Active Control of Jet–Wing Interaction Noise Using Plasma Actuators in a Narrow Frequency Band
- Authors: Kopiev V.F.1, Bychkov O.P.2, Kopiev V.A.3, Faranosov G.A.3, Moralev I.A.4, Kazansky P.N.4
-
Affiliations:
- Moscow Research Complex Central Aerohydrodamic Institute (TsAGI), 105005, Moscow, Russia
- ФАУ ЦАГИ, Научно-исследовательский МосMoscow Research Complex Central Aerohydrodynamic Institute (TsAGI), 105005, Moscow, Russiaковский комплекс ЦАГИ
- Moscow Research Complex Central Aerohydrodynamic Institute (TsAGI), 105005, Moscow, Russia
- Joint Institute for High Temperature, 125112, Moscow, Russia
- Issue: Vol 69, No 2 (2023)
- Pages: 177-190
- Section: АТМОСФЕРНАЯ И АЭРОАКУСТИКА
- URL: https://bakhtiniada.ru/0320-7919/article/view/134426
- DOI: https://doi.org/10.31857/S0320791922600524
- EDN: https://elibrary.ru/ITIMBG
- ID: 134426
Cite item
Full Text
Abstract
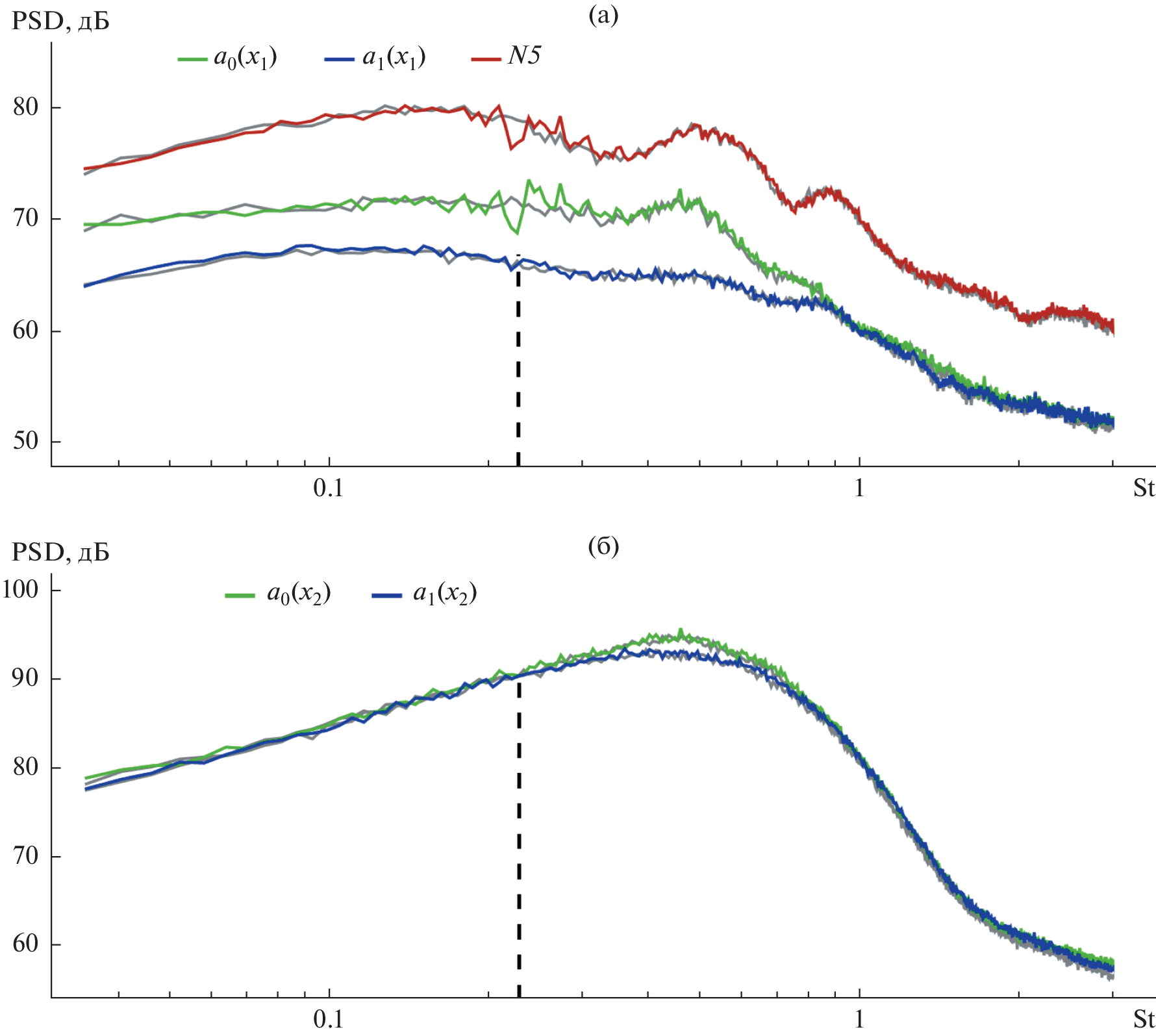
For a jet located near the wing, instability waves present in jet mixing layer scatter on the wing trailing edge, leading to additional noise generation. In this article, the possibility of reducing this noise by active cancellation of natural instability waves has been experimentally studied. The active control system consists of near-field microphones from which the feedback signal is taken, a data processing module for signal filtering, and a high-frequency dielectric barrier discharge plasma actuator. Decrease in pressure perturbations in the near field of a turbulent jet associated with axisymmetric instability waves in a narrow frequency band was demonstrated. It was shown that this reduction leads to a corresponding noise decrease in the far field.
About the authors
V. F. Kopiev
