Quasilinear Approximation for Modeling Difference-Frequency Acoustic Wave in a Diffracting Pump-Wave Beam
- Authors: Tyurina A.V.1, Yuldashev P.V.1, Esipov I.B.2, Khokhlova V.A.1
-
Affiliations:
- Physics Faculty, Moscow State University, 119991, Moscow, Russia
- Gubkin Russian State University of Oil and Gas, 119991, Moscow, Russia
- Issue: Vol 69, No 1 (2023)
- Pages: 22-31
- Section: НЕЛИНЕЙНАЯ АКУСТИКА
- URL: https://bakhtiniada.ru/0320-7919/article/view/134374
- DOI: https://doi.org/10.31857/S0320791922600275
- EDN: https://elibrary.ru/DAKTTI
- ID: 134374
Cite item
Full Text
Abstract
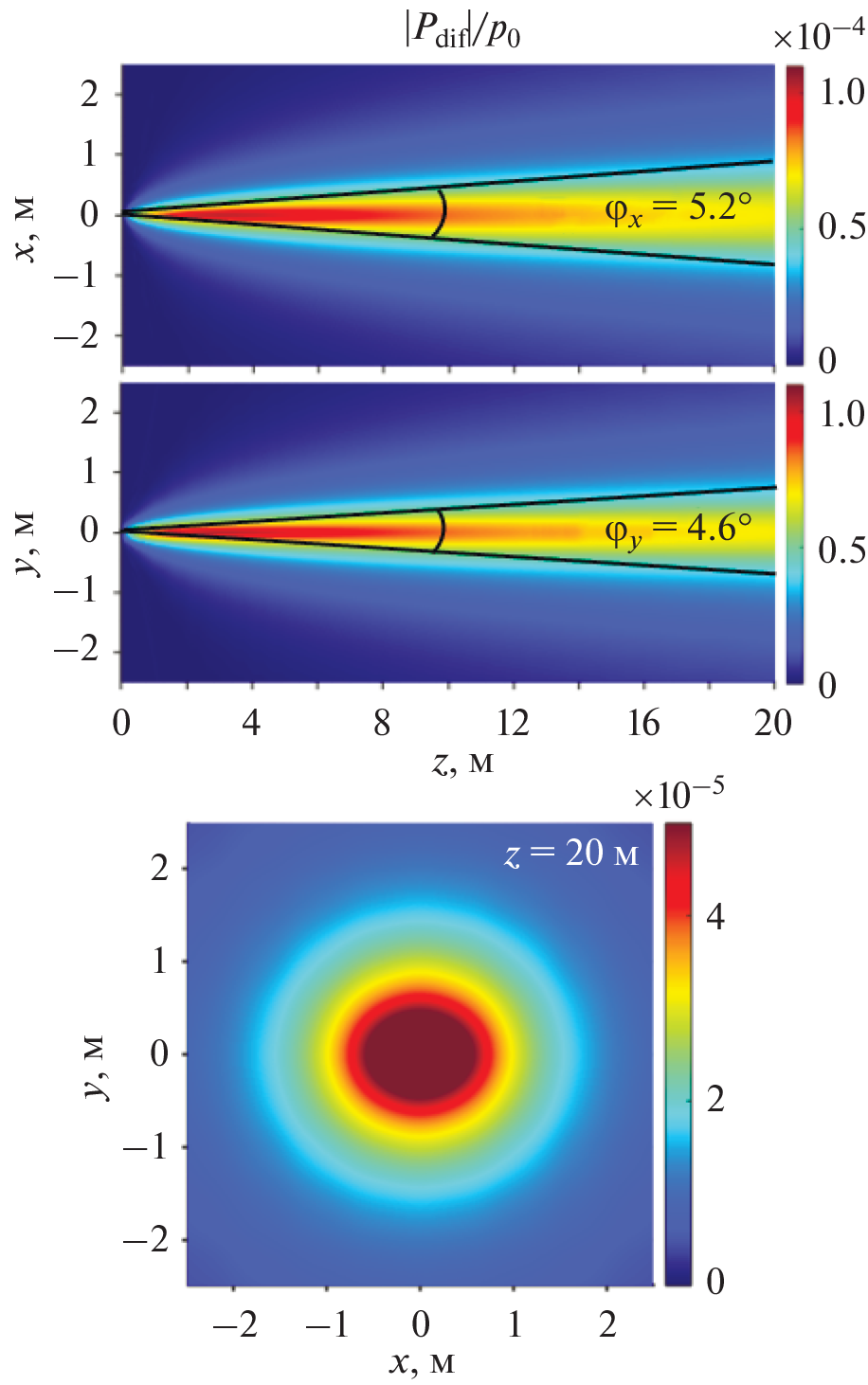
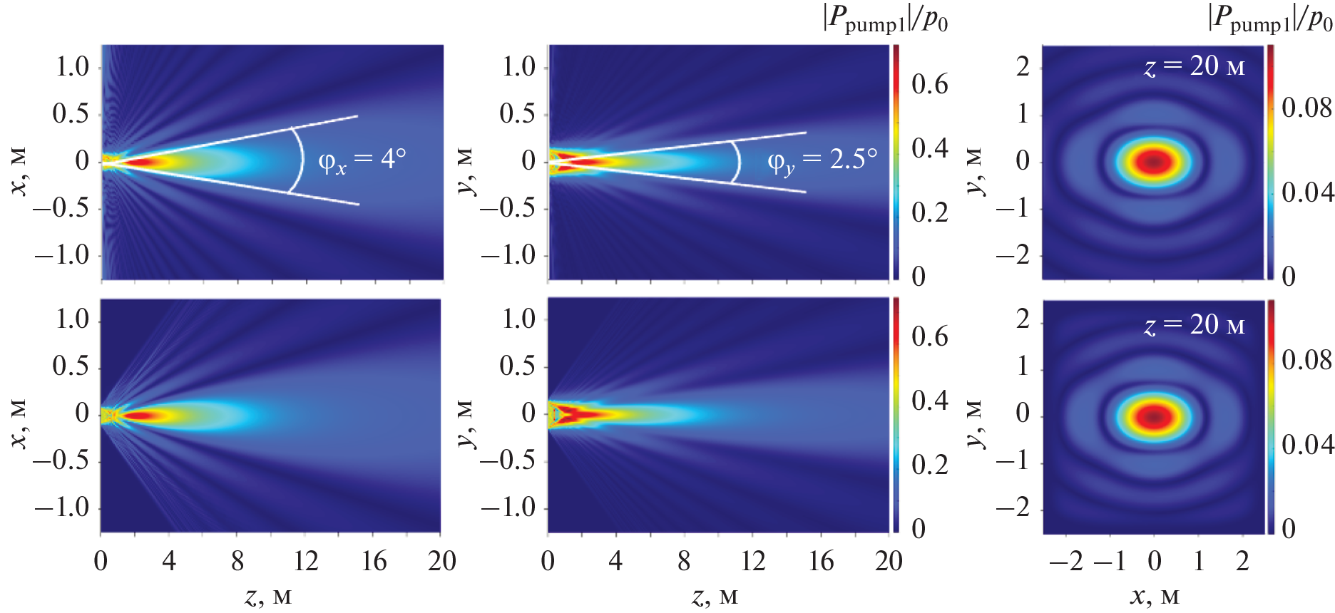
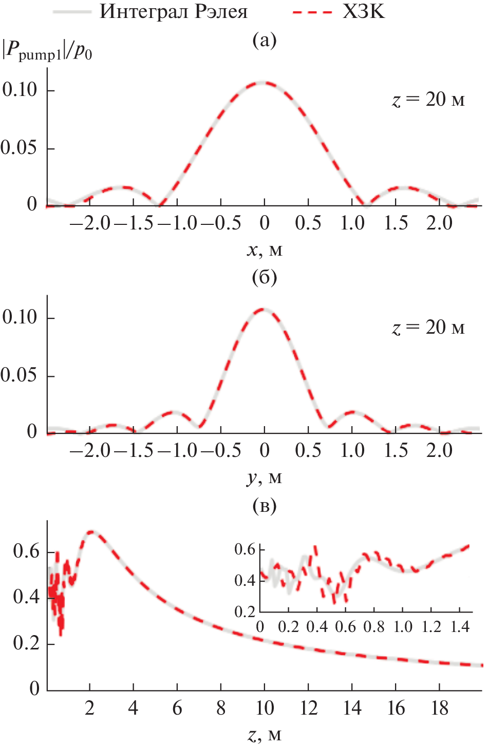
A quasilinear approach is considered to simulate generation of a difference-frequency acoustic wave by the interaction of two intense high-frequency diffracting pump beams with close frequencies. The boundary condition corresponds to dual-frequency excitation of an existing parametric source used for underwater research. It is shown that the linear field of primary waves has a high directivity with a total beam divergence angle of several degrees; therefore, the nonlinear-diffraction problem is solved numerically in the parabolic approximation. The pump wave field is calculated in the linear approximation; the solutions obtained at each step of the numerical grid along the beam axis are used to calculate nonlinear sources in the equation for a three-dimensional difference-frequency beam. The one- and two-dimensional distributions of the pressure field and the directivity pattern are analyzed for three values of a difference frequency. Numerical solutions obtained with realistic boundary conditions at the source and description of diffraction effects are compared with the known approximate analytical results for the quasilinear approach.
