Heat Capacity and Features of the Phonon Spectrum of Single Crystals of Solid Solutions of Yttrium-Lutetium Alumogranates
- Authors: Nikitov S.A.1, Taranov A.V.1, Khazanov E.N.1, Charnaya E.V.2, Likholetova M.V.2, Shevchenko E.V.2
-
Affiliations:
- Institute of Radio Engineering and Electronics named after V.A. Kotelnikov, Russian Academy of Sciences
- St. Petersburg State University
- Issue: Vol 70, No 2 (2024)
- Pages: 180-185
- Section: ФИЗИЧЕСКАЯ АКУСТИКА
- URL: https://bakhtiniada.ru/0320-7919/article/view/261548
- DOI: https://doi.org/10.31857/S0320791924020053
- EDN: https://elibrary.ru/YNMCZS
- ID: 261548
Cite item
Full Text
Abstract
The temperature dependences of the heat capacity were measured and the general patterns of the formation of the phonon spectrum of single crystals of solid solutions of yttrium-lutetium aluminum garnets Y3–xLuxAl5O12 at 0 x 3 were studied in the temperature range from 1.9 to 220 K. Based on the data obtained below 10 K, the Debye temperatures were calculated. Features of the phonon spectrum in the intermediate temperature region are interpreted as a superposition of optical modes for yttrium and lutetium garnets. It is shown that low values of the heat capacity due to the contribution of acoustic phonons for Y2.25Lu0.75Al5O12 correlate with anomalies in the concentration dependences of phonon transport, absorption of acoustic waves, and the NMR line shape of aluminum.
Full Text
ВВЕДЕНИЕ
Монокристаллы твердых растворов иттрий-редкоземельных алюмогранатов Y3–хReхAl5O12 (YAG:Re) [1] благодаря возможности контролируемого изоморфного замещения на позициях Y↔Re, а также механическим, диэлектрическим и теплофизическим свойствам нашли широкое применение в качестве базовых элементов устройств квантовой электроники [2] и адиабатического размагничивания при получении сверхнизких температур [3]. В акустике твердого тела был предложен материал с более высокой акустической прозрачностью в СВЧ диапазоне по сравнению с традиционными кристаллами корунда, кварца, ниобата лития и т.п. [4]. Это позволило создать предпосылки для конструирования миниатюрных твердотельных акустических устройств обработки информации [5, 6]. Использование алюмогранатов YAG:Re открыло новые возможности исследования процессов, лежащих в основе фонон-фононного и спин-фононного взаимодействия, особенностей колебательного спектра диэлектрических материалов со сложной кристаллической структурой [7].
На физические свойства твердых кристаллических растворов значительное влияние оказывает характер распределения атомов компонент по узлам кристаллической решетки, который определяет тип порядка замещения для конкретных кристаллов [8]. В случае иттрий-редкоземельных алюмогранатов порядок замещения зависит от взаимного расположения ионов Y3+ и Re3+ по додекаэдрическим c-позициям в решетке [1]. Исходя из энергетических соображений, возможно формирование неупорядоченного твердого раствора, в котором вероятность отклонения концентрации твердого раствора от среднего значения x задается нормальным распределением. Если атомам компонент энергетически выгоднее быть в окружении атомов такого же сорта, то в твердом растворе возникает кластеризация. В противном случае наблюдается тенденция к формированию сверхрешетки. Порядок замещения сильно сказывается на кинетических параметрах твердых растворов, в частности, на электропроводности смешанных полупроводников [9], фононной релаксации, затухании акустических волн и теплопроводности в диэлектриках [10].
Примитивная ячейка иттриевого алюмограната Y3Al5O12 содержит 20 атомов. Это означает, что собственный колебательный спектр подобного монокристалла определяется преимущественно оптическими фононами. Оптические фононы в монокристаллах граната исследовались при значениях волновых векторов вблизи центра зоны Бриллюэна методами комбинационного рассеяния света и инфракрасной спектроскопии [11, 12], а также методом неупругого рассеяния нейтронов (НРН) [13-15]. В работе [13] акустические моды фононного спектра Y3Al5O12 наблюдались до ~110–120 см–1 (~14 мэВ) при 750 K, что согласовывалось с оценкой границы спектра акустических колебаний [16]. Теоретические исследования [17, 18] показали, что изоморфное замещение Y более тяжелым редкоземельным атомом Re может приводить к образованию дополнительных колебательных состояний в акустической части фононного спектра YAG:Re.
