Экспериментальное тестирование акустической термометрии в масштабе Японского моря с размещением приемной системы на оси подводного звукового канала
- Авторы: Моргунов Ю.Н.1, Голов А.А.1, Войтенко Е.А.1, Лебедев М.С.2, Разживин В.В.1, Каплуненко Д.Д.2, Шкрамада С.С.2
-
Учреждения:
- Тихоокеанский океанологический институт им. В.И. Ильичева Дальневосточного отделения Российской академии наук
- Федеральное государственное бюджетное учреждение науки Тихоокеанский океанологический институт им. В.И. Ильичева ДВО РАН
- Выпуск: Том 69, № 5 (2023)
- Страницы: 559-568
- Раздел: АКУСТИКА ОКЕАНА. ГИДРОАКУСТИКА
- URL: https://bakhtiniada.ru/0320-7919/article/view/134469
- DOI: https://doi.org/10.31857/S0320791923600348
- EDN: https://elibrary.ru/NFWAMB
- ID: 134469
Цитировать
Полный текст
Аннотация
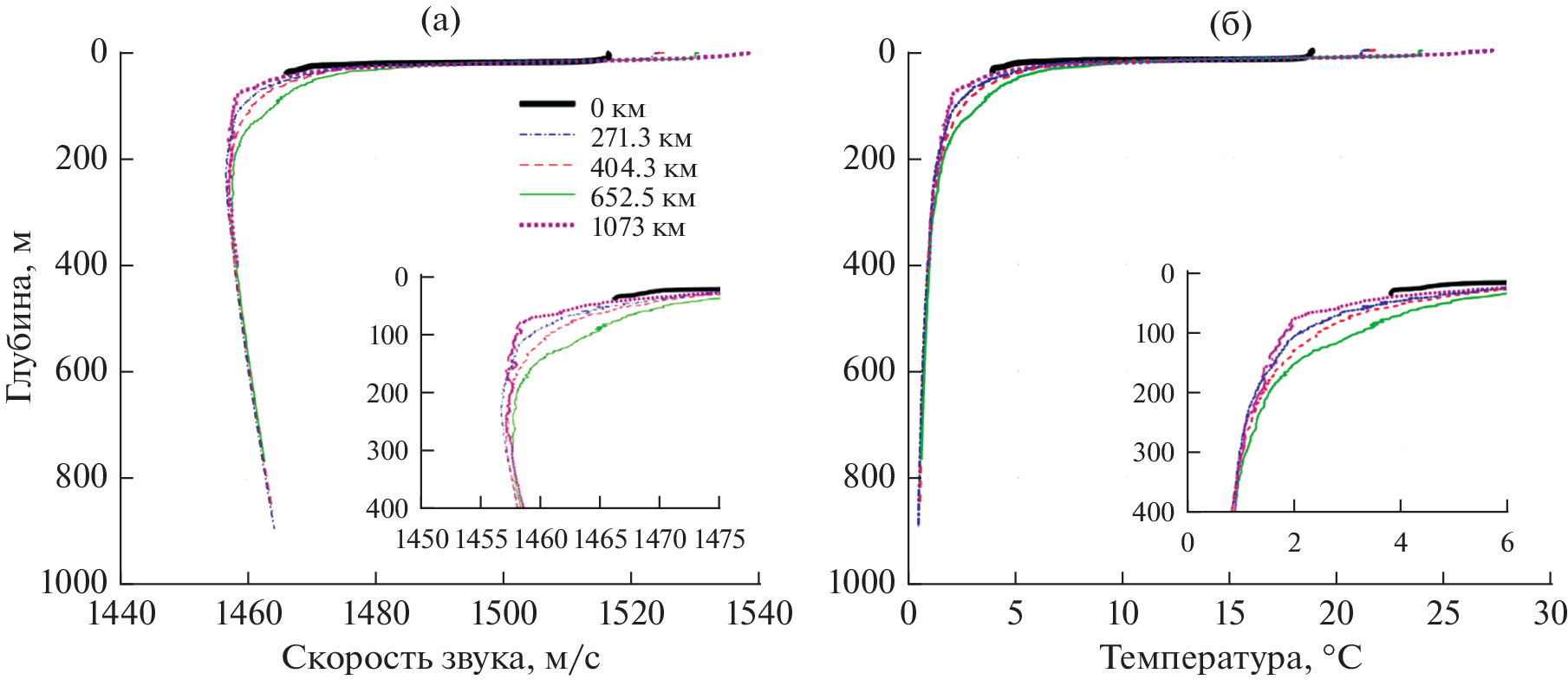
Обсуждаются результаты, полученные при выполнении тестового акустико-гидрологического эксперимента в августе 2022 г. на морском полигоне от побережья о-ва Сахалин до банки Кита-Ямато в Японском море. Представлена методология предварительных исследований на акватории, предназначенной для изучения климатической изменчивости температурных режимов водной среды, основанная на численном моделировании с использованием вычислительной программы RAY и модели гидродинамической циркуляции океана NEMO. Одним из основных результатов является рассчитанная с высокой точностью величина средней температуры морской среды на оси подводного звукового канала в Японском море на тысячекилометровой акустической трассе при пересечении вихревой системы. Описанные в статье облик измерительной системы, технические и вычислительные средства и методики могут быть положены в основу организации высокоточного оперативного мониторинга термодинамических процессов на протяженных морских акваториях.
Об авторах
Ю. Н. Моргунов
Тихоокеанский океанологический институт им. В.И. Ильичева Дальневосточного отделения Российской академии наук
Email: golov_alexander@inbox.ru
