Acoustic Resonance Spectroscopy with an Uncalibrated Microwave Path
- Authors: Alekseev S.G.1, Luzanov V.A.2, Raevsky A.O.2, Balashov V.V.2, Lopukhin K.V.2, Polzikova N.I.1
-
Affiliations:
- Kotelnikov Institute of Radio Engineering and Electronics, Russian Academy of Sciences, 125009, Moscow, Russia
- Kotelnikov Institute of Radio Engineering and Electronics (Fryazino Branch), Russian Academy of Sciences, 141120, Fryazino, Moscow region, Russia
- Issue: Vol 69, No 1 (2023)
- Pages: 32-40
- Section: ФИЗИЧЕСКАЯ АКУСТИКА
- URL: https://bakhtiniada.ru/0320-7919/article/view/134375
- DOI: https://doi.org/10.31857/S0320791922060016
- EDN: https://elibrary.ru/CPIAJF
- ID: 134375
Cite item
Full Text
Abstract
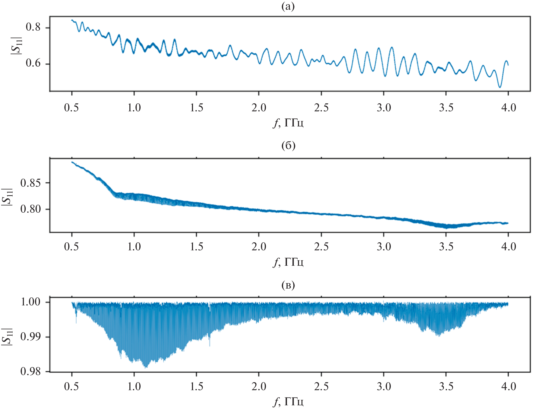
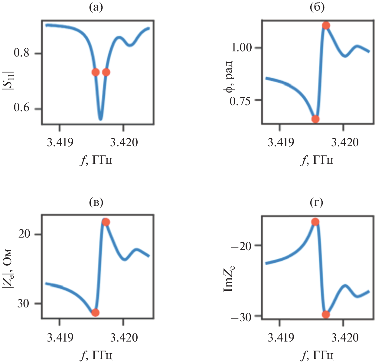
Acoustic resonance spectroscopy (ARS) is an informative analytical method that yields information about thicknesses and acoustic properties of layers in a multilayer structure representing a high-overtone bulk acoustic wave resonator (HBAR). Since the HBAR spectrum has many resonance features, the development of automatic methods for its processing is an urgent task. In this study, a method for extracting ARS data from a signal distorted by a RF measuring path without additional measurements of reference impedances (calibration) is proposed, which brings the spectrum to a form convenient for automatic processing and significantly expands the range of the ARS application. The method is especially relevant for processing HBAR spectra with a low excitation efficiency. As an example of such processing, the central frequencies and effective widths of more than a thousand resonant peaks are determined and, based on this, the frequency dependence of the acoustic attenuation is established for a new material: optical ceramics based on doped yttrium aluminum garnet nanoparticles.
About the authors
S. G. Alekseev
Kotelnikov Institute of Radio Engineering and Electronics, Russian Academy of Sciences, 125009, Moscow, Russia
Email: alekseev@cplire.ru
Россия, 125009, Москва, ул. Моховая 11, стр. 7
V. A. Luzanov
Kotelnikov Institute of Radio Engineering and Electronics (Fryazino Branch), Russian Academy of Sciences, 141120, Fryazino, Moscow region, Russia
Email: alekseev@cplire.ru
Россия, 141120, Фрязино, пл. Веденского 1
A. O. Raevsky
Kotelnikov Institute of Radio Engineering and Electronics (Fryazino Branch), Russian Academy of Sciences, 141120, Fryazino, Moscow region, Russia
Email: alekseev@cplire.ru
Россия, 141120, Фрязино, пл. Веденского 1
V. V. Balashov
Kotelnikov Institute of Radio Engineering and Electronics (Fryazino Branch), Russian Academy of Sciences, 141120, Fryazino, Moscow region, Russia
Email: alekseev@cplire.ru
Россия, 141120, Фрязино, пл. Веденского 1
K. V. Lopukhin
Kotelnikov Institute of Radio Engineering and Electronics (Fryazino Branch), Russian Academy of Sciences, 141120, Fryazino, Moscow region, Russia
Email: alekseev@cplire.ru
Россия, 141120, Фрязино, пл. Веденского 1
N. I. Polzikova
Kotelnikov Institute of Radio Engineering and Electronics, Russian Academy of Sciences, 125009, Moscow, Russia
Author for correspondence.