Твердые растворы иттрий-лютециевых алюмогранатов Y3–xLuxAl5O12 стоят особняком в ряду остальных YAG:Re из-за того, что оба иона Y3+ и Lu3+ непарамагнитны. Исследования фононного спектра нелегированных парамагнитными ионами кристаллов Y3–xLuxAl5O12 методом НРН [15] и ряд последующих экспериментов по распространению акустических волн СВЧ-диапазона [19] и тепловых импульсов в области гелиевых температур, а также исследования ядерного магнитного резонанса (ЯМР) [20] выявили сложную зависимость физических свойств и порядка замещения от концентрации x. В последнее время твердые растворы иттрий-лютециевых алюмогранатов активно изучаются для различных практических применений, например, их использование позволяет оптимизировать характеристики наносцинтилляторов на основе Y3–xLuxAl5O12:Ce3+ [21].
В связи с тем, что при образовании твердых растворов замещения существенно изменяется фононный спектр, целесообразно рассмотреть свойства монокристаллов Y3–xLuxAl5O12, которые могут отражать эти изменения. Одним из таких свойств является теплоемкость. Отсутствие парамагнитных ионов в решетке Y3–xLuxAl5O12 позволяет исследовать характер трансформации фононного спектра методом теплоемкости в широком диапазоне температур без учета влияния аномалий Шоттки, индуцируемых остальными редкоземельными ионами [22].
Для кристаллического Y3Al5O12 данные по теплоемкости в широком интервале температур представлены в работах [23] и при температурах выше 80 K в работах [24-26]. Для монокристаллов лютециевого граната Lu3Al5O12 проводились измерения теплоемкости выше 80 K [25], а для монокристаллов твердых растворов Y3-xLuxAl5O12, насколько нам известно, измерения теплоемкости отсутствуют.
ОБРАЗЦЫ И ЭКСПЕРИМЕНТ
Образцы гранатов Y3–xLuxAl5O12 (x = 0, 0.6, 0.75, 1.0, 2.5 и 3) были синтезированы во ВНИИСМС (г. Александров) методом горизонтальной направленной кристаллизации (метод Бриджмана). Гранаты имеют пространственную симметрию . Образцы для исследований вырезались в виде пластинок, ориентированных перпендикулярно кубической оси кристаллов, толщиной около 0.3 мм и площадью поверхности около 0.2 см2.
Измерения теплоемкости проводились на базе Ресурсного центра “Центр диагностики функциональных материалов для медицины, фармакологии и наноэлектроники“ научного парка СПбГУ с помощью встроенной опции комплекса для измерения физических свойств PPMS-9+EverCool-II производства Quantum Design в соответствии с договором о научно-техническом сотрудничестве. Измерения проводились в температурном диапазоне от 1.9 до 220 K.