Keywords
About the authors
A. V. Tyurina
Physics Faculty, Moscow State University, 119991, Moscow, Russia
Email: tiurina.av@physics.msu.ru
Россия, 119991, ГСП-1, Москва, Ленинские горы
P. V. Yuldashev
Physics Faculty, Moscow State University, 119991, Moscow, Russia
Email: tiurina.av@physics.msu.ru
Россия, 119991, ГСП-1, Москва, Ленинские горы
I. B. Esipov
Gubkin Russian State University of Oil and Gas, 119991, Moscow, Russia
Email: tiurina.av@physics.msu.ru
Россия, 119991, Москва, Ленинский проспект 65
V. A. Khokhlova
Physics Faculty, Moscow State University, 119991, Moscow, Russia
Author for correspondence.
Email: tiurina.av@physics.msu.ru
Россия, 119991, ГСП-1, Москва, Ленинские горы
References
- Новиков Б.К., Тимошенко В.И. Параметрические антенны в гидролокации. Л.: Судостроение, 1990. 250 с.
- Berktay H.O. Possible exploitation of non-linear acoustics in underwater transmitting applications // J. Sound Vib. 1965. V. 2. № 4. P. 435–461.
- Zhou H., Huang S.H., Li W. Parametric acoustic array and its application in underwater acoustic engineering // Sensors. 2020. V. 20. № 7. P. 2148.
- Yoneyama M., Fujimoto J., Kawamo Y., Sasabe S. The audio spotlight: an application of nonlinear interaction of sound waves to a new type of loudspeaker design // J. Acoust. Soc. Am. 1983. V. 73. № 5. P. 1532–1536.
- Shi C., Gan W.-S. Development of a parametric loud-speaker: a novel directional sound generation technology // IEEE Potentials. 2010. V. 29. № 6. P. 20–24.
- Skinner E., Groves M., Hinders M.K. Demonstration of a length limited parametric array // Appl. Acoust. 2019. V. 148. P. 423–433.
- Westervelt P.J. Parametric acoustic array // J. Acoust. Soc. Am. 1963. V. 35. № 4. P. 535–537.
- Новиков Б.К., Руденко О.В., Тимошенко В.И. Нелинейная гидроакустика. Л.: Судостроение, 1981. 264 с.
- Sapozhnikov O.A., Khokhlova V.A., Cleveland R.O., Blanc-Benon P., Hamilton M.F. Nonlinear Acoustics Today // Acoustics Today. 2019. V. 15. № 3. P. 55–64.
- Esipov I.B., Naugolnykh K.A., Timoshenko V.I. The parametric array and long-range ocean research // Acoustics Today. 2010. V. 6. № 2. P. 20–26.
- Pampin J., Kollin J.S., Kang E. Applications of ultrasonic sound beams in performance and sound art / Proc. of the joint 33rd Int. Computer Music Conference, 2007. P. 492–495.
- Zhong J., Kirby R., Qiu X. The near field, Westervelt far field, and inverse-law far field of the audio sound generated by parametric array loudspeakers // J. Acoust. Soc. Am. 2021. V. 149. № 3. P. 1524–1535.