Moscow Research Complex Central Aerohydrodamic Institute (TsAGI), 105005, Moscow, Russia
Email: vkopiev@mktsagi.ru
Россия, 105005, Москва, ул. Радио 17
O. P. Bychkov
ФАУ ЦАГИ, Научно-исследовательский МосMoscow Research Complex Central Aerohydrodynamic Institute (TsAGI), 105005, Moscow, Russiaковский комплекс ЦАГИ
Email: vkopiev@mktsagi.ru
Россия, 105005, Москва, ул. Радио 17
V. A. Kopiev
Moscow Research Complex Central Aerohydrodynamic Institute (TsAGI), 105005, Moscow, Russia
Email: vkopiev@mktsagi.ru
Россия, 105005, Москва, ул. Радио 17
G. A. Faranosov
Moscow Research Complex Central Aerohydrodynamic Institute (TsAGI), 105005, Moscow, Russia
Email: vkopiev@mktsagi.ru
Россия, 105005, Москва, ул. Радио 17
I. A. Moralev
Joint Institute for High Temperature, 125112, Moscow, Russia
Email: vkopiev@mktsagi.ru
Россия, 125112, Москва, ул. Ижорская 17, стр. 2
P. N. Kazansky
Joint Institute for High Temperature, 125112, Moscow, Russia
Author for correspondence.
Email: vkopiev@mktsagi.ru
Россия, 125112, Москва, ул. Ижорская 17, стр. 2
References
- Mengle V.G. The Effect of Nozzle-to-Wing Gulley Height on Jet Flow Attachment to the Wing and Jet-Flap Interaction Noise // AIAA Paper 2011-2705, 2011.
- Mead C.J., Strange P.J.R. Under-wing installation effects on jet noise at sideline // AIAA Paper 98-2207, 1998.
- Mengle V.G., Brusniak L., Elkoby R. Reducing Propulsion Airframe Aeroacoustic Interactions with Uniquely Tailored Chevrons: 3. Jet-Flap interaction // AIAA Paper 2006-2435, 2006.
- Kopiev V.F., Faranosov G.A., Zaytsev M.Yu., Vlasov E.V., Karavosov R.K., Belyaev I.V., Ostrikov N.N. Intensification and suppression of jet noise sources in the vicinity of lifting surfaces // AIAA Paper 2013–2284, 2013.