РЕЗУЛЬТАТЫ И ОБСУЖДЕНИЕ
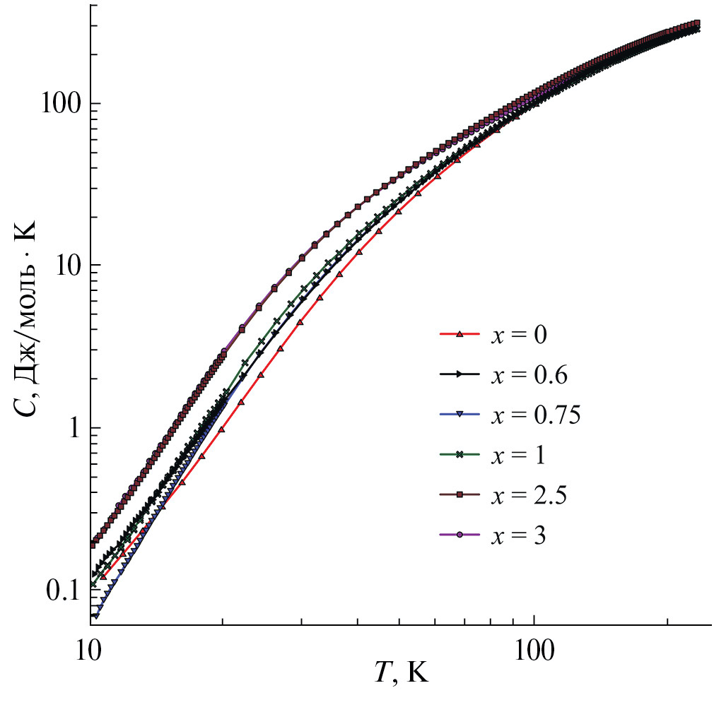
На рис. 1 приведены измеренные температурные зависимости теплоемкости С(Т) для монокристаллов твердых растворов Y3–хLuхAl5O12 в диапазоне от 10 до 220 K. Эти зависимости отражают трансформацию фононного спектра при переходе от иттриевого (x = 0) к лютециевому (x = 3) алюмогранату. При температурах выше 15 K минимальная теплоемкость наблюдается для иттриевого граната. Теплоемкость возрастает с ростом концентрации лютеция.
Рис. 1. Температурные зависимости теплоемкости C в монокристаллах твердых растворов Y3–хLuхAl5O12
Однако при более низких температурах минимальную теплоемкость демонстрирует твердый раствор с x = 0.75. Такое поведение коррелирует с результатами исследований кристаллов Y3–хLuхAl5O12 акустическими методами, методом тепловых импульсов и ЯМР [19, 20]. На рис. 2 данные, полученные в этих работах, сопоставлены с данными по теплоемкости из настоящей работы. Видно, что для кристалла с x = 0.75 наблюдаются аномальное понижение упругого рассеяния тепловых фононов, сужение линии ЯМР 27Al и понижение теплоемкости на фоне концентрационных зависимостей этих величин.
Рис. 2. Концентрационные зависимости в монокристаллах твердых растворов Y3-хLuхAl5O12: (а) – обратного времени рассеяния фононов тепловых частот 1/τ0 [19]; (б) – ширины линии ЯМР 27Al [20]; (в) – теплоемкости
В работе [20] было предположено, что сужение линии ЯМР 27Al является результатом отклонения характера размещения ионов Y3+ и Lu3+ по c-узлам решетки гранатов от нормального закона и проявлением тенденции к возникновению сверхрешетки. Частичный порядок замещения, в свою очередь, приводит к увеличению времени жизни фононов при низких температурах и к уменьшению поглощения акустических волн при более высоких температурах, когда существенную роль начинает играть фонон–фононное рассеяние. Исследования теплоемкости, проведенные в данной работе, показывают, что частичное формирование сверхрешетки проявляется также и в снижении теплоемкости при низкой температуре. Возможно, что понижение теплоемкости обусловлено уменьшением числа акустических фононов из-за увеличения размеров примитивной ячейки.
Измерения теплоемкости при низких температурах позволяют провести оценки температуры Дебая θ согласно выражению (1), где rD – число фононных мод, равное 60 для решетки граната, и R – газовая постоянная:
. (1)
Примеры теоретических и экспериментальных температурных зависимостей теплоемкости показаны на рис. 3 для чистого YAG и твердого раствора с x = 2.5.
Рис. 3. Экспериментальные (символы) и теоретические (линии) температурные зависимости теплоемкости C твердых растворов Y3–хLuхAl5O12
Полученные значения температур Дебая сведены в таблице.
