Analysis of the Relationship of Moderate Cognitive Impairments with Changes in Synchronization between Photostimulation and Brain Activity
- Authors: Dick O.E.1
-
Affiliations:
- Pavlov Physiology Institute RAS
- Issue: Vol 54, No 3 (2023)
- Pages: 77-89
- Section: Articles
- URL: https://bakhtiniada.ru/0301-1798/article/view/138985
- DOI: https://doi.org/10.31857/S0301179823030062
- EDN: https://elibrary.ru/ZYMHBM
- ID: 138985
Cite item
Full Text
Abstract
Abstract
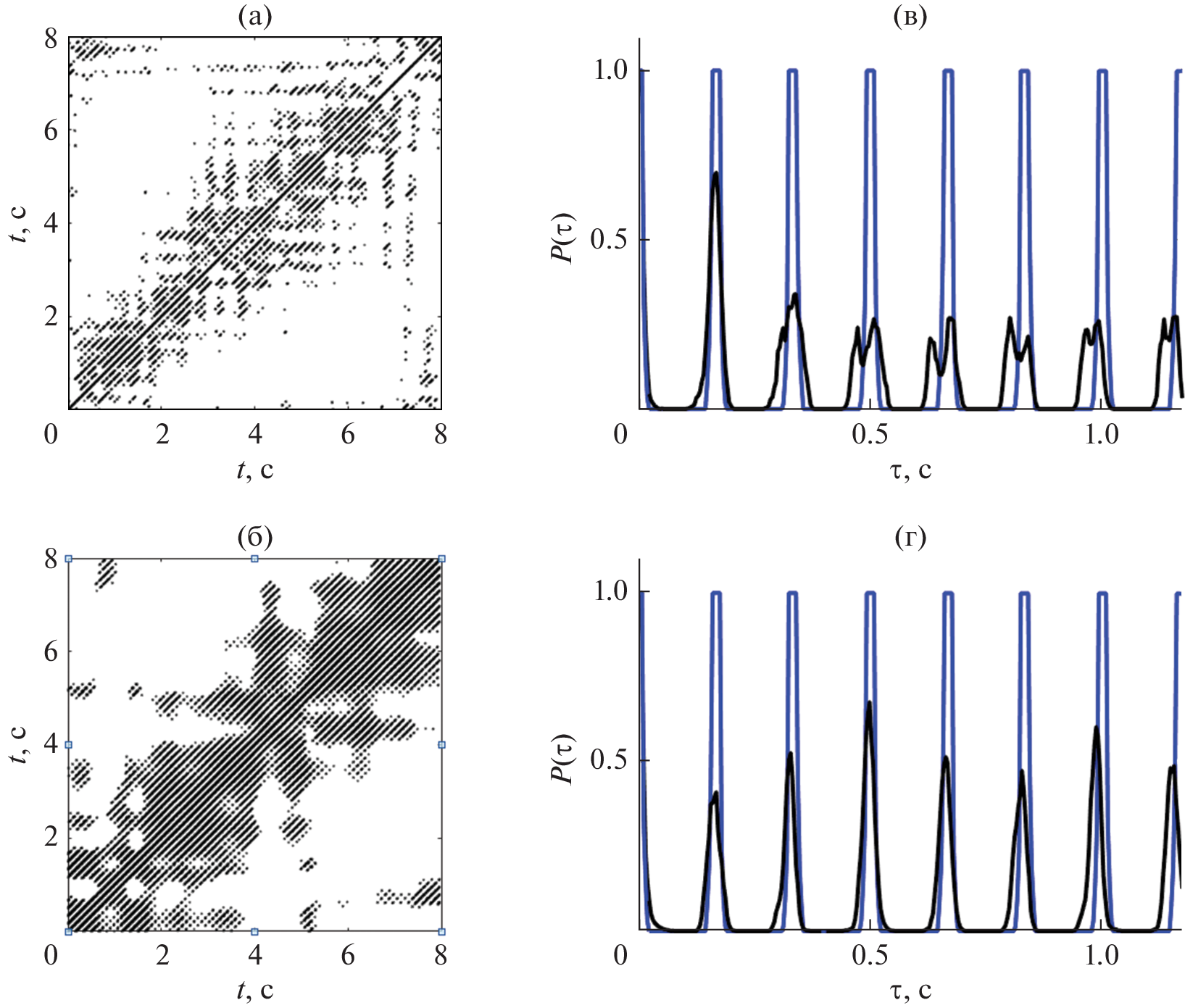
—The review is devoted to the application of methods of nonlinear dynamics to the analysis of dynamic changes in the patterns of physiological rhythms of the brain in the event of disorders associated with chronically elevated blood pressure and atrial fibrillation-type cardiac arrhythmias in the presence and absence of moderate cognitive impairment. The possibility of using these methods to identify markers of these disorders is shown. These markers are associated with the parameters of phase synchronization between rhythmic photostimuli and brain responses in the form of electroencephalographic patterns.
