On Variations of the Sound Signal Propagation Time under a Stationary Ice Cover
- Authors: Petnikov V.G.1, Shatravin A.V.2, Lunkov A.A.3,4
-
Affiliations:
- Prokhorov Institute of General Physics, Russian Academy of Sciences, 119991, Moscow, Russia
- Shirshov Institute of Oceanology, Russian Academy of Sciences, 117997, Moscow, Russia
- Prokhorov General Physics Institute of the Russian Academy of Sciences, 119991, Moscow, Russia
- Bauman Moscow State Technical University, 105005, Moscow, Russia
- Issue: Vol 69, No 5 (2023)
- Pages: 569-575
- Section: АКУСТИКА ОКЕАНА. ГИДРОАКУСТИКА
- URL: https://bakhtiniada.ru/0320-7919/article/view/134470
- DOI: https://doi.org/10.31857/S032079192360021X
- EDN: https://elibrary.ru/TNYSDM
- ID: 134470
Cite item
Full Text
Abstract
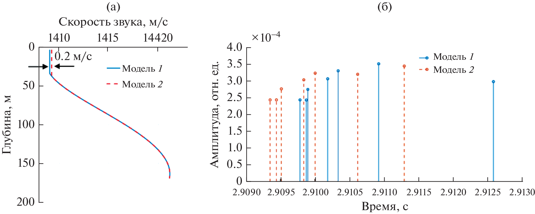
In experiments on a stationary acoustic track under a solid ice cover, estimates of possible sound signal propagation time variations at distances of ∼4 km with a period of more than 100 s were obtained. The experiments were carried out on Lake Baikal in the spring period, when the vertical profile of the sound speed has two sections characteristic of freshwater areas: an upper layer with a near constant sound speed and a lower layer with linear growth of sound speed. Under these conditions, the variations of the propagation time did not exceed ~10–4 s. Numerical modeling showed that the variations of propagation times due to the variability of the medium are minimal for the case when the sound source and receiver are located in the upper layer. It is demonstrated that in this case it is acceptable to take the sound speed in the upper quasi-homogeneous layer as the effective value of the sound speed, which determines the propagation time. The obtained results allowed us to formulate recommendations on under-ice acoustic positioning of autonomous underwater vehicles.
About the authors
V. G. Petnikov
Prokhorov Institute of General Physics, Russian Academy of Sciences, 119991, Moscow, Russia
Email: petniko@kapella.gpi.ru
Россия, 119991, Москва, ул. Вавилова, 38
A. V. Shatravin
Shirshov Institute of Oceanology, Russian Academy of Sciences, 117997, Moscow, Russia
Email: ashatravin@ocean.ru
Россия, 117997, Москва, Нахимовский пр-т, 36
A. A. Lunkov
Prokhorov General Physics Institute of the Russian Academy of Sciences, 119991, Moscow, Russia; Bauman Moscow State Technical University, 105005, Moscow, Russia
Author for correspondence.
Email: lunkov@kapella.gpi.ru
Россия, 119991, Москва, ул. Вавилова, 38; Россия, 105005, Москва, ул. 2-я Бауманская, 5
References
- Bhatt E.C., Viquez O., Schmidt H. Under-ice acoustic navigation using real-time model-aided range estimation // J. Acoust. Soc. Am. 2022. V. 151. № 4. P. 2656–2671.
- Сорокин М.А., Петров П.С., Каплуненко Д.Д., Голов А.А., Моргунов Ю.Н. Прогноз эффективной скорости распространения акустических сигналов на основе модели циркуляции океана // Акуст. журн. 2021. Т. 67. № 5. С. 521–532.
- Шерстянкин П.П., Колотило Л.Г., Тарасюк Ю.Ф., Куимова Л.Н., Иванов В.Г., Блинов В.В. О скорости звука в Байкале // Докл. Акад. наук. 2002. Т. 386. № 1. С. 103–107.
- Porter M.B., Yong-Chun L. Finite-element ray tracing // Theoretical and computational acoustics. 1994. V. 2. P. 947–956.
- Гранин Н.Г. Некоторые результаты измерения внутренних волн на Байкале // В кн. Гидрология Байкала и других водоемов. Под редакцией Верболова В.И. Новосибирск: Наука, 1984. С. 67–71.
- Millero F.J., Poisson A. International one-atmosphere equation of state of seawater // Deep-Sea Res. 1981. V. 28A(6). P. 625–629.
- Першин С.М., Крутянский Л.М., Лукьянченко В.А. Об обнаружении неравновесных фазовых переходов в воде // Письма в ЖЭТФ. 2011. Т. 94. № 2. С. 125–129.
- Волков М.В., Григорьев В.А., Луньков А.А., Петников В.Г. О возможности применения вертикальных приемных антенн для звукоподводной связи на арктическом шельфе // Акуст. журн. 2019. Т. 65. № 3. С. 332–342.
- Волков М.В., Луньков А.А., Петников В.Г., Шатравин А.В. Звукоподводная связь с использованием вертикальных приемных антенн в мелководных акваториях с ледовым покровом // Океанология. 2021. Т. 61. № 4. С. 649–661.
Supplementary files