Россия, Владивосток
А. А. Голов
Тихоокеанский океанологический институт им. В.И. Ильичева Дальневосточного отделения Российской академии наук
Email: golov_alexander@inbox.ru
Россия, Владивосток
Е. А. Войтенко
Тихоокеанский океанологический институт им. В.И. Ильичева Дальневосточного отделения Российской академии наук
Email: golov_alexander@inbox.ru
Россия, Владивосток
М. С. Лебедев
Федеральное государственное бюджетное учреждение науки Тихоокеанский океанологический институт им. В.И. Ильичева ДВО РАН
Email: shkramada.ss@poi.dvo.ru
Россия, 690041, Владивосток, ул. Балтийская, 43
В. В. Разживин
Тихоокеанский океанологический институт им. В.И. Ильичева Дальневосточного отделения Российской академии наук
Email: golov_alexander@inbox.ru
Россия, Владивосток
Д. Д. Каплуненко
Федеральное государственное бюджетное учреждение науки Тихоокеанский океанологический институт им. В.И. Ильичева ДВО РАН
Email: golov_alexander@inbox.ru
Россия, 690041, Владивосток, ул. Балтийская, 43
С. С. Шкрамада
Федеральное государственное бюджетное учреждение науки Тихоокеанский океанологический институт им. В.И. Ильичева ДВО РАН
Автор, ответственный за переписку.
Email: shkramada.ss@poi.dvo.ru
Россия, 690041, Владивосток, ул. Балтийская, 43
Список литературы
- Worcester P.F., Cornuelle B.D., Dzieciuch M.A., Munk W.H., Howe B.M., Mercer J.A., Spindel R.C., Metzger K., Birdsall T.G. A test of basin-scale acoustic thermometry using a large- aperture vertical array at 3250-km range in the eastern North Pacific Ocean // J. Acoust. Soc. Am. 1999. V. 105. № 6. P. 3185–3201.
- Baggeroer A.B., Birdsall T.G., Clark C., Colosi J.A., Cornuelle B.D., Costa D., Dushaw B.D., Dzieciuch M., Forbes A.M.G., Hill C., Howe B.M., Marshall J., Menemenlis D., Mercer J.A., Metzger K., Munk W., Spindel R.C., Stammer D., Worcester P.F., Wunsch C. Ocean climate change: Comparison of acoustic tomography, satellite altimetry, and modeling // ATOC Consortium. 1998. Science. 281. P. 1327–1332.