Email: alekseev@cplire.ru
Россия, 125009, Москва, ул. Моховая 11, стр. 7
References
- Крутов Б.Н., Мансфельд Г.Д., Фрейк А.Д. Определение акустических параметров тонких слоев и пленок по электрическим характеристикам составного резонатора // Акуст. журн. 1994. Т. 40. № 4. С. 633–639.
- Мансфельд Г.Д., Алексеев С.Г., Ползикова Н.И. Эквивалентная электрическая схема составного акустического резонатора для радиотехнических устройств СВЧ диапазона // Акуст. журн. 2008. Т. 54. № 4. С. 552–558.
- Мансфельд Г.Д., Гуляев Ю.В., Косаковская З.Я., Алексеев С.Г., Сарайкин В.В. Акустические и акустоэлектронные свойства углеродных нанотрубных пленок // ФТТ. 2002. Т. 44. № 4. С. 649–651.
- Сорокин Б.П., Новоселов А.С., Квашнин Г.М., Лупарев Н.В., Асафьев Н.О., Шипилов А.Б., Аксёненков В.В. Разработка и исследование композитных акустических резонаторов со структурой “Al/(Al,Sc)N/Mo/алмаз” с высокой добротностью на СВЧ // Акуст. журн. 2019. Т. 65. № 3. С. 325–331.
- Sotnikov A.V., Sorokin B.P., Asafiev N.O., Shcherbakov D.A., Kvashnin G.M., Suhak Yu., Fritze H., Weihnacht M., Schmidt H. Microwave acoustic attenuation in CTGS single crystals // IEEE Trans. Ultrason. Ferroelectr. Freq. Control. 2021. V. 68. № 11. P. 3423–3429.
- Mansfeld G.D., Alekseev S.G., Kotelyansky I.M. Acoustic HBAR spectroscopy of metal (W, Ti, Mo, Al) thin films // Proc. 2001 IEEE Ultrasonics Symp. New York: IEEE, 2001. V. 1. P. 415–418.
- Mansfeld G.D., Alekseev S.G., Kotelyanskii I.M., Polzikova N.I. Measurements of attenuation and electromechanic coupling constant of piezoelectric films in microwave resonators // Acoust. Phys. 2010. V. 56. № 6. P. 904–908.
- Migliori A., Sarrao J.L., Visscher W.M., Bell T.M., Lei M., Fisk Z., Leisure R.G. Resonant ultrasound spectroscopic techniques for measurement of the elastic moduli of solids // Physica B: Cond. Mat. 1993. V. 183. № 1–2. P. 1–24.
- Polzikova N., Alekseev S., Kotelyanskii I., Raevskiy A., Fetisov Yu. Magnetic field tunable acoustic resonator with ferromagnetic-ferroelectric layered structure // J. Appl. Phys. 2013. V. 113. № 17. P. 17C704-1-4.
- Polzikova N.I., Alekseev S.G., Pyataikin I.I., Luzanov V.A., Raevskiy A.O., Kotov V.A. Frequency and magnetic field mapping of magnetoelastic spin pumping in high overtone bulk acoustic wave resonator // AIP Advances. 2018. V. 8. № 5. P. 056128-1-6.