Таблица. Значения температур Дебая для твердых растворов Y3–хLuхAl5O12 и относительный вклад α эйнштейновских мод, соответствующих локальным колебаниям ионов Y3+ и Lu3+
x | 0 | 0.6 | 0.75 | 1 | 2.5 | 3 |
, K | 750 | 700 | 850 | 750 | 650 | 590 |
1/0 | 0.70/0.30 | 0.67/0.33 | 0.46/0.54 | 0.10/0.90 | 0/1 |
Температура Дебая для YAG близка к величине 760 K, найденной в работе [25] по измерениям теплоемкости в температурном интервале от 80 до 300 K. Тогда как температура Дебая, полученная в настоящей работе для лютециевого граната, значительно ниже, чем найденная в работе [25] (750 K). В таблице обращает на себя внимание высокая температура Дебая для твердого раствора с x = 0.75, которая, возможно, также связана с частичным порядком замещения ионами Y3+ и Lu3+ узлов кристаллической решетки, как и остальные свойства (см. рис. 2).
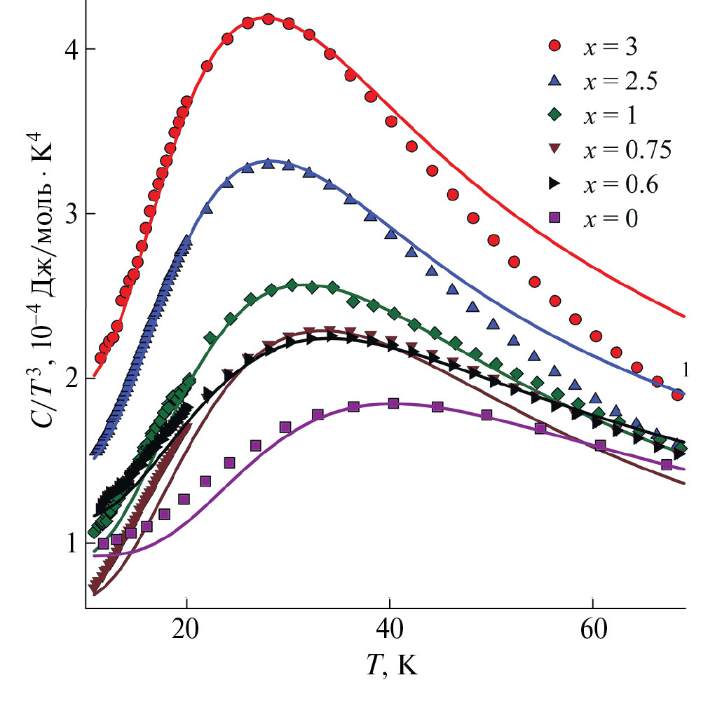
На рис. 4 представлены температурные зависимости теплоемкости Y3–хLuхAl5O12, деленной на T 3, в диапазоне от 10 до 100 K, в котором наблюдаются максимумы, обусловленные отличиями спектра колебательных состояний кристаллов гранатов от дебаевской модели. Максимумы кривых C/T 3 смещаются с ростом концентрации лютеция в сторону меньших температур и несколько уширяются для твердых растворов по сравнению с крайними составами.
Рис. 4. Зависимости C/T 3 для Y3–хLuхAl5O12 (символы) и их аппроксимация (линии) на основе модели Эйнштейна
Природа и положение максимумов на рис. 4 допускают интерпретацию при сопоставлении с данными НРН в подобных образцах твердых растворов [15]. Согласно [15], особенности колебательных состояний с энергиями 12.3 и 18 мэВ в спектрах НРН отвечают оптическим колебаниям, связанным с движением ионов Lu3+ в лютециевом гранате и Y3+ в YAG. Часть фононного спектра с энергиями выше 50 мэВ, которая определяется колебаниями тетраэдра AlO4, оставалась неизменной. Близкие по энергиям колебания, локализованные в области 130 и 180 K для монокристаллов Y2.7Lu0.3Al5O12 и Y0.5Lu2.5Al5O12 соответственно, были получены из данных по поглощению акустических волн СВЧ-диапазона [19]. Из этого следует, что характер зависимостей С/Т 3 для твердых растворов Y3–хLuхAl5O12 может быть обусловлен суперпозицией оптических колебательных состояний ионов Y3+ и Lu3+. Вклад оптических мод в теплоемкость может быть описан на основе модели Эйнштейна [22]:
, (2)
где θE – температура Эйнштейна и rE – число колебательных мод, учитываемых в модели. Результаты аппроксимации кривых С/Т 3 эйнштейновской моделью с температурами θE, равными 137 K для лютециевого граната и 200 K для YAG, представлены на рис. 4. Для твердых растворов кривые на рис. 4 аппроксимировались суперпозицией вкладов мод Эйнштейна для ионов Y3+ и Lu3+. Отношение α коэффициентов rE для мод с температурами Эйнштейна 137 и 200 K приведено в таблице. Отметим, что найденные в настоящей работе температуры Эйнштейна близки к величинам, полученным в работах [15, 19].