- Cervenka M., Bednarık M. A versatile computational approach for the numerical modeling of parametric acoustic array // J. Acoust. Soc. Am. 2019. V. 146. № 4. P. 2163–2169.
- Tavakkoli J., Cathignol D., Souchon R., Sapozhnikov O.A. Modeling of pulsed finite-amplitude focused sound beams in time domain // J. Acoust. Soc. Am. 1998. V. 104. № 4. P. 2061–2072.
- Zemp R.J., Tavakkoli J., Cobbold R.S.C. Modeling of nonlinear ultrasound propagation in tissue from array transducers // J. Acoust. Soc. Am. 2003. V. 113. № 1. P. 139–152.
- Averkiou M.A., Lee Y.-S., Hamilton M.F. Self-demodulation of amplitude- and frequency-modulated pulses in a thermoviscous fluid // J. Acoust. Soc. Am. 1993. V. 94. № 5. P. 2876–2883
- Aanonsen S.I. Numerical computation of the nearfield of a finite amplitude sound beam // Tech. Rep. № 73. 1983. Dept. of Math., Univ. of Bergen, Norway.
- Lee Y.S., Hamilton M.F. Time-domain modelling of pulsed finite-amplitude sound beams // J. Acoust. Soc. Am. 1995. V. 97. № 2. P. 906–917.
- Khokhlova V.A., Souchon R., Tavakkoli J., Sapozhnikov O.A., Cathignol D. Numerical modeling of finite amplitude sound beams: Shock formation in the nearfield of a CW plane piston source // J. Acoust. Soc. Am. 2001. V. 110. № 1. P. 95–108.
- Хохлова В.А., Пономарев А.Е., Аверкью М.А., Крам Л.А. Нелинейные импульсные поля прямоугольных фокусированных источников диагностического ультразвука // Акуст. журн. 2006. Т. 52. № 4. С. 560–570.
- Muir T.G., Willette J.G. Parametric acoustic transmitting arrays // J. Acoust. Soc. Am. 1972. V. 52. № 5 (Part 2). P. 1481–1486.
- Moffett M.B., Mellen R.H., Konrad W.L. Model for parametric acoustic sources // J. Acoust. Soc. Am. 1977. V. 61. № 2. P. 325–337.
- Moffett M.B., Mellen R.H., Konrad W.L. Parametric acoustic sources of rectangular aperture // J. Acoust. Soc. Am. 1978. V. 63. № 5. P. 1326–1331.
- Cervenka M., Bednarik M. Non-paraxial model for a parametric acoustic array // J. Acoust. Soc. Am. 2013. V. 134. № 2. P. 933–938.
- Ding D. A simplified algorithm for the second-order sound fields // J. Acoust. Soc. Am. 2000. V. 108. № 6. P. 2759–2764.
- Есипов И.Б., Попов О.Е., Солдатов В.Г. Компрессия сигнала параметрической антенны в мелководном волноводе // Акуст. журн. 2019. Т. 65. № 4. С. 490–498.
- Тюрина А.В., Юлдашев П.В., Есипов И.Б., Хохлова В.А. Численная модель спектрального описания генерации ультразвуковой волны разностной частоты при двухчастотном взаимодействии // Акуст. журн. 2022. Т. 68. № 2. С. 152–161.
- O’Neil H.T. Theory of focusing radiators // J. Acoust. Soc. Am. 1949. V. 21. № 5. P. 516–526.
- Sapozhnikov O.A., Tsysar S.A., Khokhlova V.A., Kreider W. Acoustic holography as a metrological tool for characterizing medical ultrasound sources and fields // J. Acoust. Soc. Am. 2015. V. 138. № 3. P. 1515–1532.
- Tjotta J.N., Tjotta S., Vefring E.G. Effects of focusing on the nonlinear interaction between two collinear finite amplitude sound beams // J. Acoust. Soc. Am. 1991. V. 89. № 3. P. 1017–1027.
- Pierce A.D. Acoustics: an introduction to its physical principles and applications. Springer, 2019. 768 p.
- Press W.H., Teukolsky S.A., Vetterling W.T., Flannery B.P. Numerical recipes. N.Y.: Cambridge University Press, 2007. 1235 p.
Supplementary files