- Cavalieri A.V.G., Jordan P., Wolf W.R., Gervais Y. Scattering of wavepackets by a flat plate in the vicinity of a turbulent jet // J. Sound Vib. 2014. V. 333. P. 6516–6531.
- Kopiev V., Belyaev I., Faranosov G., Kopiev Vl., Ostrikov N., Zaytsev M., Paranin G. Numerical and Experimental Study of JFI Effect on Swept Wing // AIAA Paper 2014–3060, 2014.
- Lawrence J. Aeroacoustic Interactions of Installed Subsonic Round Jets // PhD thesis, Univ. of Southampton, 2014.
- Vera J., Self R.H., Kingan M.J. The prediction of the radiated pressure spectrum produced by jet-wing interaction // AIAA Paper 2015-2216, 2015.
- Беляев И.В., Копьев В.Ф., Зайцев М.Ю., Остриков Н.Н., Фараносов Г.А. Исследование влияния угла отклонения закрылка на шум взаимодействия двухконтурной струи и стреловидного крыла в спутном потоке // Акуст. журн. 2017. Т. 63. № 1. С. 17–29.
- Lyu B., Dowling A.P., Naqavi I. Prediction of installed jet noise // J. Fluid Mech. 2017. V. 811. P. 234–268.
- Бычков О.П., Фараносов Г.А. Экспериментальное исследование и теоретическое моделирование шума взаимодействия струи и крыла самолета // Акуст. журн. 2018. Т. 64. № 4. С. 437–453.
- Piantanida S., Jaunet V., Huber J., Wolf W., Jordan P., Cavalieri A.V.G. Scattering of turbulent-jet wavepackets by a swept trailing edge // AIAA Paper 2015-2998, 2015.
- Mankbadi R.R. Dynamics and Control Coherent Structures in Turbulent Jets // Applied Mechanics Reviews. 1992. V. 45. № 6. P. 219–248.
- Kopiev V.F. On the possibility and prospects of turbulent flow noise control // CD-ROM Proceedings FM11-12156 XXI ICTAM. 15–21 August 2004. Warsaw. Poland.
- Samimy M., Kim J.H., Adamovich I., Utkin Y., Kastner J. Toward Noise Mitigation in High Speed and High Reynolds Number Jets Using Plasma Actuators // AIAA Paper 2006–2703, 2006.
- Копьев В.Ф., Битюрин В.А., Беляев И.В., Годин С.М., Зайцев М.Ю., Климов А.И., Копьев В.А., Моралев И.А., Остриков Н.Н. Управление шумом струи с помощью плазменных актуаторов диэлектрического барьерного разряда // Акуст. журн. 2012. Т. 58. № 4. С. 473–482.
- Samimy M., Kearney-Fischer M., Kim J.H. High-speed and high-Reynolds-number jet control using localized arc filament plasma actuators // Journal of Propulsion and Power. 2012. V. 28. № 2. P. 269–280.
- Беляев И.В., Зайцев М.Ю., Копьев В.А., Копьев В.Ф., Фараносов Г.А. Акустическое управление волнами неустойчивости в турбулентной струе // Акуст. журн. 2013. Т. 59. № 1. С. 19–30.
- Kopiev V.F., Akishev Y.S., Belyaev I.V., Berezhetskaya N.K., Bityurin V.A., Faranosov G.A., Grushin M.E., Klimov A.I., Kopiev V.A., Kossyi I.A., Moralev I.A., Ostrikov N.N., Taktakishvili M.I., Trushkin N.I., Zaytsev M.Yu. Instability wave control in turbulent jet by plasma actuators // J. Phys. D: Appl. Phys. 2014. V. 47. P. 1–18.
- Crawley M., Sinha A., Samimy M. Near-field and acoustic far-field response of a high-speed jet to excitation // AIAA Journal. 2015. V. 53. № 7. P. 1894–1909.
