 71−82.
- Орлов Е.Ф. Интерференционная структура широкополосного звука в океане / Проблемы акустики океана. М.: Наука, 1984. С. 85−93.
- Ocean acoustic interference phenomena and signal processing (San Francisco, CA, May 1–3, 2001; AIP Conf. Proc.), Ed. by Kuperman W.A. and D'Spain G.L. N.Y.: Melville, 2002.
- Thode A.M. Source ranging with minimal environmental information using a virtual receiver and waveguide invariant theory // J. Acoust. Soc. Am. 2000. V. 108. № 4. P. 1582–1594.
- Rouseff D., Spindel R.C. Modeling the waveguide invariant as a distribution // AIP Conf. Proc. 2002. 621. P. 137−150.
- Quijanoa J.E., Zurk L.M., Rouseff D. Demonstration of the invariance principle for active sonar // J. Acoust. Soc. Am. 2008. V. 123. № 3. P. 1329−1337.
- Tao H., Krolik J.L. Waveguide invariant focusing for broadband beam forming in an oceanic waveguide // J. Acoust. Soc. Am. 2008. V. 123. № 3. P. 1338–1346.
- Cocrell K.L., Smidt H. Robust passive range estimation using the waveguide invariant // J. Acoust. Soc. Am. 2010. V. 127. № 5. P. 2780–2789.
- Rouseff D., Zurk L.M. Striation based beam forming for estimating the waveguide invariant with passive sonar // J. Acoust. Soc. Am. Express Lett. 2011. V. 130. № 2. P. 76–81.
- Кузнецов Г.Н., Кузькин В.М., Пересёлков С.А. Спект-рограмма и локализация источника звука в мелком море // Акуст. журн. 2017. Т. 63. № 4. С. 406–418.
- Казначеев И.В., Кузнецов Г.Н., Кузькин В.М., Пересёлков С.А. Интерферометрический метод обнаружения движущегося источника звука векторно-скалярным приемником // Акуст. журн. 2018. Т. 64. № 1. С. 33–45.
- Kuz’kin V.M., Pereselkov S.A., Kuznetsov G.N., Kaznacheev I.V. Interferometric direction finding by a vector-scalar receiver // Phys. Wave Phenom. 2018. V. 26. № 1. P. 63–73.
- Kuznetsov G.A., Kuz’kin V.M., Lyakhov G.A., Pereselkov S.A., Prosovetskiy D.Yu. Direction finding of a noise sound source // Phys. Wave Phenom. 2019. V. 27. № 3. P. 237−241.
- Pereselkov S.A., Kuz’kin V.M. Interferometric processing of hydroacoustic signals for the purpose of source localization // J. Acoust. Soc. Am. 2022. V. 151. № 2. P. 666−676.
- Беседина Т.Н., Кузнецов Г.Н., Кузькин В.М., Пересёлков С.А. Определение глубины источника звука в мелком море на фоне интенсивного шума // Акуст. журн. 2015. Т. 61. № 6. С. 718–728.
- Kuz’kin V.M., Kuznetsov G.N., Pereselkov S.A., Grigor’ev V.A. Resolving power of the interferometric method of source localization // Phys. Wave Phenom. 2018. V. 26. № 2. P. 150–159.
- Пересёлков С.А., Кузькин В.М., Кузнецов Г.Н., Просовецкий Д.Ю., Ткаченко С.А. Интерференционный метод оценки координат движущегося шумового источника в мелком море с использованием высокочастотных сигналов // Акуст. журн. 2020. Т. 66. № 4. С. 437–445.
- Kuz’kin V.M., Lyakhov G.A., Pereselkov S.A., Matvienko Yu.V., Tkachenko S.A. Noise-source detection in an oceanic waveguide using interferometric processing // Phys. Wave Phenom. 2020. V. 28. № 1. P. 68−74.
- Хворостов Ю.А., Матвиенко Ю.В. Характеристики собственного шумоизлучения малогабаритного АНПА // Подводные исследования и робототехника. 2019. № 4 (30). С. 58−63.
- Бреховских Л.М., Лысанов Ю.П. Теоретические основы акустики океана. Л.: Гидрометеоиздат, 1982. 264 с.
Supplementary files