About the authors
O. E. Dick
Pavlov Physiology Institute RAS
Author for correspondence.
Email: dickviola@gmail.com
Russia, 199034, St. Petersburg
References
- Божокин С.В. Вейвлет-анализ динамики усвоения и забывания ритмов фотостимуляции для нестационарной электроэнцефалограммы // Журн. Технической физики. 2010. Т. 80. № 9. С. 16.
- Дик О.Е., Святогор И.А., Дик О.Е. и др. Анализ реактивных паттернов ЭЭГ у лиц с фибрилляцией предсердий // Физиология человека. 2019. Т. 45. С. 49–63.
- Дик О.Е., Ноздрачев А.Д. Динамика паттернов электрической активности мозга при нарушениях его функционального состояния // Успехи физиологических наук. 2020. Т. 51. № 2. С. 1–20.
- Дик О.Е., Святогор И.А., Резникова Т.Н. и др. Анализ паттернов ЭЭГ у лиц с паническими атаками // Физиология человека. 2020. Т. 46. № 2. С. 63.
- Дик О.Е., Глазов A.Л. Параметры фазовой синхронизации в электроэнцефалографических паттернах как маркеры когнитивных нарушений // Журн. технической физики. 2021. Т. 91, Вып. 4. С. 678–688.
- Дик O.Е. Динамика паттернов электрической активности мозга при дезадаптационных нарушениях // Успехи физиологических наук. 2022. Т. 53. № 1. С. 34–51.
- Резникова Т.Н., Федоряка Д.А., Селиверстова Н.А., Моховикова И.А. Опыт использования сенсорной импульсной стимуляции у больных с паническими атаками // Вестник психотерапии. 2018. № 68. С. 47.
- Резникова Т.Н., Селиверстова Н.А., Дик О.Е. и др. Оценка психофизиологического состояния у пожилых лиц с умеренными когнитивными нарушениями при сенсорных импульсных стимуляциях // Психическое здоровье. 2020. № 9. С. 12–18.
- Святогор И.А., Гусева Н.Л. ЭЭГ-реакция усвоения ритма в норме и при нарушении функционального состояния центральной нервной системы // Вестник клинической нейрофизиологии. 2014. Т. 1. С. 13–19.
- Федотчев А.И., Бондарь А.Т., Акоев И.Г. Резонансные ЭЭГ – реакции при ритмических световых воздействиях разной интенсивности и частоты // Журн. ВНД. 2001. Т. 51. № 1. С. 17–23.
- Федотчев А.И., Бондарь А.Т., Матрусов С.Г. и др. Использование сигналов обратной связи от эндогенных ритмов пациента для нелекарственной коррекции функциональных расстройств // Успехи физиол. наук. 2006. Т. 37. № 4. С. 82–92.