- Alekseev S.G., Dizhur S.E., Polzikova N.I., Luzanov V.A., Raevskiy A.P., Orlov A.P., Kotov V.A., Nikitov S.A. Magnons parametric pumping in bulk acoustic waves resonator // Appl. Phys. Lett. 2020. V. 117. № 7. P. 072408-1-5.
- Sergeev F.O., Alekseev S.G., Kotelyanskii I.M., Mansfeld G.D., Polzikova N.I. Viscosity tensor components of the langatate and langasite // Proc. 2008 IEEE Int. Ultrasonics Symp. (IUS). New York: IEEE, 2008. P. 745–748.
- Polzikova N.I., Mansfeld G.D., Alekseev S.G., Kotelyanskii I.M., Sergeev F.O. Acoustic resonance spectroscopy of nanoceramics // Proc. 2008 IEEE Int. Ultrasonics Symp. (IUS). New York: IEEE, 2008. P. 2169–2172.
- Алексеев С.Г., Ползикова Н.И., Котелянский И.М., Мансфельд Г.Д. Исследование слоистых структур модифицированным методом резонаторной акустической спектроскопии // Радиотехн. электрон. 2015. Т. 60. № 3. С. 317–324.
- Алексеев С.Г., Лузанов В.А., Ползикова Н.И. Исследование пространственного распределения пьезоэлектрических свойств пленки ZnO методом акустической резонаторной спектроскопии // Радиотехн. электрон. 2020. Т. 65. № 11. С. 1131–1136.
- Bhaskar U.K., Tierno D., Talmelli G., Ciubotaru F., Adelmann C., Devolder T. BPZT HBARs for magnetoelastic stress generation at GHz frequencies // IEEE Trans. Ultrason. Ferroelectr. Freq. Control. 2020. V. 67. № 6. P. 1284–1290.
- Gokhale V.J., Downey B.D., Katzer D.S., Nepal N., Lang A.C., Stroud R.M., Meyer D.J. Epitaxial bulk acoustic wave resonators as highly coherent multi-phonon sources for quantum acoustodynamics // Nature Commun. 2020. V. 11. № 1. P. 2314-1-9.
- Kvashnin G., Sorokin B., Asafiev N., Prokhorov V., Sotnikov A. Peculiarities of the acoustic wave propagation in diamond-based multilayer piezoelectric structures as “Me1/(Al, Sc) N/Me2/(100) Diamond/Me3" and “Me1/AlN/Me2/(100) diamond/Me3” under metal thin-film deposition // Electronics. 2022. V. 11. № 2. P. 176-1–11.
- Cheeke J.D.N., Zhang Y., Wang Z. Resonant spectrum method to characterize piezoelectric films in composite resonators // IEEE Trans. Ultrason. Ferroelectr. Freq. Control. 2003. V. 50. № 3. P. 321–333.
- Sorokin B.P., Kvashnin G.M., Novoselov A.S., Bormashov V.S., Golovanov A.V., Burkov S.I., Blank V.D. Excitation of hypersonic acoustic waves in diamond-based piezoelectric layered structure on the microwave frequencies up to 20 GHz // Ultrasonics. 2017. V. 78. P. 162–165.
- Алексеев С.Г., Мансфельд Г.Д. Простой способ измерения добротности и затухания в акустических резонаторах // Радиотехн. электрон. 2008. Т. 53. № 1. С. 122–126.
- Кайно Г. Акустические волны: Устройства, визуализация и аналоговая обработка сигналов. М.: Мир, 1990. 652 с.
- Алексеев С.Г., Мансфельд Г.Д., Ползикова Н.И. Захват энергии колебаний в составных акустических резонаторах на основе кубических кристаллов // Радиотехн. электрон. 2006. Т. 51. № 8. С. 984–990.
- Хазанов Е.Н., Таранов А.В., Алексеев С.Г., Ползикова Н.И. Влияние анизотропии на кинетику и акустические характеристики фононов в керамике на основе YAG, Y2O3, Lu2O3 // Журн. эксп. теор. физ. 2014. Т. 145. № 1. С. 101–107.
Supplementary files