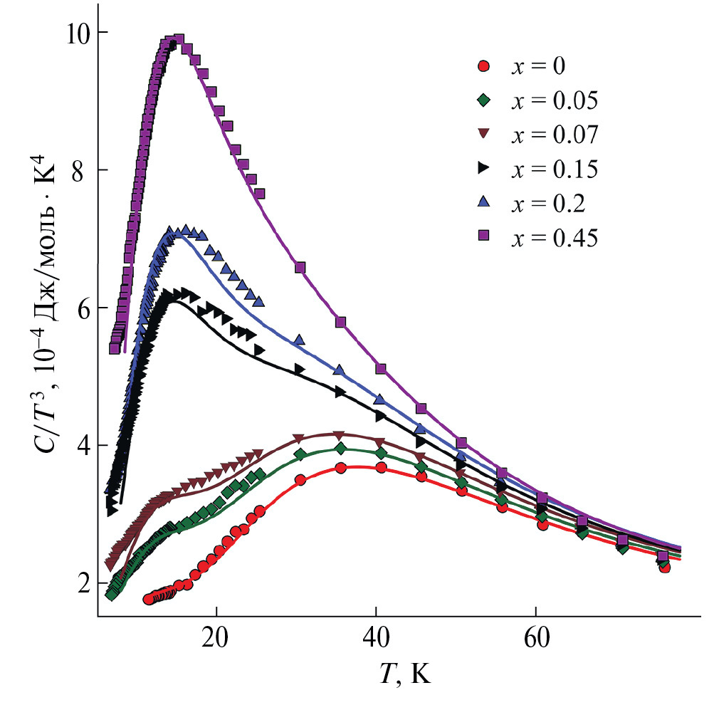
Модель, основанную на суперпозиции оптических мод, можно также применить для интерпретации зависимостей С/Т 3 в кристаллах твердых растворов алюминатов Y1–xErxAlO3 (х = 0.05, 0.07, 0.15, 0.2, 0.45). Результаты исследования теплоемкости в этих кристаллах частично представлены в [27]. Экспериментальные данные для С/Т 3 и их аппроксимация суперпозицией вкладов эйнштейновских мод для ионов Y3+ и Er3+ показаны на рис. 5.
Рис. 5. Зависимости C/T 3 для Y1–xErxAlO3 (символы) и их аппроксимация (линии) на основе модели Эйнштейна
Температуры Эйнштейна для оптических колебаний принимались равными 190 и 70 K для Y3+ и Er3+ соответственно. Рис. 5 демонстрирует хорошее согласие между теоретическими и экспериментальными зависимостями. Отметим, что предельная частота колебаний иттрия в решетке иттриевого алюмината YAlO3 (190K) близка к частоте оптических колебаний в YAG.