- Alamian G., Lajnef T., Pascarella A., Lina J.M., Knight L., Walters J., Singh K.D., Jerbi1 K. Altered brain criticality in schizophrenia: new insights from magnetoencephalography // Front. Neural Circuits. 2022. V. 16. P. 551–555.
- Borodina U.V., Aliev R.R. Wavelet spectra of visual evoked potentials; time course of delta, theta, alpha and beta bands// Neurocomputing. 2013. V. 121. P. 551–555.
- Bosnyakov D., Gabova A., Kuznetsova G. et al. Time–frequency analysis of spike–wave discharges using a modified wavelet transform // J. Neurosci. Methods. 2006. V. 1654. P. 80–88.
- Daubechies I. Ten lectures on Wavelets, Mathematics, SIAM Publication, Philadelphia, Pennsylvania, 1992.
- Daubechies I., Lu J., Wu H.T. Synchrosqueezed wavelet transforms: An empirical mode decomposition-like tool // Appl. Comput. Harmon. Anal. 2011. V. 30. P. 243–261.
- Dick O.E., Svyatogor I.A. Potentialities of the wavelet and multifractal techniques to evaluate changes in the functional state of the human brain // Neurocomputing. 2012. V. 82. P. 207–215.
- Dick O.E., Svyatogor I.A. Wavelet and multifractal estimation of the intermittent photic stimulation response in the electroencephalogram of patients with dyscirculatory encephalopathy // Neurocomputing. 2015. V. 165. P. 361–374.
- Dick O.E. Wavelet and recurrence analysis of EEG patterns of subjects with panic attacks // Studies in Computational Intelligence. 2020. V. 856. P. 172.
- Dick O.E., Glazov A.L. Estimation of the synchronization between intermittent photic stimulation and brain response in hypertension disease by the recurrence and synchrosqueezed wavelet transform // Neurocomputing. 2021. V. 455. P. 163–177.
- Dick O.E., Glazov A.L. Application of joint recurrence analysis for estimating phase synchronization of physiological signals // Technical Physics. 2022. V. 67. P. 48–60.
- Dick O.E. Search for Markers of Moderate Cognitive Disorders Through Phase Synchronization Between Rhythmic Photostimulus and EEG Pattern // In: Kryzhanovsky, B., Dunin-Barkowski, W., Redko, V., Tiumentsev, Y. (eds) Advances in Neural Computation, Machine Learning, and Cognitive Research. Studies in Computational Intelligence. 2023. V. 1064. P. 191–199.
- Gasecki D., Kwarciany M., Nyka W. et al. Hypertension, brain damage and cognitive decline // Curr Hypertens Rep. 2013. V. 15. P. 547–558.
- Fedotchev I., Bondar A.T., Akoev I.G. Dynamic characteristics of the human resonance EEG responses to rhythmic photostimulation // Human Physiology. 2000. V. 26. № 2. P. 64–72.
- Fraser A.M., Swinney H.L. Independent coordinates for strange attractors from mutual information // Phys. Rev. 1986. V. 33. № 2. P. 1134–1140.
- Hramov A.E., Koronovsky A.A., Makarov V.A. et al. Wavelets in neuroscience. Springer Series in Synergetics. Berlin: Springer, 2015. 314 p.
- Kalantarian S., Stern T.A., Mansour M., Ruskin J.N. Cognitive impairment associated with atrial fibrillation: a meta-analysis // Ann. Int. Med. 2013. V. 158. P. 338–346.
- Kennel M.B., Brown R., Abarbanel H.D. Determining embedding dimension for phase-space reconstruction using a geometrical construction // Phys. Rev. A. 1992. V. 45. № 6. P. 3403.
- Kurths J., Romano M.C., Thiel M. et al. Synchronization analysis of coupled noncoherent oscillators // Nonlinear Dynamics. 2006. V. 44. P. 135.
- Lee Y.J., Huang S.Y., Lin C.P., Tsai S.J. Yang A.C. Alteration of power law scaling of spontaneous brain activity in schizophrenia // Schizophr. Res. 2021. V. 238. P. 10–19.