- Howe B.M., Anderson S.G., Baggeroer A.B., Colosi J.A., Hardy K.R., Horwitt D., Karig F.W., Leach S., Mercer J.A., Metzger K., Jr., Olson L.O., Peckham D.A., Reddaway D.A., Ryan R.R., Stein R.P., Watson J.D., Weslander S.L., Worcester P.F. Instrumentation for the Acoustic Thermometry of Ocean Climate (ATOC) prototype Pacific Ocean network // OCEANS’95 Conference Proceedings, San Diego, CA, 9–12 October 1995. P. 1483–1500.
- Моргунов Ю.Н., Безответных В.В., Буренин А.В., Войтенко Е.А. Исследование влияния гидрологических условий на распространение псевдослучайных сигналов из шельфа в глубокое море // Акуст. журн. 2016. Т. 62. № 3. С. 341–347.
- Акуличев В.А., Каменев С.И., Моргунов Ю.Н. Применение сложных акустических сигналов в системах связи и управления подводными объектами // Докл. Акад. наук. 2009. Т. 426. № 6. С. 821–823.
- Акуличев В.А., Безответных В.В., Буренин А.В., Войтенко Е.А., Моргунов Ю.Н. Эксперимент по оценке влияния вертикального профиля скорости звука в точке излучения на шельфе на формирование импульсной характеристики в глубоком море // Акуст. журн. 2010. Т. 56. № 1. С. 51–52.
- Моргунов Ю.Н., Голов А.А., Буренин А.В., Петров П.С. Исследования пространственно-временной структуры акустического поля, формируемого в глубоком море источником широкополосных импульсных сигналов, расположенным на шельфе Японского моря // Акуст. журн. 2019. Т. 65. № 5. С. 641–649.
- Петров П.С., Голов А.А., Безответных В.В., Буренин А.В., Козицкий С.Б., Сорокин М.А., Моргунов Ю.Н. Экспериментальное и теоретическое исследование времен прихода и эффективных скоростей при дальнем распространении импульсных акустических сигналов вдоль кромки шельфа в мелком море // Акуст. журн. 2020. Т. 66. № 1. С. 20–33.
- Dolgikh G., Morgunov Y., Burenin A., Bezotvetnykh V., Luchin V., Golov A., Tagiltsev A. Methodology for the Practical Implementation of Monitoring Temperature Conditions over Vast Sea Areas Using Acoustic Thermometry // J. Mar. Sci. Eng. 2023. V. 11. P. 137.
- Gurvan M., Bourdallé-Badie R., Jérôme Chanut J. et al. NEMO ocean engine // Scientific Notes of IPSL Climate Modelling Center. 2017. V. 27. https://doi.org/10.5281/zenodo.146481610.528
- Chen C.-T., Millero F.J. Speed of sound in seawater at high pressures // J. Acoust. Soc. Am. 1977. V. 62. № 5. P. 1129–1135.
- Karney Ch.F.F. Algorithms for geodesics // J. Geod. 2013. V. 87. P. 43–55. https://doi.org/10.1007/s00190-012-0578-z
- Kaneko A., Zhu X.H., Lin J. Coastal acoustic tomography // Coast. Acoust. Tomogr. 2020. P. 1–362. https://doi.org/10.1016/C2018-0-04180-8
- Bowlin J.B., Spiesberger J.L., Duda T.F., Freitag L.E. Ocean Acoustical Ray-tracing Software RAY // Woods Hole Oceanographic Technical Report, WHOI-93-10, 1993.
- Сорокин М.А., Петров П.С., Каплуненко Д.Д., Голов А.А., Моргунов Ю.Н. К вопросу о теоретических и экспериментальных оценках групповых скоростей модальных компонент импульсных акустических сигналов на протяженных трассах с использованием моделей циркуляции океана // Подводные исследования и робототехника. 2022. № 2(40). С. 54–64.
Дополнительные файлы