ЗАКЛЮЧЕНИЕ
Приведены результаты измерений температурных зависимостей теплоемкости С(Т) для монокристаллов твердых растворов Y3–хLuхAl5O12 (x = 0, 0.6, 0.75, 1.0, 2.5 и 3) в диапазоне от 10 до 220 K. Показано, что зависимости отражают трансформацию фононного спектра при переходе от иттриевого Y3Al5O12 к лютециевому Lu3Al5O12 алюмогранату. Характер зависимости С/Т3 для твердых растворов Y3–хLuхAl5O12 обусловлен суперпозицией оптических колебательных состояний ионов Y3+ и Lu3+. Значение теплоемкости возрастает по мере роста концентрации лютеция. При температурах выше 15 K минимальная теплоемкость наблюдается для Y3Al5O12. При более низких температурах для твердого раствора с концентрацией Lu x = 0.75 происходит достаточно резкое понижение теплоемкости, при этом данной концентрации соответствует наиболее высокая температура Дебая. Данная “аномалия” коррелирует с результатами исследований рассеяния тепловых фононов, поглощения акустических волн и спектров ЯМР 27Al в Y3–хLuхAl5O12. Согласно данным ЯМР, аномалия, как и остальные свойства, связана с частичным порядком замещения ионами Y3+ и Lu3+ узлов кристаллической решетки. Исследования теплоемкости, проведенные в данной работе, показывают, что понижение теплоемкости при низкой температуре также может являться следствием частичного упорядочения замещения.
Исследования выполнялись в рамках Государственного задания.
Работа выполнена при поддержке СПбГУ, шифр проекта АААА А19-119091190094-6.
About the authors
S. A. Nikitov
Institute of Radio Engineering and Electronics named after V.A. Kotelnikov, Russian Academy of Sciences
Email: taranov@cplire.ru
Russian Federation, Moscow
A. V. Taranov
Institute of Radio Engineering and Electronics named after V.A. Kotelnikov, Russian Academy of Sciences
Author for correspondence.
Email: taranov@cplire.ru
Russian Federation, Moscow
E. N. Khazanov
Institute of Radio Engineering and Electronics named after V.A. Kotelnikov, Russian Academy of Sciences
Email: taranov@cplire.ru
Russian Federation, Moscow
E. V. Charnaya
St. Petersburg State University
Email: taranov@cplire.ru
Russian Federation, St. Petersburg
M. V. Likholetova
St. Petersburg State University
Email: taranov@cplire.ru
Russian Federation, St. Petersburg
E. V. Shevchenko
St. Petersburg State University
Email: taranov@cplire.ru
Russian Federation, St. Petersburg
References
- Каминский А.А. Лазерные кристаллы. М.: Наука, 1975.
- Каминский А.А., Таранов А.В., Хазанов Е.Н., Акчурин М.Ш. Особенности структуры диэлектрических лазерных оксидных керамик // Квантовая электроника. 2012. Т. 42. С. 880–886.
- Kuz’mints M.D., Tishin A.M. Magnetic refrigerants for the 4.2–20 K region: garnets or perovskites? // J. Phys. D: Appl. Phys. 1991. V. 24. P. 2039–2044.
- Ivanov S.N. The Use of Yttrium-Rare Earth Aluminium Garnet Solid Solutions for Bulk-Acoustic-Wave (BAW) Devices // IEEE Trans. Ultrason. Ferroelectr. Freq. Control. 1992. V. 39. P. 653–656.
- Hickernell F.S. -3- Surface acoustic wave technology macrosuccess through microseisms, Physical Acoustics. Academic Press, 1999. V. 24. P. 135–207.
- Гуляев Ю.В., Хикернелл Ф.С. Акустоэлектроника: История, современное состояние и новые идеи для новой эры // Акуст. журн. 2005. Т. 51. № 1. С. 101–110.
- Никитов С.А., Таранов А.В., Хазанов Е.Н. Фононная спектроскопия твердых диэлектриков // Акуст. журн. 2023. Т. 69. № 1. С. 41–55.
- Займан Дж. Модели беспорядка. М.: Мир, 1982. 592 с.
- Козырев С.В., Маслов А.Ю. Влияние флуктуаций состава твердых растворов на подвижность двумерного электронного газа в полупроводниковых гетероструктурах // ФТП. 1988. Т. 22. № 3. С. 433–438.
- Ефиценко П.Ю., Чарная Е.В. Фононная релаксация, теплопроводность и затухание ультразвука в частично упорядоченных смешанных кристаллах // ФТТ. 1990. Т. 32. № 8. С. 2436–2440.