- Marwan N., Wessel N., Meyerfeldt U. et al. Recurrence plot based measures of complexity and ist application to heart rate variability data // Physical Review E. 2002. V. 66. P. 26702–26710.
- Marwan N., Romano M.C., Thiel M. et al. Recurrence plots for the analysis of complex systems // Physics Reports. 2007. V. 438. P. 237–329.
- Mormann F., Lehnertz K., David P. et al. Mean phase coherence as a measure for phase synchronization and its application to the EEG of epilepsy patients // Physica D. 2000. V. 144. P. 358–369.
- Mukli P., Nagy Z., Racz F.S., Herman P., Eke A. Impact of healthy aging on multifractal hemodynamic fluctuations in the human prefrontal cortex // Front. Physiol. 2018. V. 9. P. 1072.
- Natarajan K., Acharya R., Alias F. et al. Nonlinear analysis of EEG signals at different mental states // BioMedical Engineering. 2004. V. 3. P. 7–18.
- Quiroga Q.R., Kraskov A., Kreuz T., Grassberger P. Performance of different synchronization measures in real data: a case study on electroencephalographic signals // Phys. Rev. E 2002. V. 65 P. 041903.
- Racz F.S., Stylianou O., Mukli P., Eke A. Multifractal and entropy-based analysis of delta band neural activity reveals altered functional connectivity dynamics in schizophrenia // Frontiers in Systems Neuroscience. 2020. V. 14. https://doi.org/10.3389/fnsys.2020.00049
- Racz F.S, Farkas K., Stylianou O., Kaposzta Z., Czoch A., Mukli P., Csukly G., Eke A. Separating scale-free and oscillatory components of neuralactivity in schizophrenia // Brain Behav. 2021. V. 1. https://doi.org/10.1002/brb3.2047
- Romano M.C., Thiel M., Kurths J. et al. Detection of synchronization for non-phase-coherent and non-stationary data // Europhysics Letters. 2005. V. 71. P. 466–472.
- Santangeli R., Di Biase L., Bai R. Atrial fibrillation and the risk of incident dementia: a meta-analysis // Heart Rhythm. 2012. V. 9. P. 1761–1769.
- Shah A.D., Merchant F.M., Delurgio B.J. Atrial Fibrillation and risk of dementia/cognitive decline // J. Atr. A. 2016. V. 8. P. 1353–1361.
- Singh-Manoux A., Fayosse A., Sabia S. et al. Atrial fibrillation as a risk factor for cognitive decline and dementia // Eur. Heart J. 2017. V. 38. P. 2612–2618.
- Slezin V., Korsakova E.A., Dytjatkovsky M.A., Schultz E.A., Arystova T.A., Siivola J.R. Multifractal analysis as an aid in the diagnostics of mental disorders // Nordic J. Psychiatry. 2007. V. 61. P. 339–342.
- Suckling J., Wink A.M., Bernard F.A., Barnes A., Bullmore E. Endogenous multifractal brain dynamics are modulated by age, cholinergic blockade and cognitive performance // J. Neurosci. Methods. 2008. V. 174. P. 292–300.
- Takens F. Detecting strange attractors in turbulence // In: Dynamical Systems and Turbulence, Lecture Notes in Mathematics / D. Rand, L.S. Young, eds. / Berlin: Springer, 1981. V. 898. P. 366–381.
- Thakur G., Brevdo E., Fuckar N.S. et al. The synchrosqueezing algorithm for time-varying spectral analysis: robustness properties and new paleoclimate applications // Signal Process. 2013. V. 93. P. 1079–1094.
- Titov V.E., Dick O.E. Computational evaluation of the effectiveness of therapy method with help recurrent analysis // J. Physics: Conference Series. 2021. V. 1889. P. 42092–42098.
Supplementary files