- Sinha A., Towne A., Colonius T., Schlinker R.H., Reba R., Simonich J.C., Shannon D.W. Active control of noise from hot supersonic jets // AIAA J. 2017. V. 56. № 3. P. 933–948.
- Копьев В.Ф., Бычков О.П., Копьев В.А., Фараносов Г.А., Моралев И.А., Казанский П.Н. Управление волнами неустойчивости в невозбужденной турбулентной струе с помощью плазменных актуаторов в узкой полосе частот // Акуст. журн. 2021. Т. 67. № 4. С. 431–439.
- Беляев И.В., Бычков О.П., Зайцев М.Ю., Копьев В.А., Копьев В.Ф., Остриков Н.Н., Фараносов Г.А., Чернышев С.А. Разработка стратегии активного управления волнами неустойчивости в невозбужденных турбулентных струях // Изв. РАН МЖГ. 2018. № 3. С. 14–27.
- Suzuki T., Colonius T. Instability waves in a subsonic round jet detected using a near-field phased microphone array // J. Fluid Mech. 2006. V. 565. P. 197–226.
- Jordan P., Colonius T. Wave Packets and Turbulent Jet Noise // Annual Review of Fluid Mechanics. 2013. V. 45. P. 173–195.
- Kopiev V., Faranosov G., Bychkov O., Kopiev Vl., Moralev I., Kazansky P. Active control of jet-plate interaction noise for excited jets by plasma actuators // J. Sound Vib. 2020. V. 484. P. 115515.
- Копьев В.Ф., Фараносов Г.А. Управление волной неустойчивости в двумерной задаче о кромке сопла // Акуст. журн. 2008. Т. 54. № 3. С. 371–379.
- Фараносов Г.А. Теоретическое исследование эффективности внешнего возбуждения волн неустойчивости в двумерной модели кромки сопла // Акуст. журн. 2012. Т. 58. № 4. С. 549–555.
- Milling R. Tollmien–Schlichting wave cancellation // Phys. Fluids. 1981. V. 24. № 5. P. 979–981.
- Бычков О.П., Зайцев М.Ю., Копьев В.Ф., Фараносов Г.А., Чернышев С.А. О двух подходах к моделированию шума низкоскоростных дозвуковых струй // Доклады РАН. Физика, технические науки. 2022. Т. 506. № 1. (в печати).
- Moralev I., Sherbakova V., Selivonin I., Bityurin V., Ustinov M. Effect of the discharge constriction in DBD plasma actuator on the laminar boundary layer // Int. J. Heat Mass Transf. 2018. V. 116. P. 1326–1340.
- Kazanskyi P.N., Klimov A.I., Moralev I.A. High-frequency actuator control of air flow near a circular cylinder: Impact of the discharge parameters on the cylinder aerodynamic drag // High Temp. 2012. V. 50. № 3. P. 323–30.
- Thomas F.O., Kozlov A., Corke T.C. Plasma actuators for cylinder flow control and noise reduction // AIAA J. 2008. V. 46. № 8 P. 1921–1931.
- Kopiev V.F., Kazansky P.N., Kopiev V.A., Moralev I.A., Zaytsev M.Yu. HF DBD plasma actuators for reduction of cylinder noise in flow // Journal of Physics D: Applied Physics. 2017. V. 50. 475204.
- Faranosov G., Bychkov O.P., Kopiev V., Kopiev V. A., Moralev I., Kazansky P. Plasma-based active closed-loop control of instability waves in unexcited turbulent jet. Part 2. Installed jet // AIAA Paper 2019–2558, 2019.
- Хемминг Р.В. Цифровые фильтры. М.: Советское радио, 1980.
- Arndt R.E.A., Long D.F., Glauser M.N. The proper orthogonal decomposition of pressure fluctuations surrounding a turbulent jet // J. Fluid Mech. 1997. V. 340. P. 1–33.
Supplementary files