- Hurrell I.P., Porto S.P.S., Chang I.F., Mitrar S.S., Вanman R.P. Optical phonons of yttrium aluminum garnet // Phys. Rev. 1968. V. 173. P. 851–855.
- Mace G., Schaack G., Toaning N.G., Koningstein I.A. Optical phonons of terbium-, dysprosium-, and ytterbium-garnet // Z. Phys. 1970. V. 230. P. 391–402.
- Василькевич А.А., Горбачев Б.И., 3отеев О.Е., Иваницкий П.Г., Кротенко В.Т., Минков Б.И., Пасечник М.В., Сазонова С.А., Скоробогатов Б.С., Слисенко В.И. // ФТТ. 1976. Т. 18. С. 3195.
- Морозов С.И., Данилкин С.А., 3акуркин В.В. Препринт ФЭИ-1130. Обнинск: Физико-энергетический институт, 1980.
- Морозов С.И., Данилкин С.А., Закуркин В.В., Иванов С.Н., Медведь В.В., Ахметов С.Ф., Давыдченко А.Г. Спектры неупругого рассеяния медленных нейтронов и распространение акустических волн в твердом растворе Y3–хLuхAl5O12 // ФТТ. 1983. Т. 25. № 4. С. 1135–1142.
- Slack G.A., Oliver D.W. Thermal conductivity of garnets and phonon scattering by rare-earth ions // Phys. Rev. B. 1971. V. 4. P. 592–608.
- Каган Ю.М., Иосилевский Я.А. Эффект Моссбауэра для примесного ядра в кристалле I // Журн. эксп. теор. физ. 1962. Т. 42. № 1. С. 259–272.
- Brout R., Wissсhеr W.W. Suggested Experiment on Approximate Localized Modes in Crystals // Phys. Rev. Lett. 1962. V. 9. P. 54.
- Иванов С.Н., Медведь В.В., Котелянский И.М., Хазанов Е.Н. Резонансное фонон-примесное рассеяние в твердых растворах (Y1–cLuc)3Al5O12 // ФТТ. 1986. Т. 28. № 10. С. 2941–2945.
- Efitsenko P.Y., Hazanov E.N., Ivanov S.N., Medved V.V., Tcharnaya E.V. Phonon-impurity scattering in solid solution of Yttrium-Lutetium Aluminium Garnets // Phys. Lett. A. 1990. V. 147. № 2–3. P. 135–138.
- Mekki H., Guerbous L., Bousbia-salah H., Boukerika A., Lebbou K. Scintillation properties of (Lu1-xYx)3Al5O12:Ce3+ nanoscintillator solid solution garnet materials // JINST. 2023. V. 18. P. 02007.
- Tari A. The specific heat of matter at low temperatures. London: Imperial College Press, 2003. 339 p.
- Konings R.J.M., van der Laan R.R., van Genderen A.C.G., van Miltenburg J.C. The heat capacity of Y3Al5O12 from 0 to 900 K // Thermochim. Acta. 1998. V. 313. P. 201–206.
- Sato Y., Taira T. Study on the specific heat of Y3Al5O12 between 129 K and 573 K // Opt. Mater. Express. 2021. V. 11. № 2. P. 551–558.
- Aggarwal R.L., Ripin D.J., Ochoa J.R., Fan T.Y. Measurement of thermo-optic properties of Y3Al5O12, Lu3Al5O12, YAlO3, LiYF4, LiLuF4, BaY2F8, KGd(WO4)2, and KY(WO4)2 laser crystals in the 80–300 K temperature range // J. Appl. Phys. 2005. V. 98. P. 103514.
- Sagi S., Hayun S. High-temperature heat capacity of SPS-processed Y3Al5O12 (YAG) and Nd:YAG // J. Chem. Thermodyn. 2016. V. 93. P. 123–126.
- Лезова И.E., Карбань О.В., Таранов A.В., Хазанов E.Н., Чарная E.В. Кинетические характеристики фононов и структурные неоднородности твердых растворов моноалюминатов Y1–xErxAlO3 // Журн. эксп. теор. физ. 2020. Т. 157. № 1. С. 90–96.
Supplementary files







